|
20080511~
13と7と11の倍数の論理積は13と7と11の積の倍数である。
和ァ・・・
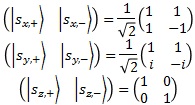
× [PR]上記の広告は3ヶ月以上新規記事投稿のないブログに表示されています。新しい記事を書く事で広告が消えます。 x方向、y方向、z方向それぞれのプラス、マイナスのスピンをいっぺんに表示する つまり列ベクトルを並べると なるほどこれは、それぞれのパウリ行列を対角化したいときに出てくる固有値問題 AP=λPの 規格化した固有ベクトルPそのものだ。 たとえばx方向のパウリ行列sxを対角化させたいときの規格化した固有ベクトルPは x方向のプラスとマイナスそれぞれのスピンの状態列ベクトルを、行に2つ並べたものに等しい。 つまりこの状態ベクトルを重ねて行列表示したものは ユニタリ行列であって、この逆行列invPはエルミート共役P†そのものである。 invP=P† (ただし特殊ユニタリではないため、Pの行列式は1とは限らず、 Pの行列式の絶対値(ノルム)が1であるにすぎない) これは暗記するのにとても適している。 PR もうちょっとでゲートだよ あれもヘテロダインセルリアンですか? えー!?へしがないよ!なんで!? サーバルさん、セルリアンのうしろに! ほら・・・!ほら! 秘儀!レペティションサイドステップ(反復横跳び) めちゃくちゃ見てるよ!向こう向いてよ! オープン・ザ・ゲート!オブ・・・ (コンティニューマーク描くの忘れた)セル~ン!セル~ン!セル~ン! ゲルバナ!! パカァァァン!!! 「すっごーい!なにあれなにあれ!?ヒューって空を飛ぶやつ!あれなにー?」 「ゲートエンジンのこと?作ったんだけど」 「作ったーー!?」 「たぁぁぁー!そんなわけないのだ!この帽子の子はさっき生まれたばかりのフレンズなのだ!」 「あなたたちは?」 「アライさんなのだ!」 「フェネックなのさー」 「ボクはかばんです。こっちはサーバルさん。」 「アライさんはねー、さっき生まれたばっかりのかばんさんがゲートエンジンなんて代物を作れるわけがないって言ってるんだよねー」 「初めまして、僕は、ゲートエンジンだよ」 「うわあああああ!しゃべったぁぁぁあぁ!」 「ゲートエンジンは、その昔、ヒトが開発したといわれているよ。そして、かばん、君は、そのヒトの体毛から生まれた、ヒトのフレンズだよ」 「ボクは、ヒトのフレンズ・・・」 「その中でも、特に、ゲート能力者のフレンズだったようだね。君のゲート能力はゲートオブゲルバナ。すべてのゲート能力を、どの時間・空間にかかわらず召喚できる能力だね。」 「ああー、それでここにあったゲートエンジンがたまたま作動したのかー」 「君を生み出した体毛の主は、遊ぶことが大好きだったようだね。だからバナナが出てきたんだ。 食欲も旺盛だったみたいだね。遊んでいるうちに、すべてのゲート能力者の始祖となるタイムマシンを開発してしまったようだよ。」 「カレーうどんを作ってほしいのだ!」 「アライさーん、でもカレーうどんは汁が」 「気を付けても無駄だから、もはやノーガードなのだ!」 「僕というゲートエンジンは、君が生まれた体毛の主によって、はるか昔に作られたものだね。」 「ゲートエンジンってたくさんいるんだよ!」 「サーバルさん、詳しいですね!」 「えっへん!あ、そうだ。なんでバナナは緑色だったの?あれじゃ食べられないよぉー」 「おそらく、カーブラックホールの特異リングを通る際に、圧縮に耐えられなかったんだね」 「カーブラックホールってなに?」 「回転してるブラックホールのことだよ。」 「ブラックホールってなんなのだ!?」 「エネルギーや質量を、一定の範囲以内に押し込むと、時空が耐え切れなくなって、なんでも吸い込んでしまう天体になるんですよ。その天体をブラックホールって呼ぶんです」 「回転している意味はあるのー?」 「はい。ブラックホールはなんでも吸い込んでしまうので、物質が中心の特異点に集まります。そこは回転しないブラックホールの場合は点のはずなんですが、回転していると、遠心力の影響で、特異点がリングになるといわれているんです。」 「特異点がリングになるとなにがどうなるのだ!?」 「さきほど、ボクが”空間”ではなく”時空”が耐え切れなくなると言ったのを覚えていますか?空間と時間を併せて時空と呼ぶのですが、ブラックホールでは、空間と一緒に時間もひずむんです。だから、ブラックホールの近くに行くと、空間だけでなく時間まで、周りの人よりも大きく旅をできるんです」 「なるほど!それでタイムマシンなのだ!」 「そういうことです。ですが、基本的にこれが使えるのは未来へのタイムトラベルのみで、過去へのタイムトラベルとなると、難易度が急に高くなるんです。そこで、回転しているブラックホールのリング状特異点のわっかの中を通るというアイデアで解決しようとしたんです」 「ブラックホールには体毛が3本しかないといわれているよ」 「毛があってよかったねえ」 「はい。質量・回転、そして電荷の3本と言われています。」
当初は一泊二日のつもりだったんですが、体力も時間もないので、せっかくの連休を利用して、片付けを本格的にやっちゃおうかなと。
まずpcの前のスペースに足の踏み場がなくなったので、pc今ほとんど使えません。 数式打てません。 スマホは、格安simだからなのか、忍者ブログと相性最悪で使い物にならないので、 昨日に引き続き、久々のKindleの出番です。 そういえばさっきツイッターで、スマホのアプリで数値計算系のなんかすごいアプリが出てるって見ましたね。なんだろう というか、今使ってるスマホでエクセルが使えるのかどうかわからないし、クラウドとかさっぱりなので、基本pcがないと何もできないのほんとなんとかしたい。 あ、思い出した! 数値計算ってより、スペアナのアプリだった! もう今日はこれで寝る!明日の労働ワークに備えたい 今晩も居間に泊まるよ! ハウスダストまじ勘弁。マスクちょう有能!
ポストアポカリプス時代から、在りし日のジャパリパークの時代へ帰ってしまった戦車ちゃん
残されたサーバルは、名前の由来、置き去りにされた「戦車」を眺める。 「ボクは、きっとこの島の危機をどうにかするために、この遥か未来に呼ばれたんだ」 戦車ちゃんはそういった。自分の役割を終えた戦車ちゃんは、過去に帰った。それだけのことだ。 いや違う!それだけのことなんかじゃない! サーバルは、戦車ちゃんに出会ってからの旅の日々を思い出していた。 「最初にお話したこと・・・」 食べないでください。 戦車ちゃんは、私が見つけたときから戦車をまとっていた。だから戦車ちゃん。 戦車ちゃんは、旅の思い出と同じくらい、いろんなものを、戦車に積んだ。 私には、とても入りきらないと思えるほどの荷物を戦車に積んで、時には戦車を担いで 時には私とボスと、戦車ちゃんが戦車に乗って、旅をした。 「ねえ、戦車ちゃん。私もこの戦車、動かせるようになったんだよ・・・」 サーバルは、戦車ちゃんと博士・助手の手助けもあって、今ではだいぶ上手に戦車を操縦できている。 しかし、この小柄な戦車には、どうしても思い出と同じくらいのモノを入れられるようには見えなかった。 ある日、サーバルはコノハ博士に戦車の容量を教えてもらった。 まず「容積」という概念をミミちゃん助手から教わり、その「容積」を計算するための数学を、博士から学んだ。 やはり何かがおかしい。戦車には容積以上の物量が入っていたとしか思えない。 別のある日、サーバルは、ツチノコにサンドスターの仕組みを教わった。 だいぶ数学にも慣れてきて、相対論的量子力学を扱えるくらいにはなったサーバルは ツチノコに、「ゲージ粒子としてのサンドスター」という仮説を教えてもらった。 ゲージ粒子は主に、物質と物質の間に相互作用を起こす。 その際に、ゲージ粒子自体が物質を構成する粒子から仮想的に現れて、運動量などを交換することで、物体同士に力を及ぼす。 しかし、主な4種類の相互作用のうち、重力だけが異端児で、あまりにも弱すぎるため 解析が進む前に人類は衰退してどこかに行ってしまった。 ツチノコ曰く、重力がなぜあんなに弱いのか、それは、異なる次元に染み出しているからだそうだ。 同様に、ゲージ粒子としてのサンドスターも、高次元に染み出すことで 世界線を超えて、何かを交換するのではないかと、ツチノコは言っていた。 たとえば、今いるジャパリパークのある世界線は、サルの仲間が人類に収斂進化した世界線、 サーバルやツチノコが人類に収斂進化した世界線もあり そのとある住人との「記憶以外」が、元動物と交換することで、フレンズが誕生するのではないか。ツチノコの仮説はこんな感じだった。 高次元に染み出す重力のゲージ粒子と、サンドスター・・・やはりどことなく似ている。 そして、容積以上の物体を収納できる戦車。 「ねえツチノコ!この戦車ってどうやって容積以上の物体を収納しているんだと思う?」 「そりゃお前、3次元で無理なら4次元以上なんじゃないか?」 「やっぱりそう思うよね?この戦車って、サンドスターの代わりにならないかな?」 「あ゜ぁ!?・・・その手があったか!ちょっと待ってろ!今博士と助手を呼んでくる!」 「我々フレンズは、野生みも宿しているので、基本的に火が怖いのです。」 「怖いのです。ですから、火を使わないで料理ができるように、電子レンジとIHヒーターに関しては、人類よりも詳しい自信があるのです」 「IHヒーターをリフターの代わりにした、電話レンジの開発など、晩御飯前なのです。」 「過去や未来への通信ができる、Dメールも、ちょいちょいで開発したのです」 「私の歌も、5億年周期でこの世界線に誕生しては滅んでいる収斂人類に届いたわ」 「あれを送ってしまったのですか・・・」 「私の歌でだいぶ緩和されてるから大丈夫なんですけど!(どやぁ」 「えっ!?」 「じゃあ、この戦車と連動させて、フレンズそのものを別の時代に送るタイムマシンもすぐにできそう?」 「あああ当たり前です!1ヶ月分の納期と料理があれば、完璧に作ることができます!」 「じゃあ私はカットと料理を担当するね!」 「!?お、お前はカットだけしてればいいです!」 「お前は理論屋で不器用なんだから、カットとタイムマシンの理論だけ進捗してればいいのです!料理はヒグマと我々がなんとかしてやるです!」 「やっぱり火を使うの?私も火は時々起こせるんだけどなぁ」 「お前の神火行機は、良くも悪くも必ず山火事になるからだめなのです!さっさと理論を作るのです!」 「私が頼んだんだけどなぁ」 「待ってて戦車ちゃん!すぐ行くから!」 「設計屋は最上流工程なんだからお前が早くしろなのです!」
トイレにケータイを持ちこむようになってずいぶん経つが
実を言うと、トイレで使っていたケータイがネットに常につながっている歴史は あまり深くなかったりする量子きのこですこんばんわ トイレをネットに、特にツイッターという夢の島(埋立地)につなげるとすごい効率が上がったんじゃないか って地味に思いまして そういえば前々から、エントロピーを捨ててる時間って食事してる時間より空想がはかどってるなぁと 関係あるのかないのかわからないけど いわれてみれば、爪を切ってる最中も、風呂もトイレも、散髪の時間も、ひげをそってる時間も 全部一見「無駄時間」なのは共通してるなぁと まあ、無駄時間だと思うからこそ、リラックスして、逆に心の余裕から空想や新しい発想がはかどるのかもしれない。 これを「大切な時間!」と、教育されながら育ったら、この無駄時間を有意義に使えない、生産性の極めて低い人間が出来上がってしまうかもしれない やっぱり「エントロピーを捨ててる時間」っていうのは関係ありそうでないんじゃないかな どうなんだろう 満腹で思考が鈍るのも、具体的に言えば脳よりも胃腸にエネルギーを回してるからであって エントロピーどうのとは関係あるのかないのかわからん。むしろないんじゃね なんかね、トイレでツイッターやってたら心の「あそび」が出てね 2017年という小酉ちゃん年を12で割ってあまりを出す代わりに 3と4で割ったあまりの積集合を取ろうと思ったの! でもそこには論理の飛躍があって 酉年がたまたま運よく2017%12==1だっただけで %3==4,7,10&&%4==5,9がそのまま%12==xとは限らないんだなって思ったの! 久々にモジュロ演算した~って気分になったんだ! ってか、%3と%4なんだから%3==4,7,10も%4==5,9も存在しないじゃーん!ばかね~ mod(,3) mod(,4) mod(,12) 12年に1度の小鳥ちゃん年 if(小鳥==フェニックス) return 12; else return null; if(is離散) return 不ゥーハハハ死鳥; else return アフリカオオコノハズク.今更数え切れるか!; 時間と心の余裕があったら、左右ランダムに目ぇ点滅させてえ・・・ベストマッチ!
カプセル化を学んで、自分で例題作るか!って思いながらもやめて
演習問題をとりあえず完成させて。 めっちゃ敷居高いよ!って思いながらも完成させた喜びと自信がついたから じゃあ改めて自分で例題作るか! って思いながら複素数電卓を作ろうとしてふと気づく。 偏角を出す時にatanじゃなくてatan2を使わないと、死ぬ。 あばばばば math.hをC#でインクルードするにはどうしたらいいんだ!? と思ってぐぐったら、ヘッダはクラスになりました的なことが書いてある。 え・・・まじで・・・ 継承は次の章なんだけど・・・これじゃまだ遊べないってことかー そんなわけで継承の章に入って本を眺めていて めっちゃ厳密に設計されとる! 当たり前っちゃ当たり前だけど これはあれだ 何気なく定規を買おうと100均に入ったら、棚にCAD(税抜き100円)しか置いてなくて いや、そんな高機能のやついらないっすよ;;;ってパターンだ! 高層ビルを構想ビルドできちゃうよ・・・なんなんこのソフト そんな崇高なもん使ってたのか俺・・・ でもふと思った ファイル共有しながらボイスチャットでグダグダ同人ソフト作るギルドが入ってるネトゲ できるじゃん! ここにprivate鍵かけといて、ここ以下はそっちで勝手に開発進めてて~ みたいなノリの同人会社 もしかして今のコミケの同人ソフト開発ってまさにこういう感じなんじゃ・・・? 直に集まる必要があまりない! でも問題は、遠隔地でそういう連係プレーができる仲になれるかどうかの 人間本体のハードウェア的な問題なんだよな こういう同人作成のためのクエストを発注・受注するネトゲ ソフトだけでなく数学・物理の問題についてもあればいいよね というか家庭でできるあらゆる学問についてあればいいな なお地学、考古学etc・・・
オブジェクト指向の中の、カプセル化の章の演習問題を終えました。
visual studio2015で作っているのですが、クラスを生成するのにメニューバー→プロジェクトからマウスクリックで行うとは思いませんでした。 手取り足取りの例題から、演習問題で一気に突き放された感があって 一度、好きな分野、たとえば複素数電卓ツールでも作って慣れておこうかという案もあったのですが この一気に突き放した感が妙に気になったのでその案はやめました。 一気に突き放しておいて、それでも演習が解けたことによる喜びと自信を身につける それも含めての課題だと思ったからです。 いちおう、目的は果たしました。 何を目的とするかにもよるのですが、ツールが問題なく動きそう というのを目標とするなら達成です。 が、演習としてはとても目標達成とは言えないような気がしました。 結構その場しのぎで例外対処のコーディングをしたり、可視性がぐちゃぐちゃだったり 登場メンバが全員int型だったり 間違って作りすぎたクラスの撤去ができず、幽霊クラスのようになっていたり 課題は多いと思います。 せっかくこれから分業の準備をしているのに、こんなクズ野郎なコーディングではいけない。 ただ、問題を見て、過去の演習や例題からヒントを得ながらも 自力で作った最初のカプセル化なのだから 多少は大目に見ようかな、と頑張った自分をひたすら甘やかしたいです 本1冊にしては、例題も演習問題も多いほうだとは思いますが それでも1章につき例題・演習1つずつというのは物足りない まあ理解できる最低限の配慮はしているいい本だとは思いますが ここは、そうですね 自分でテーマを作って解いてみる そのくらいしたほうがよさそうな気がしますね。 幸い、今手にしている「ゴールから始めるC#」という本は、大変わかりやすいため 自分で例題を作るぐらいのことはできそうです
じゃあ、青歯の音量ボタン押したら自撮りスイッチの代わりになるんじゃね?
って思ってやってみたけどダメだった。 なんかこう青歯はソフト、有線の自撮りスイッチはハード的につながってる気がする。 ところで、外付け魚眼レンズ買った。 試してみたいことは、水中から水面を撮影して、魚眼ON・OFFで全反射する範囲を比較すること そのための有線スイッチだし、これから防水加工も買おうと思ってる。 あとは、外付けの望遠・顕微レンズが安価でほしいな。 スマホケースを、手帳型に変えた。 理由は、能動的に操作オフにできないっぽいから。 ポケットの中で誤作動されると困る でも買ったやつが磁石式だったからどうしたもんかと思ってる。 まあ、遭難した時に「コイツが原因でその辺が樹海化して死にました!」 なんてことはないだろうけど、せっかく方位磁針アプリがあるのに それを間近で妨害する要因があるのは癪に障る。 ホール素子と加速度センサで、方位も傾きもわかるのに、なんかもったいない まあ影響のない程度の磁力なんだろうけどイライラするので、できればマジックテープ型のほうがいい。 まあでもなんつーか、加速度センサも、当然だけど重力と加速度を区別できなかったり ホール素子も磁石由来なのか電流由来なのか磁場を区別できなかったり(当たり前)して とてもかわいい。 磁気と重力のカップリングも実にグーです。統一理論と宇宙の歴史から見て、一番枝の部分と幹の部分っていうのがそそります。 幸いにも僕の部屋のブラウン管は現役なので、実験ができそう。 USB電源とかでも実験できると嬉しいなぁ。2Aくらいだっけ。 今度、遊園地に行くようなことがあったら、ジェットコースターでタマヒュンするような場面で加速度センサを使いたいな あ、そうだ。 せっかく偏光サングラス買ったんだっけ。 スマホもそうだけど、偏光サングラスも常に持ち歩いていると楽しいだろうな。 液晶とかブルスタ角とか遊べそう。 ってか、偏光サングラス持つならもう1枚偏光板持っておこう。 重ねると面白さ倍増なんだこれ。 あーあ、スマホの録音機能も、サンプリングレートをオプションで選べたら面白いのにな リモコンの赤外線を見れるように トキの歌を疑似的に聞けたり、超音波の回折のなさを利用して音の立体視とかできるだろうに スマホはハードウェアから超ハイレゾであるべきじゃね?これがユニバーサルデザインになればいいよ あとはそうな 相変わらず文字が打ちづらい。 フリックはまだほとんど使ってないんだけど、フリック使えたからってよくなるわけでもないじゃん? なんでブラインドタッチから退化してんだよ。ポケットに入れたままでも打てるユーザーもいてこそだろうが。 セキュリティの観点からもあるだろうけど、スマホのボタン音を音階とかにするのはあんまり流行らない、流行らせないみたいだね。 こないだ、ガラケーで打った文字をスマホで受信してコピペしてスマホから投稿したけど そのくらいスマホの入力はうざい!と思ってる。 画面じゃないボタンもユニバーサルデザインの一部に加えるべきだと思う もしできないなら、ガラケーからメールで送る代わりに 青歯でつながった文字打ち用の外付けキーボードみたいな電卓兼テンキーみたいのがあればいいんじゃないだろうか もちろんガラケー並みに分厚かったら意味ないと思うわけで めっちゃ薄くて、あわよくばスケルトン、スマホの画面保護シール兼キーボード(ちょっとだけゴツい)みたいになったらいいなーなんて 水洗い可能で、洗ったら粘着力が回復して、何度もスマホに貼ったり取ったりできるわけよ あ、言い忘れたけどもちろんメロディが奏でられるくらいのボタン音は確保すること。 プッシュホンみたいな変な和音がデフォなのはダメだよ 黒鍵はなくていいけど、1.5オクターブくらいはほしい。 DTMとは違うんだよ。それとは別にほしいんだよ。 あれよ、ポエマーの人、あの人らってポエム打ちこむ前に録音したがる人いるじゃんか だからDTMとは微妙にニュアンス違うんだって。 |
カレンダー
カテゴリー
最新CM
[08/08 さつ香]
[12/30 buy steroids credit card]
[09/26 Rositawok]
[03/24 hydraTep]
[03/18 Thomaniveigo]
最新記事
(01/01)
(03/19)
(03/18)
(03/18)
(02/23)
(02/14)
(02/12)
(01/03)
(09/23)
(09/23)
(02/11)
(05/30)
(05/28)
(05/28)
(05/27)
最新TB
プロフィール
HN:
量子きのこ
年齢:
44
HP:
性別:
男性
誕生日:
1981/04/04
職業:
WinDOS.N臣T
趣味:
妄想・計算・測定・アニメ
自己紹介:
日記タイトルの頭についてるアルファベットは日記の番号です
26進数を右から読みます 例:H→7番目、XP→15(P)×26+23(X)=413番目。 A=0とする仕様につき一番右の桁はAにできませんのでご了承くださいズコー
ブログ内検索
アーカイブ
最古記事
(05/11)
(05/11)
(05/13)
(05/13)
(05/13)
(05/13)
(05/13)
(05/13)
(05/14)
(05/14)
(05/14)
(05/14)
(05/16)
(05/16)
(05/16)
アクセス解析
|

