|
20080511~
13と7と11の倍数の論理積は13と7と11の積の倍数である。
和ァ・・・
× [PR]上記の広告は3ヶ月以上新規記事投稿のないブログに表示されています。新しい記事を書く事で広告が消えます。
月ができたっていうジャイアントインパクトを起こした、火星ほどの天体は、
実は天体サイズの浮遊生物で、天体にぶつかってマーキングをすると、 その天体に子孫を残すような繁殖ルールで生きていたんだ。 月は、ほぼ地球の物質でできてるらしいけど、地球のほうにその天体生物の子孫が残って それが日本列島っていう生物だったらしい。 でも生物、特に動物がフレンズ化すると、MKSいかなるスケーリング則も無視して人間サイズになってしまうため ある日突然、結構短めのスパンで、日本列島はフレンズ化して沈没したんだ。 どうも日本人という民族が国を作っている時期にフレンズ化したらしいんだけど 幸いにもこれは人為的なフレンズ化だったらしく 日本列島の上に載ってた生物は、すでに全部どこかに避難していたらしい。 ところで 無機物からセルリアンが生まれるらしいけど、 ジャパリパークは、大質量の物質から生まれたセルリアンの死骸なのかもしれない 特に、なんの記憶にも触れていない無機物で、生物だったものや、生物の思念にほとんど触れていないほどセルリアンに向いているらしい。 マントルやコアもそうなんだけど、製造したてで、まだユーザーに愛着が湧かれていない自動車や家電なんかも、セルリアン化には適しているみたいだ。 つまり、作ったはいいが、使われることなくゴミになってしまったものを分別しさえすれば もってこいの材料になる フレンズと違って元動物に戻った際に絶滅動物やUMAなどになるわけでもないので、 物質運用にも適している。 あるいは、月の一部を用いたという噂もある。 もうすでに生命が誕生した地球にとって、月はある程度用済みだったというわけだ。 PR
//x方向成分の固有状態をロドリゲスで
x=-1/2 z=1/2 y=1/sqrt(2) s=%pi x=x*s //規格化解除 y=y*s z=z*s sx=[0,0,0;0,0,-1;0,1,0] //ゲルマン行列 sx=sx*%i //エルミートに sy=[0,0,-1;0,0,0;1,0,0] sy=sy*%i sz=[0,-1,0;1,0,0;0,0,0] sz=sz*%i R=%i*(-sx*x+sy*y-sz*z) clean(expm(R)) ======= //エルミートの確認 M1'-M1 //ユニタリの確認 M1'-inv(M1) //特殊ユニタリの確認 det(M1)=1 //固有値 spec(M1) =========== //y方向成分の固有状態を改造版ロドリゲスで x=-1/2 z=1/2 y=-1/sqrt(2) s=%pi x=x*s //規格化解除 y=y*s z=z*s sx=[0,0,0;0,0,1;0,1,0] //ゲルマン行列 sy=[0,0,-1;0,0,0;1,0,0] sy=sy*%i //エルミートに sz=[0,1,0;1,0,0;0,0,0] R=%i*(sx*x+sy*y+sz*z) M2=clean(expm(R)) ======== //エルミートの確認 M2'-M2 //ユニタリの確認 M2'-inv(M2) //特殊ユニタリの確認 det(M2)=1 //固有値 spec(M2)
3状態系の、角運動量の、y方向成分の固有状態3つを横に並べると、
このような、特殊ユニタリでもありエルミートでもある行列になります。 (先日は符号を真逆に表示してましたすみません) さきほどのx成分の記事同様、これも特殊ユニタリSU(3)の生成子から作れるはずだと思いまして ただし、今回は非対角成分の一部に純虚数を含んでいますので、 単純に、ゲルマン行列8種類のうちから、純虚数のσだけ選ぶことはできません。 σが純虚数だけでできているとき、生成子から生成される特殊ユニタリそのものは、実数になり、 σが実数だけでできているときの特殊ユニタリは複素数になります。 また、純虚数の配置から、x軸とz軸回転に相当する回転行列が複素数になりえるというアナロジーから、今回はσ1、、σ5、σ6を使い、任意軸回転行列のようなもの「改造版ロドリゲスの回転公式」を作ることにします。 つまり、これが改造版ロドリゲスの回転公式になります。 (ただし、右手系になるような符号の調整は後回しにします) 交代行列R=i(σ67*x+σ5*y+σ1*z)を と定義すると(iは虚数単位) この場合も、 exp(R)=M=E+R*sinθ+R^2*(1-cosθ) となります。(Eは単位行列で、x,y,zは規格化条件x^2+y^2+z^2=1を満たすものとします) 指数関数expをテイラー展開するのですが ここでも、R^3=-Rが成り立つと判明しているので、本家ロドリゲス同様の不格好な公式が導けます。 実装して比べてみますと このようになります。三角関数の中身Θを省略して書いてしまいましたが、存在しています。 元々、Θ=(θx,θy,θz)という角運動量のようなベクトルだったのを、絶対値|Θ|=√(θx^2+θy^2+θz^2)と向き(x,y,z)=(θx,θy,θz)/Θに分けて書きなおしているのです。 ここで、対角成分だけを抜き出して比べてみましょう。 このような連立方程式になりますが、3つを全部足してみると、うまいことx,y,zが消えてくれて cosθ=-1だということがわかります。(3本に見えて実は4本の連立方程式だったのです) つまりθ=πです。 このθを上の3つの式に代入しなおしてやりますと、x,y,zがある程度求まりまして x=±1/2,z=±1/2,y=±1/√2 と求まりますが、この複合は同順ではありません。 そこで、非対角成分、特に上三角(下三角でやっても意味同じです)の3本の式に入れることで確定してみます。 すると、x=±1/2,z=-(±1/2),y=±1/√2と、ようやく定まりました。 今度は複合同順です。 ±がついていますが、どうせθ=πなので、符号はどちらか片方で構いません。 つまり3次元の回転行列に見立てると -x=z=1/2,y=-1/√2,θ=πが、なぜか固有状態に相当するらしいです。 この結果に何の意味があるのかはわかりません。遊びですw やっぱり y軸だけなんとなく非対称な感じがしますね。 まずxz平面で固めてから((1/2)^2+(1/2)^2=1/2)、 xz-y平面にまとめた(1/2+(1/√2)^2=1の単位ベクトル(x,y,z))感じがします。
3状態系の、角運動量の、x方向成分の固有状態3つを横に並べると、
このような、特殊直交でもあり実対称でもある行列になります。 それならば、 特殊ユニタリ行列SU(3)や特殊直交行列を、生成子から作れるように この行列もまた、生成子から作れるはずだと思いまして。 3次の特殊直交行列SO(3)、つまり実数行列なので、ゲルマン行列8種類のうち、純虚数成分だけ含む3種類の生成子σ2,5,7だけを用います。 つまり、これはロドリゲスの回転公式そのものということです。 (ただし、右手系になるように符号を調整しています) 交代行列R=i(-σ7*x+σ5*y-σ2*z)を と定義すると(iは虚数単位) exp(R)=M=E+R*sinθ+R^2*(1-cosθ) となります。(Eは単位行列で、x,y,zは規格化条件x^2+y^2+z^2=1を満たすものとします) 指数関数expをテイラー展開するのですが R^3=-Rとなる性質を利用して、上記のようなちょっと不格好な公式が導けます。 実装して比べてみますと このようになります。三角関数の中身Θを省略して書いてしまいましたが、存在しています。 元々、Θ=(θx,θy,θz)という角運動量のようなベクトルだったのを、絶対値|Θ|=√(θx^2+θy^2+θz^2)と向き(x,y,z)=(θx,θy,θz)/Θに分けて書きなおしているのです。 ここで、対角成分だけを抜き出して比べてみましょう。 このような連立方程式になりますが、3つを全部足してみると、うまいことx,y,zが消えてくれて cosθ=-1だということがわかります。(3本に見えて実は4本の連立方程式だったのです) つまりθ=πです。 このθを上の3つの式に代入しなおしてやりますと、x,y,zがある程度求まりまして x=±1/2,z=±1/2,y=±1/√2 と求まりますが、この複合は同順ではありません。 そこで、非対角成分、特に上三角(下三角でやっても意味同じです)の3本の式に入れることで確定してみます。 すると、x=-(±1/2),z=±1/2,y=±1/√2と、ようやく定まりました。 今度は複合同順です。 ±がついていますが、どうせθ=πなので、符号はどちらか片方で構いません。 つまり3次元の回転行列に見立てると -x=z=1/2,y=1/√2,θ=πが、なぜか固有状態に相当するらしいです。 この結果に何の意味があるのかはわかりません。遊びですw y軸だけなんとなく非対称な感じがしますね。 まずxz平面で固めてから((1/2)^2+(1/2)^2=1/2)、 xz-y平面にまとめた(1/2+(1/√2)^2=1の単位ベクトル(x,y,z))感じがします。
中間報告です。
3状態系の角運動量の件 x方向成分の固有状態が これになったんですが、 ロドリゲスの回転公式 ただしx^2+y^2+z^2=1として M=E+Rsinθ+R^2(1-cosθ) ただしEは単位行列 に当てはめると θ=π -x=z=±1/2 y=±1/√2(複合同順) に相当することがわかりました。 y方向成分の固有状態 に関しては、実数のロドリゲスの回転公式ではおそらく歯が立たないことが分かったため 3次の特殊ユニタリ群su(3)の生成子の一部を借りて、改造の目途が立ちそうです。 おそらくは、改造版ロドリゲスの回転公式 これが相当しそうだと思います。あとで右ネジになるように調整する予定です うーんこのy軸ののけもの感、すげえパウリ行列みあるわー 追記: この改造した「R:expの中身」でも 実数ロドリゲスと同じ式 exp(R)=M=E+R*sinθ+R^2*(1-cosθ) が成り立つことが確認できました。 R^3=-Rになるからです。
特殊直交かつ実対称な行列の固有値
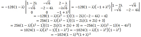
アライ「フェネック!今日はこれの固有値を計算してみるのだ!」 フェネック「これはー?」 アライ「”りょうりしきがく”?に出てくる、5状態系の角運動量の固有状態なのだ!さっそくscilabにつっこんでっと・・・」 フェネック「アライさーん、急いじゃだめだってばー。この行列はなんだったかな?」 アライ「だから、固有状態なのだ!」 フェネック「固有状態ってことは、規格化されてるはずじゃないかー」 アライ「ってことは、これは直交行列なのか!?Aの転置A'からAを引いたA'-Aは・・・ふぇええええ!?ゼロ行列になったのだ!」 フェネック「アライさーん、またやってしまったねえ。それは対称行列の定義だよー」 アライ「そうなのだ!直交行列の性質は、逆行列を引いたこっちだったのだ!A'-int(A)」 フェネック「どうだったー?」 アライ「すごいのだ!こっちもゼロ行列になったのだ!!ってことは、直交行列かつ対称行列ということなのだ!」 フェネック「対称行列と直交行列は、数でいうところのどういう雰囲気だったかな?」 アライ「えっと・・・対称行列は実数で、直交行列は・・・オイラーの公式なのだ!」 フェネック「そうそう、実際、対称行列の固有値が全部実数で、直交行列の固有値は全員、複素平面の単位円周上にいるよねー。ってことはー?」 アライ「実対称行列か直交行列な行列の固有値は・・・実数かつ”絶対値が1”だから・・・、プラス1とマイナス1しかありえないのだ!やっぱりフェネックはすごいのだ!」 フェネック「アライさーん、この行列の行列式(固有値の積)を計算してみてよー」 アライ「任せるのだ!この文字をscilabにつけてっとdet(A) 1になったのだ!abs(det(A))じゃなくても1になったのだ!すごいのだ!実は特殊直交行列だったのか!?」 フェネック「そういうことになるねー。じゃあついでに、トレース(固有値の和)も計算してみてくれるー?」 アライ「簡単なのだ!対角要素の和だから、これも1なのだ!すごいのだ!いちざんまいなのだ!」 フェネック「ここから言えることは何かあるかな?」 ???「待って!ここから導き出される結論は、全部お見通しよ!」 アライ「キリンさんなのだ!こんにちはなのだ。」 フェネック「こんにちはー」 キリン「こんにちはー。行列Aの固有値探しをしているのね。以上のことをまとめると ・Aは5次行列だから、固有値は5つある ・Aは対称行列だから、固有値は実数 ・Aは直交行列でもあるから、固有値はプラス1かマイナス1で、5つ全部掛け算すると1になる ・Aのトレースは1だから、固有値を全部足すと1になる ・Aの行列式は1(特殊直交行列) 掛け算してプラス1になるということは、-1の固有値は偶数個 可能性としては1,-1,-1,-1,-1か1,1,1,1,1か、1,1,1,-1,-1がありえるけど 前者2つはトレース1にならないから却下。 つまり、固有値は、1,1,1,-1,-1ね!!!」 アライ「おいしいところをキリンに全部持っていかれたのだ~」 フェネック「アライさんなら手計算でいいとこ魅せられるよ~」 アライ「おおー!その手があったのだ!任せるのだ! まず、Aの中身に4で割ってるのがあるから、Aを4倍して、λを固有値として、4λ倍した単位行列で引いて、行列式を求めるのだ。 2列目に2列目-4列目を代入して それから、2行目に2行目-4行目を代入したら、掃き出し法が楽になるのだ 4次の行列に次数が1つ減るから、 1列目に1列目+4列目を代入して 今度は、3列目に3列目から、(-4λ)/(-4)倍した4列目を引くのだ また掃き出し法がしやすくなったから、次数を1つ減らして3次の行列になったのだ。 ここで、同類項でくくって行列式の外に放り出して、計算をしやすくするのだ。 それから、3行目に、3行目-1行目を代入して、掃き出し法を行うのだ。 2次の行列式まできたら、もう迷わないのだ!無敵の布陣なのだ!ちゃんと3重解と重解を出してやったのだ!」 フェネック「おおー!λの係数、マイナス4の5乗-1024がちゃんと出てるよ~すごいよアライさん!」 アライ「アライさんは、不滅なのだーーーー!そしてキリンさんも、すごい推理力なのだ!」 キリン「えっへん!アライさんも、器用だねー」 アライ「ヴェーハハハハ!!!これからはシン・アライ神と呼ぶがいいのだ!」 フェネック「アライさんがパークの危機になっちゃうのかー」
特殊ユニタリかつエルミートな行列の固有値
アライ「フェネック!今日はこれの固有値を計算してみるのだ!」 フェネック「これはー?」 アライ「”りょうしりきがく”?に出てくる、5状態系の角運動量の固有状態なのだ!さっそくscilabにつっこんでっと・・・」 フェネック「アライさーん、急いじゃだめだってばー。この行列はなんだったかな?」 アライ「だから、固有状態なのだ!」 フェネック「固有状態ってことは、規格化されてるはずじゃないかー」 アライ「ってことは、これはユニタリなのか!?Aエルミート共役A'からAを引いたA'-Aは・・・ふぇええええ!?ゼロ行列になったのだ!」 フェネック「アライさーん、またやってしまったねえ。それはエルミート行列の定義だよー」 アライ「そうなのだ!ユニタリ行列の性質は、逆行列を引いたこっちだったのだ!A'-int(A)」 フェネック「どうだったー?」 アライ「すごいのだ!こっちもゼロ行列になったのだ!!ってことは、ユニタリかつエルミートということなのだ!」 フェネック「エルミートとユニタリは、数でいうところのどういう雰囲気だったかな?」 アライ「えっと・・・エルミートは実数で、ユニタリは・・・オイラーの公式なのだ!」 フェネック「そうそう、実際、エルミート行列の固有値が全部実数で、ユニタリ行列の固有値は全員、複素平面の単位円周上にいるよねー。ってことはー?」 アライ「エルミートかつユニタリな行列の固有値は・・・実数かつ”絶対値が1”だから・・・、プラス1とマイナス1しかありえないのだ!やっぱりフェネックはすごいのだ!」 フェネック「アライさーん、この行列の行列式(固有値の積)を計算してみてよー」 アライ「任せるのだ!この文字をscilabにつけてっとdet(A) 1になったのだ!abs(det(A))じゃなくても1になったのだ!すごいのだ!実は特殊ユニタリだったのか!?」 フェネック「そういうことになるねー。じゃあついでに、トレース(固有値の和)も計算してみてくれるー?」 アライ「簡単なのだ!対角要素の和だから、これも1なのだ!すごいのだ!いちざんまいなのだ!」 フェネック「ここから言えることは何かあるかな?」 ???「待って!ここから導き出される結論は、全部お見通しよ!」 アライ「キリンさんなのだ!こんにちはなのだ。」 フェネック「こんにちはー」 キリン「こんにちはー。行列Aの固有値探しをしているのね。以上のことをまとめると ・Aは5次行列だから、固有値は5つある ・Aはエルミートだから、固有値は実数 ・Aはユニタリでもあるから、固有値はプラス1かマイナス1で、5つ全部掛け算すると1になる ・Aのトレースは1だから、固有値を全部足すと1になる ・Aの行列式は1(特殊ユニタリ行列) 掛け算してプラス1になるということは、-1の固有値は偶数個 可能性としては1,-1,-1,-1,-1か1,1,1,1,1か、1,1,1,-1,-1がありえるけど 前者2つはトレース1にならないから却下。 つまり、固有値は、1,1,1,-1,-1ね!!!」 アライ「おいしいところをキリンに全部持っていかれたのだ~」 フェネック「アライさんなら手計算でいいとこ魅せられるよ~」 アライ「おおー!その手があったのだ!任せるのだ! まず、Aの中身に4で割ってるのがあるから、Aを4倍して、λを固有値として、4λ倍した単位行列で引いて、行列式を求めるのだ。 2列目に2列目+4列目を代入して それから、2行目に2行目-4行目を代入したら、掃き出し法が楽になるのだ 4次の行列に次数が1つ減るから、 1列目に1列目+4列目を代入して 今度は、3列目に3列目に、(4λ)/(-i4)倍した4列目を足すのだ また掃き出し法がしやすくなったから、次数を1つ減らして3次の行列になったのだ。 ここで、同類項でくくって行列式の外に放り出して、計算をしやすくするのだ。 それから、3行目に、3行目-1行目を代入して、掃き出し法を行うのだ。 2次の行列式まできたら、もう迷わないのだ!無敵の布陣なのだ!ちゃんと3重解と重解を出してやったのだ!」 フェネック「おおー!λの係数、マイナス4の5乗-1024がちゃんと出てるよ~すごいよアライさん!」 アライ「アライさんは、不滅なのだーーーー!そしてキリンさんも、すごい推理力なのだ!」 キリン「えっへん!アライさんも、器用だねー」
男性・女性であることを肯定もできるし、否定もできる。
うーん、どっちなんだろう? でも、確かに言えることは 毛でフワフワに囲まれた、胸の位置にあるやわらかおっぱいとか最高すぎるだろ!!!! ってことです。 なぜにそこの可能性を消してしまったのか・・・うーん解せない。解せないぞオーゼン! 服を着る習慣がない理由がんなあー、わからんのよんなあー 実は元々確かに女性だったんだけど、乳首あるいは乳房を隠す習慣が根付く前にケモノになってしまった、とか? 毛が生えていれば隠す必要性を感じなくて、本人も「隠すための布」の存在意義を見失ったとか 羞恥心はあるし、でもまともな料理を食ったことがないっていう意味ではありえるかもしれない ところで、オーゼンの声が大原さやかさんなんだが リコという金髪がいて、 その母親(のようなもの)がオーゼン・・・こんなきんモザは嫌だ!一本できそうじゃね? メイド服着てるやつもいるし、問題なんか何もないんだよなぁ っていうかなんだろう、フェアリーテイルのエルザ・スカーレット成分を足してもいいかもしれない。巨乳で、はたから見れば露出狂の魔法の使い手であり、時々天然なんだあいつは。 それでいてARIAのアリシアなんだぞ!? うわぁ・・・このキャラ癖しかねえ!wwww
けものフレンズ×量子力学SS
かばん「サーバルちゃん!5次行列の特殊ユニタリの作り方、別解を見つけたよ!」 サーバル「えっと・・・」 かばん「量子力学における、5状態系の角運動量演算子の代数を思い出してみて!?」 サーバル「・・・わかんないや!」 かばん「あ、そっか・・・このサーバルちゃんはダイバージェンスが1頭身低い世界線のサーバルちゃんだった・・・。じゃあこれの行列式わかる!?」 サーバル「わかるよ!今計算してみるねー!うーみゃみゃみゃみゃ!みゃぁー!」 p1=[1/4;%i/2;-sqrt(6)/4;-%i/2;1/4] p2=[1/2;%i/2;0;%i/2;-1/2] p3=[sqrt(6)/4;0;1/2;0;sqrt(6)/4] p4=[1/2;-%i/2;0;-%i/2;-1/2] p5=[1/4;-%i/2;-sqrt(6)/4;%i/2;1/4] P=[p1,p2,p3,p4,p5] det(P) サーバル「マイナス1だよ」 かばん「じゃあ、2列目全体をiで割って、3行目全体の符号を反転して、4行目全体にiをかけたら、行列式はどうなるかな!?」 サーバル「うーみゃみゃみゃみゃ!みゃぁー!」 p2=p2/%i p3=-p3 p4=p4*%i サーバル「1になったよ!かばんちゃん!」 かばん「ちゃんとユニタリになってるかもう一度確認してみてくれる!?」 サーバル「P-P' おおー!ゼロ行列だよ!すっごーい!」 かばん「おおー!・・・ん?もうサーバルちゃんのドジー^^;それはユニタリ行列じゃなくてエルミート行列の性質でしょ~」 サーバル「ごめんごめん^^;clean(inv(P)-P') ええ!?これもゼロ行列だよ!」 かばん「えええええ!?特殊ユニタリかつエルミートな5次行列なのぉー!?」 ???「これが”りょうし”のすごさなのです」 ??「なのです」 かばん「博士!それに助手!」 コノハ博士「りょうしのすごさがわかったのなら、さっさとおかわりを作るのです」 ミミ助手「とっととやるのです」 かばん「ちょっと待ってください^^;今これを作ってて」 n=now()-today() t=1000000n 角度(°)=mod(round(t,0),360) 角度(rad)=角度(°)*PI()/180 mmult(横ベクトル、回転行列) z=z+下駄 A:ズーム x=Ax/z y=Ay/z x-yの2Dグラフを表示 コノハ博士「なんですかこれは!?」 ミミ助手「ヒトの遺物、Excelなのです」 かばん「エルミートかつユニタリな行列の可視化器を作ってまして・・・ 5次行列なので、要素が25個あって、固有ベクトルなのを5本の串1本1本に刺さったサイコロステーキで表現してみました。 バツ印のついているほうが向きで、絶対値は、側面の面積で表現しています。 固有ベクトルなので、それぞれの列を串で回転させることができます。 ただし、エルミート行列の固有状態なので、90度ごとにとびとびになってます。 規格化された固有ベクトルなので、サイコロステーキ串1本当たりの1側面の面積の和は5本とも1です」 ミミ助手「じゅるり・・・」 コノハ博士「これが・・・りょうしですか!!!」 サーバル「私はカット役だよ!」 ミミ助手「この計算をサーバルがやったのですか!?」 サーバル「ふっふーん!」 コノハ博士「ヒトの遺物scilabを用いているとはいえ、これだけのルールを扱うとは、サーバル、なかなかやりますね」 ミミ助手「我々と同じくらい賢い素質があるのです」 サーバル「やったー!」 かばん「やったねサーバルちゃん!」 コノハ博士「それにしてもかばんはアホなのです」 かばん「ええ!?」 ミミ助手「なぜExcelで、しかもマクロなしでこれを作ろうと思ったのですか!?労力の無駄遣いです」 かばん「デスヨネー^^;プログラミングがまだ怖くて・・・」 コノハ博士「かばんにも怖いものがあるのですか」 サーバル「大丈夫だよ!フレンズはお友達のためなら怖いものでも克服しちゃうんだから!ほら~」 ミミ助手「サーバル!やめるのです!図書館が!本が!我々の不動産、知的財産が!燃え尽きてしまうのです!!!」 かばん「ギンギツネさん、キタキツネさん!タライさんの出番ですよー!」 ギン「私たちも不動産なら持ってるのにねぇ?」 キタ「持ってないのはセルリアンハンターくらいだよ」
(p・∇・q)
の(p・∇が内積だったら、・q)のほうはただの、行列やベクトルのスカラー倍になってしまうし ∇・q)が内積だったら、今度は(p・のほうがただのスカラー倍になってしまう しかしなんとかこの両方を活かした内積なぶらを定義できないだろうか そこで先人の叡智(/π/2)であるブラ・ケット表記を参考にしてみる ベクトルではなく、関数の直交関係とかだったらどうなんだろうか いやあるいはいっそのことベクトルの平方根のようなものを定義して、そいつの名前はスピノルとかするのだろうか (p・がブラで ・q)がケット つまり(p・がおっぱいでありブラジャーでもあり ・q)がケツでありおパンツでもあるというわけだ。 ところがだ、困ったことにケツのほうにいいとこのおまめさんがないのである。 もしかしておっぱいにある乳首というのは外付けの器官だとでもいうのだろうか?? いやそれはおかしい。特に意味のないとされる男性の胸部にも乳首はあるではないか。 まあそれはさておきとりあえず乳首が外付けだと仮定して 乳首はどうして発生したのか。 元々、ただ単に体液を分泌する汗腺のようなものが発達したのだとすると もしかしたらあるいは、乳首という進化の袋小路に迷い込む前は きっかけとしてただの虫刺されだったという可能性があるのではないか 胸部を尻の代わりのセックスシンボルとするなら、 先祖返りして四足歩行に戻った元人類のケツにあたる部分に 何らかの体液が分泌される乳首のようなものができてもおかしくは・・・ うーんしかし近くに生殖器そのものがあるしなぁ いやちょっと待て。人類以外の哺乳類の乳首は大概尻のすぐ近くにあるではないか だあ゛ーだめだ!それならなおさら、尻に乳首が生える可能性が見いだせない!!! これがおっぱいとケツの自発的対称性の破れなのかーーーー!!! |
カレンダー
カテゴリー
最新CM
[08/08 さつ香]
[12/30 buy steroids credit card]
[09/26 Rositawok]
[03/24 hydraTep]
[03/18 Thomaniveigo]
最新記事
(01/01)
(03/19)
(03/18)
(03/18)
(02/23)
(02/14)
(02/12)
(01/03)
(09/23)
(09/23)
(02/11)
(05/30)
(05/28)
(05/28)
(05/27)
最新TB
プロフィール
HN:
量子きのこ
年齢:
44
HP:
性別:
男性
誕生日:
1981/04/04
職業:
WinDOS.N臣T
趣味:
妄想・計算・測定・アニメ
自己紹介:
日記タイトルの頭についてるアルファベットは日記の番号です
26進数を右から読みます 例:H→7番目、XP→15(P)×26+23(X)=413番目。 A=0とする仕様につき一番右の桁はAにできませんのでご了承くださいズコー
ブログ内検索
アーカイブ
最古記事
(05/11)
(05/11)
(05/13)
(05/13)
(05/13)
(05/13)
(05/13)
(05/13)
(05/14)
(05/14)
(05/14)
(05/14)
(05/16)
(05/16)
(05/16)
アクセス解析
|

