|
20080511~
13と7と11の倍数の論理積は13と7と11の積の倍数である。
和ァ・・・
× [PR]上記の広告は3ヶ月以上新規記事投稿のないブログに表示されています。新しい記事を書く事で広告が消えます。
てさ部
れんちょん「今回はどうすんの?」 ほたるん「どっち?って、女の子だらけのゆるふわ路線か、男子も混ぜるパターンかどうかってことですか?」 れんちょん「そうじゃなくて、毎回同じように時間が流れるパターンか、違う時間が流れるパターンかってことなのん」 ほたるん「そうでしたね、2期はとりあえず繰り返すパターンで行ったんでしたっけ。今回はその続きを描くパターンで行きましょうか」 男がいる世界と男がいない世界を重ね合わせたどころか 時間がループする世界とループしない世界も重ね合わせやがったのんのんびより 一体なんシュタゲーポプテピピックなんだ!? カメラが下からグリッドマングレイトマンしてストレートタイトルロボットアニメがドーン! これの作り方備忘録です。 図のように、x、y、z、rの列を作り、そこに一様乱数を叩き込みます。 今回は1000点ほどデータを取りました。 rの列はrand()なので、0~1の一様乱数ですが x、y、zは-1~1の一様乱数にしたかったので、2*rand()-1を使ってます。 次に、井戸型ポテンシャルにおける波動関数、パイロットウェーブのようなものを作ります。 左3列がそれぞれx、y、zによる偶関数の波動関数 同様に右3列がx、y、zによる奇関数の波動関数です。 偶関数の場合は cos(2πnx/4)を 奇関数の場合は sin(2πnx/4)を、 それぞれ使っています。y、zの波動関数(H,I,K,L列)は、xの代わりにyやzの乱数座標を入れてください。 また、ここでいうnとは、4行目にある数字のことを言いますが 1行目に入れた数が偶数ならG,H,I列をゼロに、奇数ならJ,K,L列をゼロにするように 2を法としたモジュロ演算を使っています。 波動関数そのものも、 1行目にいれたx,y,zの量子数が偶数ならG,H,I列の波動関数をゼロに、奇数ならJ,K,Lをゼロにするようにしています。 ここでは、x軸とz軸の量子数が2と4と、偶数なので G,I列がゼロになって K,L列に有限の数を入れました。 逆に、y軸の量子数が3と奇数なので H列に有限の値、I列にゼロが入っています。 次に、各軸の波動関数を完成させます。 偶関数か奇関数のどちらかが入るはずなので、 M列=G列+J列 としています。 y,z軸もそれぞれ、N列=H列+K列、O列=I列+L列としています。 それから、3次元の波動関数を完成させたいので 一旦変数分離した各軸の波動関数を掛け合わせます。 P列=M列*N列*O列といった感じです。Ψ=Ψx*Ψy*Ψzですね。 確率は、Ψの2乗にrのパイロットウェーブ的なのを掛け算したいので Q列=P列^2*F列としたいところですが、 今回の場合規格化が無理そうなので、代わりに、波動関数に定数を掛け算して、ちょうどよくなるように調整しました。 Q4に適切な値を入れて、掛け算しているので Q列=P列^2*F列*$Q$4 となります。 最後に、R列で、Q列の値が0.5未満だったら0を、0.5以上だったら1を返すようにしました。 敷居値をR4に設けつつ、if文を使用しましたが、 別に0桁でのround関数で構いません。 この1の個数が、値の個数の半分くらいになるように、Q4の値を調整しています。 結果的に40ぐらいが適切と判断しました。 このシートのすべてをコピーし、新しいシートに、数式ではなく値として貼り付けます。 x、y、z、pの値だけを使うのですが、pが1のときのデータだけがほしいので、pの列に関してデータを降順に並べ替えます。 並べ替えるには、この4列をひとまとまりのデータと機械に認識してもらうために 周りを空けて、x、y、z、pの列ラベルに2つ以上の書式変更を設定します。 今回は中央寄せと太文字を用いました。 また、降順などの操作を行う際に、数式コピペだとうまくいかないことが多いので、一旦値コピペをしました。(ほかにも理由はあります) これで、pが1の区間の行すべてを取り囲み、グラフ化することで、外村彰先生の実験のような パイロットウェーブ的な干渉縞をシミュレーションすることができます。 ただし、ここで用いるグラフは2Dグラフで、x、yのデータしか用いません。 ですので、x、y、zのデータを適切に回転させることで、3Dのように見せかけることにしました。 図のような、y軸回転のあとにx軸回転させるような回転行列を作用させます。 H8~J10の区間に、mmult(H2:J4,H5:J7)という行列の積を計算させます。 まず代表となるH8セルに行列の積を実装し、H8~J10を選択して ctrl+shift+Enterを押すことで、H8~J10全体に計算結果をいきわたらせることができます。 そしてこのH8~J10の混合された回転行列を、先ほどのC,D,E列に作用させたいので mmult(C12:E12,$H$8:$J$10)とします。 C~E列の500列くらいに作用させるのに、H8~J10の行列は固定のまま作用させたいので ここでも絶対参照を用います。 これで、G3やG6セルをいじれば、x、y平面だけでなく、見たい角度からの粒子を見ることができるようになりました。 このG3やG6セルも、自動で動かしたいため、以下のような表を作ります。 P列の値に応じて、Q列のy軸回転の角度(°)と、R列のx軸回転角度(°)をまとめてあります。 Q3とR3セルには、それぞれ、選択したP列の数字に応じたQ列とR列の値が出るように vlookup関数を用いています。 ここで、選択したP列の数字を時々刻々と動かしたいので now()-today()を計算して、シリアル値を0~1までの数値として表現します。 この値は隠れがちですが1秒以内に何度も更新されています。 これを100万倍ぐらいさせて、わずかな値の変化を増幅します。 それからround関数で整数にしてやり 先ほどの図のP列の最大値を法としたモジュロ演算を行うことで、周期をP列の値の整数にすることができます。ここでは89行あったので89周期です。 ただし、mod関数は0から88までの89個が算出されるので、1を足して、1から89までの整数に直してやります。 この結果が仮にC6セルにあったとすると Q3とR3にはそれぞれ vlookup(C6,P5:R93,2) vlookup(C6,P5:R93,3) と入力することで、C6セルがP列の値と等しい行のQ列とR列の値を算出してくれます。 (vlookupの3つ目の変数である2や3は、参照する範囲の2列目、3列目という意味です) あとは HとI列を参照して、散布図のグラフにすれば完成です Excelファイルをアップしておきます。 windowsのPCでしか動作確認してませんが、テキトーな空白セルで、delボタンを連打していただければそのたびに再計算されるので、グラフが動くと思います
けものフレンズぱびりおんは、僕にとってほぼ初めてのソシャゲって感じだから、ソシャゲの事情とかよくわからないんだけど
今みたいなストーリーがないような感じのが、一斉に始まって、一斉に終わる ソシャゲってそういうもんなのかなぁ? オープニングにぶっ込まれた伏線というか不穏要素って、結局回収されるのかされないのか 回収されなくてもソシャゲとしては成立するのか それとも、あとからストーリーモードが付属するのか。 ネクソン版のもあまり知らないから、ラスボスにたどり着けないままサービスが終了したらどうなるんだろう?そのプレーヤーはどうしたらいいんだろう?とは思うんですよね。 ぱびりおんにしても、確かみずべエリアにスマホを落としたペンギンの方がいたじゃないですか そういう圧の方がバックアップを取っていなかったり あるいはだいぶ遅れての参戦とかなった場合、どうなるのか ・特製じゃぱりまんの配布周期は最初から6時間? ・フレンズの現れ方は、逆ハンデみたいな乱数調整がありえる? ・今なら最初からあそびどうぐリサイクル可能? ・新規フレンズも最初からシルエット? ・「30回見つけたらボーナス」はいつから? などなど、僕自身が被験者になれば解決するんだろうけど、そんなリセマラは絶対したくない っていう案件がすごく多いと思うんですよね まあ、ある意味、ラブライブみたいに、消費する側も供給する側も、一緒にてさぐりで作りながら楽しむって形だからこそのソシャゲなのかもしれない ああそうだ、ツイッターと連動ならではってのも気になりますよね ツイッターやってない勢はおいてけぼりを食らわないのかとか レアキャラなフレンズの見つけ方をどこで聞けばいいのかとか(いっぱいあるだろうけど) うっかりネタバレまで聞いてしまわないかとか 取って付けたようなストーリーモードでいつも思いだすのが、YU-NOなんですよ^^; まああれはあれで悪くはなかったですけどね 「ストーリーモードに入るには周りにいるフレンズと、機種<ディスク>を交換してください」 とかだったら泣きながら笑うわw
外村先生のアレの作り方を解説していきたい。自分の備忘録のためにも。
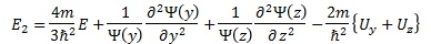
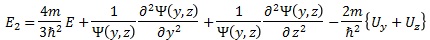
まず、時間に依存しないシュレーディンガー方程式はこのようなものでした。
mは質量、Eはエネルギー、Ψは波動関数、Uはポテンシャル、 ∇は位置による偏微分iは虚数単位、πは円周率 hに横棒がついたのは、プランク定数hを2πで割ったディラック定数です。 波動関数Ψは今回、時間には依存しませんが、3次元の位置を変数とした関数なので、 Ψ(x,y,z)と明示しておきましょう。 また、∇の2乗も なので明示しますと、以下のようになります。 ここで、変数分離に移る前に、ポテンシャルUを各変数の関数に分離しておきましょう。 今回は井戸型ポテンシャルを考えればいいので U(x,y,z)=Ux(x)+Uy(y)+Uz(z) として、 Uxは-a<x<aでUx=0、それ以外では十分大きい値を持つとし Uy、Uzも同様に、それぞれ-b~b、-c~cでだけゼロ、それ以外では十分大きい値になっているとします。 ここでようやく変数分離の出番がきて、Ψ(x,y,z)=Ψx(x)Ψyz(y,z)を適用できます。 なお、一度の変数分離で分離できる変数は1つだけなので、いっぺんにΨx、Ψy、Ψz とはできず、ΨxとΨyzにまず分離させます。 そうすると このようになるので、 両辺をΨxとΨyzで割り算します。 すると、関係ない変数を含んだ偏微分の関数を消すことができます。 ここで、左辺を変数xに関係する項、右辺をxに関係しない項と分離しておくと 左辺=定数=右辺 という 形にできますが、式をx,y,zの変数について揃えたいため エネルギーを3軸に等しく分配してやります。Eの項を3等分するのです。 一旦、両辺に-2mを掛け算して、ディラック定数で割ってやりますと 左辺(x)=定数=右辺(y,z)の形に整理しますと さらに、エネルギーを3等分して各軸に分けますと これを、xに関する式と、xに関係ない式の2本に分けますと このような2本の式に分かれます。 しかし、元々Eというのはなんだったのか。 エネルギーのように見えますが、 元々は時間に依存するシュレーディンガー方程式を時間と位置の方程式に変数分離する際に出てきた定数だったはずです。 ですから、EとE2を、係数もひっくるめてまとめて、Exのようにしても構わないはずですね ということで、1本目の式は このように簡潔になるはずです。 では、変数yとzも分離していきましょう。 さきほど分離したこの方程式から始まるわけですが ここではじめて、Ψ(y,z)=Ψ(y)Ψ(z) と、単独の変数に分離することができます。 偏微分に関係ない変数や関数を約分し終えることができました。 これを整理して、エネルギーをまた等分配しますと このようになります。 またしても定数が生成されたのでまとめてしまいますと 3軸とも同じ形にできました。 解析解を求める際は、ポテンシャルUx=Uy=Uz=0として、考慮する必要はありませんが、境界値問題を考える必要がでてきます。 逆に、数値解を求める際は、境界値問題は考えなくていいですが、それぞれのポテンシャルUが井戸の外で十分大きい場合、符号を考慮に入れる必要が出てきます。 境界値問題は、1次元の井戸型ポテンシャルと同じように求めることができます。 振り子の微分方程式の、求めるべき関数の変数が、時間tではなく位置x,y,zに変わっただけなのですが 時間の場合は初期条件として、t=0における関数Ψとその時間微分Ψ'を求めることになるのに対し、 位置の場合はΨ'ではなく、位置xが-aやaのときの値を考慮するところが異なります。 また、無限の深さの井戸型ポテンシャルなので、井戸の淵の波動関数そのものをゼロと仮定できますが、 有限の深さの井戸型ポテンシャルの波動関数の場合、Ψ=0と単純におくことができず、 井戸端でΨ(ディリクレ:節)とその微分Ψ'(ノイマン:腹)が連続であることが求められます。このように、ディリクレ条件(節)とノイマン条件(腹)両方を満たすような境界条件を、コーシー境界条件と呼ぶらしいです。 波動関数の場合はほかの波を求めるのと少し異なっており、 最後に規格化することで完成するため、数値解を求める際は 規格化するまで、波動関数の形は決めることができても、大きさを決定することはできません。 そのため、偶関数の場合は腹、奇関数の場合は節となるような境界条件が必要になります。 左右対称な井戸型ポテンシャルの場合は、x=0つまりど真ん中に境界条件を設置することになります。 過去日記の中くらいの図を参照ください。
まずサーバルちゃんかばんちゃん!じゃぱりまんが食べれたのはほんとラッキーでしたね!
それとイートイン。 ほぼ必ずあるのが嬉しいです。 田舎だからこそ、こういうイートインのあるコンビニが増えてほしい。 土地しかコンテンツがないなら、土地っていうコンテンツを最大限に使おう! スマホのおかげで、ある程度、「どこいっても同じサービスが受けられる」状況なんだから せめてくつろげる居場所がほしいんですよ。 イートインがあるとほぼ必ず電源もついてきますし、Wi-Fiはなくともスマホがあればテザリングできるんだから、Wi-Fiスポットは必ずしも必要ではないですし(あれば喜ばしいですが) 今のイートインにはタムロのような悪い文明がまだ染みついてないので どうにか気持ちの良い風習が残ればいいなと こないだの休日は最寄りのファミマのイートインでPC使わせてもらってました。 老老介護の時代もあって、あまり家にいたくない人も少なからずいるんじゃないかなとも思うんですね 気分転換にいいですよ。 こういう、「新しい喫茶店」みたいな店、割りと訪れるんですが 気づくと客が増えてて もし、僕が常連として行くことで、客寄せの効果を上げているのだとしたら、ありがたいですねえ 僕もこういう居場所が長く続いてほしいですし。
15年以上前、物質文明を捨て、データのみのコレクションに積極的に切り替えた大貧民のワイ
去年、スマホアプリで、データに課金してもいいやとか言い出す。 結局僕は、物質文明の何が嫌だったのかって 金がかかることではなく ホコリが積もったり、縦と横と奥の長さが揃っていない3次元物体の収納に困ったり 重力質量や慣性質量のせいで片付けが仕事[J]になったりするのが嫌だったのではないか なお、グルーオンには質量はないので光速で飛びますが カラー荷があるため、クォークも巻き込んで、遠出できない祝われた体となっております。 グルーオン、たぶんコイツです。僕にSU(3)とか特殊ユニタリとかの悦びを知らせやがったやつです 複素行列の悦びはいつ覚えたのかは覚えてないんですねこれが。パウリ行列に関してもいつどこで知ったのかすら謎なんです 質量がないのにナンラ荷がある素粒子を探していたら、グルーオンに行きついて 8種類のグルーオンの内訳が唐突に気になり始めたんです なぜそういうことを考えていたのか。 タキオンのナンラ荷(質量以外の電荷、カラー荷、弱荷ほか)がどうなっているのか考えてみたかったのです。 タキオンはもし存在したら、質量の代わりに、種類に応じた固有の運動量を持つんじゃないかと思っているので。
なんかこう、1次元だとシュレディンガー方程式でもポテンシャルに応じてやり方を変えてうんぬんしなくて済むことはわかった。
じゃあさっさと、∇=∂/∂xを∇=i∂/∂x+j∂/∂yに拡張しなさいよって話よな。 拡張自体はさほど難しくないのだろう。 元々一次元でやってたころから、微分方程式を解いてた方法が差分法みたいな割とざっぱな方法だったから 2次元に変わってもそこは変わらない。 問題は、表現だ。 波動関数そのものに実部と虚部があるもんだから、1次元の運動でも3Dにしないといけないくらい情報量が多い 2次元になったら ・x ・y ・ReΨ ・ImΨ まあ1つ増えるだけだが、4次元になってしまう。(1つ増えるだけでほんと助かった・・・) これをどう表現するか。 ・Arg と ・Abs にするのはすごくもっともらしいとは思う。 3次元目を絶対値にして、偏角(位相)を色に・・・ いやでも色て・・・ x,y,Absの山に・・・色を・・・塗るのか・・・?あんま聞いたことのない表現だな まあ、まずは ・x ・y ・Re と ・x ・y ・ImΨ の2画面方式でやってみるのが吉だろうなあ それから、 ・x ・y ・Abs と ・x ・y ・Arg の2画面って段階踏んでもいいし ああそうか、最終的な出力がモンテカルロなツブツブになるから、違和感があるのか。 だったら、こっちもツブツブに色を塗るまでよ(このほうが表現としては楽そう) これだったら3D表現である必要もない。2Dで十分だ。 つまり、x,y,zの3次元でも表現は可能ということだ。実際、動画でそうやってる人たちがわんさかいる とりあえずは、x,yについては極座標とか角運動とか一切考えずに、 正方形なり長方形なりの井戸型ポテンシャルでも考えてみよう。 縮退についての新しい知見でも見つかったら儲けもんだ |
カレンダー
カテゴリー
最新CM
[08/08 さつ香]
[12/30 buy steroids credit card]
[09/26 Rositawok]
[03/24 hydraTep]
[03/18 Thomaniveigo]
最新記事
(01/01)
(03/19)
(03/18)
(03/18)
(02/23)
(02/14)
(02/12)
(01/03)
(09/23)
(09/23)
(02/11)
(05/30)
(05/28)
(05/28)
(05/27)
最新TB
プロフィール
HN:
量子きのこ
年齢:
44
HP:
性別:
男性
誕生日:
1981/04/04
職業:
WinDOS.N臣T
趣味:
妄想・計算・測定・アニメ
自己紹介:
日記タイトルの頭についてるアルファベットは日記の番号です
26進数を右から読みます 例:H→7番目、XP→15(P)×26+23(X)=413番目。 A=0とする仕様につき一番右の桁はAにできませんのでご了承くださいズコー
ブログ内検索
アーカイブ
最古記事
(05/11)
(05/11)
(05/13)
(05/13)
(05/13)
(05/13)
(05/13)
(05/13)
(05/14)
(05/14)
(05/14)
(05/14)
(05/16)
(05/16)
(05/16)
アクセス解析
|

