|
20080511~
13と7と11の倍数の論理積は13と7と11の積の倍数である。
和ァ・・・
× [PR]上記の広告は3ヶ月以上新規記事投稿のないブログに表示されています。新しい記事を書く事で広告が消えます。
ダイガード ロボティクスノーツ 走れ走れ トポロジー いとうかなこ 遠藤響子
ちょうど怒りに任せて不貞寝してたころだ。 ふと寝返りをしたら、右の耳の穴からごろっと耳垢の塊が落ちてきたんだ! 親方!耳から耳垢が! 耳垢ってのはハナクソと違って苦味が邪魔で、おいしくないからあまりほじくる癖がなかったんだ 鼓膜も傷つけそうだし。 かといって溜め込んだままだとこれはこれで耳垢が鼓膜に張り付いたりして困る かといって頻繁に耳かきをしても、やり方次第ではかえって耳垢鼓膜を悪化させかねない そんなわけで、自慢じゃないが何度か、耳垢を取るためだけに耳鼻科に行ったことがある・・・! 耳垢を鼓膜にくっつけた状態での運転は結構気が気じゃないから気をつけるように! そのうえ、耳を刺激すると咳が出る体質なんだよ僕は。 喘息持ちでもあるから、最近はどうもこまめに耳垢を取りたい気がしてならない。 3週間は放置したほうがいいって言われてるのに、気になって3週間持たないんだ。 それから僕の1Hz程度の固有振動数を持った右手の指の貧乏ゆすりというかスキャットの手の指バージョンのようなもの。 なんの役にも立ったことのないこいつが邪魔で、耳垢を除去しようとするとどっかの巨大ロボがドリルアームのカウンタートルクに踊らされるみたいなことになって、うまく耳かきが出来ないんだ! そんな中で奇跡が起きた・・・ 耳垢だよ!耳垢ちゃんまじ耳垢! ごっそり取れて気持ちいいいいいいいい!!! このタイミングでだよ! 神様っているんだなぁって思ったね! ![]() にほんブログ村 PR
創作している人物は創作活動の大部分の時間において、創作的な活動をしていない。
だってそうだろう 前後関係とか論理的無矛盾とかを気にしてたら作者のいる外の世界の論理に沿って動くようにどうしてもなりがちじゃないか! 見てる人が中にいるわけじゃないんだから! 強いられているんだ! ![]() にほんブログ村
と、ここでぐぐってみると効率厨サジェっててワロタwww
主にネトゲでの言葉なのか!なるほど・・・あー、趣味でやれってのはちょっと間違えちゃったね、うん 「チラ裏まで」がより正解かもしれない ただまあその・・・効率厨といえば聞こえは悪いかもしれないが 「セコい」と表現するとなんだか親近感が沸くのはなぜだろうwwwセコー 人間は根源的に悪役的存在である ![]() にほんブログ村
「命題Aを証明する際に
Aの否定を仮定し 論理的にすべて筋が通っていながらも矛盾が導かれることで 唯一「Aの否定」の仮定が誤りだった として、Aを肯定する」 上述のようなアルゴリズム表現として適切な名称を、下の選択肢のうちドイツ語っぽく読めそうなのから選びなさい 1.数学的機能法 2.逆説 3.背理法 4.反語 ======= ところで、いまいちつかめていないポインツがありまして 「Aand反Aが成立する」というのを安易に矛盾としてよいのか? というところがどうも引っかかっているのです。 カルノー図やベン図でいうところのそれは単に「Aに依らない」なのではないかという点です ![]() にほんブログ村
アレですよ
けいおんのようでけいおんではない これはけいおんのようでいてけいおんでない公式に非公式な続編のようなものとして楽しめばいいアニメなんすよ! つまり余韻!余韻部の活動記録! 京アニ大勝利! 今頃になって楽しみ方がわかるとは・・・orz いいや違うな!ずっとそう思っていたに違いない! あーちゃんがあいちゃんにクラスチェンジした・・・だとゥ!? ![]() にほんブログ村
だから今一秒ごとに
エキサイト先生にご登場願え! 電話レンジはサジェストに似ている・・・↑ゼロサム あらかじめ未来を知ることによって、かえって可能性をしぼめてしまうこともある。 我々は知ることに臆病になってはいないか!?僕はなってしまいました!! (検索後の)未来のことは誰にもわからない・・・ だからこそ、このサジェスト エル・プサイ・コングルゥ[el psy congroo] (昭和?~平成? シュタインズゲート・ジャパン) ![]() にほんブログ村 記号を隠語に確立している間にサジェスト以外の記号検索は復活するタイミングを逃してしまいましたー! ネットっちゅうのはね 常に少しだけズレた世界線の影を映し出していたんだよ・・・!!!!!
ウィザードとビーストのピンチに、頭がよりエアーヘッドになった綺麗なフェニックスさん(U5)が太陽から帰ってきた!
君は何色の願いでこのソウルゲルを輝かせるんだい? 緑色に決まってるだろ!!グリーンシードってさっきから言ってるじゃないか! だったら5つ目の要素<エレメント>はボクを空に送り出してくれた”ソラ”色で決まりだね! 緑って言ってんだろ人の話聞いてんのか!! ギル「マージレンシャーktkr!」 ![]() にほんブログ村
どうして今まで気づかなかったのでしょうか
156円という数字を見てたら 130+26=120+36 なのはわかっていたのです。 それと、121=11×11で、これが(x+y)^2という二項定理を表していることもわかっていましたし日記にもしました。 じゃあ13×12っつったら 2と3がたすきがけで・・・ (a+3b)(a+2b)=a^2+5ab+6b^2じゃないですか!(a=b=1) (a+b)(a+c)=a^2+(b+c)+bcでもいい。(a:1、b:2、c:3) なんで今までつながらないかな自分。 (a+b+c)^nだって111^nで済むわけだし これ使えば多項式同士の積を、少なくとも展開する分には156の1(1桁目)と5(2桁目)と6(3桁目)を抜き取るだけの作業で済むじゃないですか!>< 解析計算もある程度できるじゃないですかPC!! (マセマティカ買わずとも個人レベルでもやろうと思えばなんとかできるって意味です) 学生当時の自分ってもしかして文字式展開がものすごくノロかったんじゃ・・・orz そういえばバーサス記号ていいますか比のこの記号→「:」 分数にはない機能を秘めてますよね 砂糖:塩:水=1:2:3を分数にしたら1/2と1/3と2/3をどうにかしてイコールで結ばなきゃいけないところですからね 車の中での独り言って大事だなって思いましたよ 僕たちはいわゆるリアルに棲んでいる物体なわけなので 考えるだけだと続かないものでも、口に出すことではっきりすることもタタ々あるわけですよね アニソンの歌詞なんかも 睡眠学習でいつの間にか身についているのもあるかもしれませんが 意味はわからないなりに発音を身に染み込ませるには 実際に発音して歌ってみるのははるかに効率がいいですね 歩いている最中にはランナーズハイの徒歩バージョンが起きて気分がいいですが 車の場合は屋内で、しかも運動せずにランナーズハイのような現象が起きる。 俗に言う「車に乗ると人格変わる」ってやつの原因のようなものだと思いますが もし毎日歩くような仕事や趣味を持っている場合、アニソンを聞きながらも歌えないのはやっぱい損ですよ! 現代人はコミュニケーションを取りにくい人が増えてますし、姿勢も悪くなりがちですし せめて歩いている最中に無理やりにでも発音する機会を増やしてあげれば、 世の中よくなるんじゃないでしょうか というわけで防音マスクして歌いながらみんな歩きましょう!\^ぉ^/ ![]() にほんブログ村
一定の回数座ると勝手に壊れるイス「DRM Chair」 - ねとらぼ
俺座ったつもりーぷるぷる; ずっけーぞ俺もー そしてフェルミオンはいなくなった ところでDRM→MMDとしりとり連想していったらドミノ倒しと波動性の(無)関係について考えていたんですが 仮に液体ヘリウムが容器を這い上がる現象みたいのをドミノでやってみたとして でもそれは、ドミノの場合は摩擦があることによるもので、方や超流動のほうは摩擦がないことによるものだから やっぱりあくまで違うもので、巨視的量子現象とは関係ないどころか参考にすらならないのかなぁとか思ったり ドミノでホイヘンスやって2重スリットもなぁ・・・なんかイマイチしっくりこない 一度倒れたらそのあとどうなるのかとか(倒れてない可能性世界と共存!?) ドミノがスリットを抜けたらちゃんと拡散してくれるのかとか いっそのことドミノの小板同士をつなげてしまったらどうなのかとか ハローワールドを波浪ワールドだと思っていた ![]() にほんブログ村
はかせ「地デジのアスペクト比が整数の対角インチになりません。困りました」
なの「じゃあ、整数になるようなアスペクト比を探す旅に出かけましょう!」 はかせ「なの~疲れたぁー」 なの「はかせ・・・そろそろ機械化しないと寿命が・・・」 はかせ「20log√10・・・」 なの「あ・・・そうかー・・・機械化はお済みでしたっけ・・・」 はかせ「1万年と2千年前からナノマシンだけどー・・・」 フェルマー「ダカラァ・・・!アキラメテッテ・・・!イッタデショォォォォォーー!?」 ![]() にほんブログ村 ユークリッドの互除法 以前説明を見たときは何言ってるかわかんなくて挫折したんだ。 アドイン追加で最大公約数GCD関数が使えるようになってから1年以上たつかな そういえばGCDってどうやって出来てるんだろう? って疑問に思って アドインなかったら使えないっていうのはどういう意味合いに取れるのか考えてみた。 ・ユーザーの問題 と ・スペックの問題 が思い浮かんだ。 もしスペックの問題だったら たくさん配置したら動作がより重くなるような関数なのかもしれない 2重以上のループしてたりして と思ってちょっとぐぐってみたらまず当たったのが素因数分解で いやでも素因数分解だとちょっと効率悪すぎないか?って根拠なしに疑問に思って 根拠なしにユークリッドの互除法あたりかな?って思ったらドンピシャ。 素因数分解よりもはるかに効率的に最大公約数を見つけ出すことが出来る。 こんなすげー武器が紀元前にすでに発見されてたなんてなー 最近はwikiの洗練もそうだけど、動画で解説してくれる人もいるから(僕の)理解が早くて助かる。 で、そのwikiなんだけど よく見たら右のgifアニメが秀逸だった。 と思ったら思い出した! これアレだー! 計算盤尺だーー!! ところで、3Dプリンタで声帯模写して中に誰もいませんよボカロとかやっちゃう人そろそろ出てこないですかね ![]() にほんブログ村
1つしかなく無数の元を持つ有理数体Qの代わりに、無数にありながら有限個の元を持つ有限体Fp(pを法としたあまり:モジュロ演算)で楕円曲線をしらみつぶし的に考えることができるらしい。
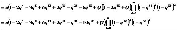
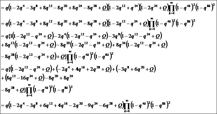
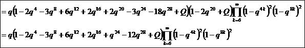
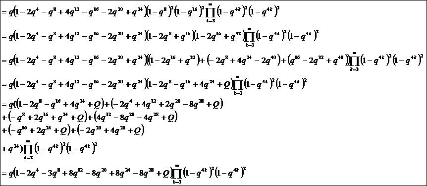
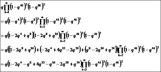
たとえば5で割ったあまりで楕円曲線y^2=x^3+xが成立するかどうかを調べるとこうなる。 5×5=25個の組み合わせの中で成立するのは7つだけ。 これは、楕円曲線の「重解を除く」という条件があるためらしい。 以下に素数p:2~29を法とした楕円曲線の表(表はimageです)へのリンクを貼る。 2, 11 pに対する成立個数s(p)を改めて表にまとめるとこうなる ところで 実に数学らしい薮蛇現象があって 保型形式 たとえばこんなん の無限積をqの30次まで展開すると qの次数について次のような級数となる。 k次の数列をa(k)とすると、以下のような表(表は図です)になる。 展開の方法としては、30次以上になるものを大文字のQでまとめて無視してしまい kを徐々に増やしていき、30次未満が出なくなるkまで進んだらストップ ということをやればいいそうだ。 PCは解析的計算においても便利だな。コピカペはできるし字がきれいだ。 qの次数を素数pに限りa(p)としてから、楕円曲線の法(素数p)ごとに成立する数s(p)と比べると (aには4の倍数次のときの係数しかないので) a+s=pが成立している。 なにやらこのような手続きを経て、フェルマーの最終定理は晴れて予想から定理になれたらしい・・・ なんだかよくわからないが、雰囲気だけは醸し出されたようだ と、僕の主観ではそう思った。 俗に言うブルーバックス現象とか、きつねにつままれたような入門書現象とかそういうやつである。 まあ、入門書ですべて理解できたら専門書なんていらないんだ。 全人類が研究者になってしまうますしおすし。 Fermata Last Teiri4 ![]() にほんブログ村
数学が無矛盾であれば、自身の無矛盾性を証明できない
僕の理解が中途半端でアレですが ゲーデルの不完全性定理は確か、こんな感じの話だったかと記憶してます。 もう80年も前(1930年)の定理です。 これっていわゆるシュタゲの1話に出てくるダルが言ってたシミュレーテッドリアリティっぽいメタな話の 「僕たちが仮にモニタの中の存在だとしたら、それを見極める術はあると思う?」「ないな」「そくようかよ!」 って流れですよね。 ところで ふとこないだ、懐かしんで見たアニメ「アリス探偵局('95)」でメタっぽい話を見つけたときはひっくり返るところでした。 こういうメタな話を取り込んだアニメは今でこそごっそりありますが 一体いつからあったんでしょうね っていったらキリがないですかね じゃあ主流になってきたのはいつなんでしょうね。 って、問題を変えたところで答えられるわけじゃないですが^^; シミュレーテッドリアリティを扱ったフィクションを見てみますと ほとんどがゲーデルの定理よりあと('59)なんですよね。 それどころかコンピュータの歴史自体、ゲーデルの定理よりほとんどあと('52くらい)なんですよね。 つまりゲーデルさんはほとんどコンピュータを使わずに、概念だけでこういう話を想像したことになるわけで コンピュータが出来てからそういう議論が出てきても別に困りはしないのに実は順番が逆で 想像力豊かな人もいたもんだなあと思いますよ。 げえ>д< ![]() にほんブログ村 |
カレンダー
カテゴリー
最新CM
[08/08 さつ香]
[12/30 buy steroids credit card]
[09/26 Rositawok]
[03/24 hydraTep]
[03/18 Thomaniveigo]
最新記事
(01/01)
(03/19)
(03/18)
(03/18)
(02/23)
(02/14)
(02/12)
(01/03)
(09/23)
(09/23)
(02/11)
(05/30)
(05/28)
(05/28)
(05/27)
最新TB
プロフィール
HN:
量子きのこ
年齢:
44
HP:
性別:
男性
誕生日:
1981/04/04
職業:
WinDOS.N臣T
趣味:
妄想・計算・測定・アニメ
自己紹介:
日記タイトルの頭についてるアルファベットは日記の番号です
26進数を右から読みます 例:H→7番目、XP→15(P)×26+23(X)=413番目。 A=0とする仕様につき一番右の桁はAにできませんのでご了承くださいズコー
ブログ内検索
アーカイブ
最古記事
(05/11)
(05/11)
(05/13)
(05/13)
(05/13)
(05/13)
(05/13)
(05/13)
(05/14)
(05/14)
(05/14)
(05/14)
(05/16)
(05/16)
(05/16)
アクセス解析
|















