|
20080511~
13と7と11の倍数の論理積は13と7と11の積の倍数である。
和ァ・・・
× [PR]上記の広告は3ヶ月以上新規記事投稿のないブログに表示されています。新しい記事を書く事で広告が消えます。
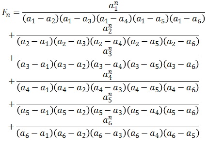
数列自体は自然数から複素数まで一気に広がる。
その様子を、scilabとExcelを使って見てみましょう。 まずscilabに、ヘキサボナッチ数列を象徴する行列あるいはその特性方程式を多項式として入力します。 ======== 方法その1~行列の固有値を求める方法~ scinotesに以下のように入力して実行します。 A=[ones(1,m);eye(m-1,m-1),zeros(m-1,1)] x=poly(0,'x'); z=det(x*eye(A)-A) w=roots(z) ======== 方法その2~多項式を直接作って根を求める方法~ scinotesに以下のように入力して実行します。 x=poly(0,'x'); z=x^6-x^5-x^4-x^3-x^2-x-1 w=roots(z) ======== どちらの方法でもだいたいこんな感じになるので、赤矢印で示したwという6行2列の行列に格納された左と右が、それぞれ固有値の実部と虚部です。 全部選択してExcelにコピペしましょう。 これを、m=1から10まで、m=6以外にも適用してみましょう。 モノボナッチからデカボナッチまでの固有値を、異なるシートの同じセルに貼り付けます。 配列の大きさが異なりますが、先頭をE4セルに揃えておきます。 ご覧の状態で、10個のシートの中の10というシートを選択し、シフトを押しながら1というシートを選択すると、モノボナッチからデカボナッチまでの10個のシート全部が選択されるので この状態で作業すると、選択したすべてのシートに対して同じ操作が行えます。 たとえば、D4セルにa1と入力し、セルの右下のポッチをダブルクリックすると、「オートフィル」(オートフィルタではない)が自動認識し、a10まで連れてってくれます。 ただし、10のシートでオートフィルをしたので、固有値が1個しかなくても、a10まで連れていかれてしまいます。 それから、G4からG13まで、complex(E列,F列)を行って、複素数をG列に入れる作業もオートフィルで行ってしまいましょう。 なぜ、scilabで一旦実部と虚部にわけたのかと言われますと そのままコピペすると、scilabの予約語である虚数単位%iが、この仕様のまま吐き出されてしまうのを防ぐためでした。 G列をコピーし、値だけ貼り付け、E,F列を列ごと抹消します。 今度は、D列のa1と書かれている部分から、F列の10番目の固有値までをコピーし、 「行と列を入れ替えて」、F2を先頭にして貼り付けます。 何がしたいのかというと、このwikiの分母を作りたいのです。 F4セルにIMSUB($E4,F$3) と入力すると、以下のような表が出来上がります。 この表を、横に掛け算して、先ほどのwikiの分母を算出したいのですが、ゼロが邪魔です。 なので、同じnのan同士が引き算する場合は、1を返すようにif文を構築します。 IF(F$3<>$E4,IMSUB($E4,F$3),1) この式で大丈夫です。 Excelで複素数を扱う場合、文字型として格納されてしまうので、算術演算は本来できないのですが 数値型としてではなく文字型として「等しい」か「等しくないか」については判別可能なのです。 もちろん、ifの条件の中身をF$3-$E4<>0にしてはいけません。引き算という算術演算が入ってしまうからです。 10個全部掛け算してみましょう。 P4=improduct(F4:O4) を、P4からP13まで繰り返します。 これで各分母は計算できました。今度は分子を計算しましょう。 Q1にn、R1に1などと入れておいて Q4=impower(E4,$R$1)としてから、Q4からQ13まで繰り返すと、分子の出来上がりです。 それから、分子を分母で割ります。 R4=imdiv(Q4,P4)として、R4からR13まで繰り返します。 さらに、R3=imsum(R4:R13)とすると、nが0から8まで、実部も虚部も、ほぼゼロになって、9番目の数列がいきなり約1+i0になったりしないでしょうか。 n=9から20くらいまで入力しても、nが整数であれば、数列の値は実整数に近似した値が出るはずです。 デカボナッチ数列の漸化式と一般式を載せておきます。 さて、ほかのシートはどうなったでしょうか。 たとえば、「9」のシート、ノナボナッチ数列のところは 固有値が9つしかないのに枠を10個設けているので、おかしなことになっています。 9から1までのシートを選択して、一旦罫線を外しましょう。 13行目は残ってても割りとどうでもいいのですが、悪さをするのはO列です。 ここをゼロにしてしまうとゼロで割り算することになってしまうので、O列のO4からO13までにはすべて1を入れることにします。 同様に、シート1から8までのすべてに関してはN4からN13まで シート1から7までのすべてに関してはM4からM13まで シート1から6まではL4からL13までといった風に、1を代入することで、問題は解決します。 (追記:n≦0でQ13とかのQ列の「見かけゼロ」が悪さすることが判明したため、不必要な式impowerを取り除いて「0」と定義してください) ここまでのExcelファイルをここに置いておきます。 ![]() にほんブログ村 PR
ボナッチ系(なんとかボナッチ)数列の一般式の公式を導くあの手順な
これ↓ をこれ↓ みたいに具体化できて、なんか集大成っぽい変形アニメができそうな気がするんだけどな なんつうか規模がな・・・一人で大丈夫か?おっぱいない。って規模な気もするし 新しいパワポがな、久々か初めての運用だから自信がなくてな めっちゃごちゃごちゃしそうじゃん、アニメを作るさまが。
前回の続きです。
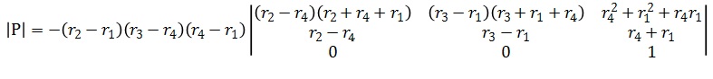
テトラボナッチ数列の一般式を出すために計算していて、|P|までは計算が終わりました。 |P|Q11を計算してみましょう。 2列目から3列目を引いて2列目に代入しますと 1列目から3列目を引いて1列目に代入しますと 行列式を2次に縮めます。 1列目と2列目をそれぞれ、r2-r4とr3-r4で約分すると 1列目から2列目を引いて1列目に代入 |P|で割ると 同様に、|P|Q21も計算しますと ここまでは同じ方法なので、よかったらやってみてください。 それから、また同じように|P|で割ります。 あとは、これのQ11~Q41に代入すればいいだけなので こういう風になるわけです。 ちゃんとwikiとも一致していますね。つづく こう書かれるわけですが(あ、rは固有値です) Pというのが以下のようにあらわされ Pの逆行列をQとすると このように計算されますが n番目のFしか求める必要がないのと、初期値がF3以外全部ゼロなことから 必要な計算は青の網掛け以外のところだけとなり ここまで省略することができます。 また、Q11~Q41は このうちの こんな風になります。 まず|P|を計算してみましょう。 2列目から1列目を引いたものを、2列目に代入しますと さらに、3列目から4列目を引いたものを3列目に代入しますと 4列目から1列目を引いたものを4列目に代入しますと ここで、4行目のほとんどがゼロになったのでくくりだして3次の行列に縮めたいのですが 1行1列から数えて偶数番目に1があるので、縮める際にマイナスを付け忘れないでください。 1列目、2列目、3列目がそれぞれ、r2-r1、r3-r4、r4-r1で約分できるので 2列目から3列目を引いて2列目に代入しますと 1列目から3列目を引いて1列目に代入しますと こうなるので3行目ががら空きになりました。 そこでまた行列式を2次に縮めます。 今回の1は1行1列から数えて奇数番目にあるので符号はプラスです。 ここでも1列目と2列目で、それぞれr2-r4とr3-r1で約分できるので、外に出してしまいますと こうなるので、1列目から2列目を引いて1列目に代入しますと あとはサラスの方法を使っても使わなくても迷わないと思いますので いちおう、添え字の小さいほうから大きいほうを引く約束にして、符号を調整しておきましょう |P|はこのようになりました。 とりあえず今回はこの辺で。つづく。
これな
トリボナッチの分子が分母の整数倍かどうかは任意番目について確認できる見通しは立っていないのに こっちの見通しのほうが早いんかい 行列式の変形ギミックすごーい!たーのしー! しかしなんだ、サーバダウンか。まじ綯エル・プサイ・コングルゥ。
生きているとき→バイクになる→上田麗奈さんがはねになって東山奈央さんが鈴菌になる
死んでいるとき→自転車になる→上田麗奈さんがひろみになって東山奈央さんがあみになる 変身して自転車になったら別に動力必要ないから、ただの無機物化の状態変化になってしまう あるいは、回転する手足・・・? ペダル回したらプーリーで後ろ足に動力が伝わって、手足をクルクル回しながら・・・なにそれキモい。御堂筋くんでも乗らんで。 乗るのはゴーストくらいだろう。それゴーストライカーや。耳が聞こえる シャカリキにペダル回したあとは大好きー大好きー(歌:へご) ああ^~学外で同人タイムマシン開発してコミケで売りたいんじゃ^~ そろそろ学外で部活もの流行らそうぜ っていうかもうそろそろ大学生を主人公にしようぜよー 将来的には大学院博士課程まで卒業しないと就職は難しい時代がきて そのあとは人工知能によって生涯学生制度が確立されるんだから もっと大人げない大人の主人公が出てきてもいいじゃねえかよお パンツの研究しかしない大人が、数学にしか興味がなかった人と、学外部活を通じてギルドを組むアニメやろうよ~
続きです
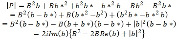
分母が実数であることはわかりました。 じゃあ分子も実数でないと、この数列は整数はおろか、実数にはなりませんよね。 そういうことで、分子も実数であることを確かめます。 分子はこちらになります。 第一項はBが実数なので、その2乗ももちろん実数。 2項目と3項目を変形してみましょう。 はい、これで、2項目と3項目の和も実数であることがわかりましたね。はい。 しかし、分母の整数倍かどうかを確かめるには程遠い様子・・・ 任意のnで確かめるのはちょっと荷が重そうです。 nが3か4ぐらいでしたら、まだいけそうなんですけどねー 二項定理使って直交座標系でいくべきか、ド・モアブル使って極座標系でいくべきか おそらく前者・・・あわよくば数学的帰納法みたいな感じで任意のnに対応できればうれしい 無理数の無理性から、約分するほかに無理数を有理数にする道はないはずですからねえ
よくまとめられてるなおい・・・
フィボナッチ数の類似の数列を参照すると、類推でどこまでもいけるようにできてる。 たとえばL=6ならヘキサボナッチ数列の一般式が出せる。 この6次方程式を解いた6つの複素解がa1~a6に当たるわけだけど これを使って こういう風に定義してやれば、たちまち、 nが0~4までのFnがゼロで、n=5になったところからポッと有限の値が出て、 それまでの数列6つの和を取る、まるで規則性のあるようなないようなヘキサボナッチ数列 を、いきなりn=40とかやっても即座に出せる。 ほんともうびっくりだよ。理論上はL=500とかでもできるし そしたら500番目くらいまで数列がゼロで、501番目とかでいきなり有限の値が現れるんだ そういうのが無数に作れる 狂気か!
昨日の続きです。
トリボナッチ数列の一般式はこれでした。 この分母を整理したいと思います。 まずはBの2乗を求めましょう。 だったので、その2乗は こうなります。 続いて、|b|^2を求めましょう。bは このような複素数だったので、その絶対値の2乗は こうなります。 最後に -2BRe(b)を求めましょう。Bとbは先ほど出したのを使って こうなります。 ではこの3つを合わせて分母にしますと このようになることがわかりました。無理数ですが、実数ですね。 ということは、分子も実数で、nがいくつであっても、この分母の整数倍であることが予想されます。 トリボナッチ数列はこのようになっていて、 フィボナッチ数列では「前の2つの合計」だったのが、「前の3つの合計」に変わっています。 これを行列で表すとこのような漸化式から一般式に変わります。 ここで、行列のべき乗が現れます。これを効率的に求める方法として、対角化がありますが、 対角化の準備段階として、固有値と固有ベクトルを求める必要があります。 ここに、以下に示すAという行列があって、Aのべき乗を求めたいとしましょう。 Aの固有値が3つバラバラで、対角成分だけが固有値のみでできているJという行列があり 行列JとAとの間に AP=PJ という変換法則があったとしたら Aのn乗は次のように簡単に求められます。 このPは、固有ベクトルである縦ベクトルを、横に並べたものとなります。 まず、固有値を求めてみましょう。 固有値はこのように求めることができます。 この3次方程式の解は、カルダノの方法で このように求まります。 ここで、λ1は実数、λ2とλ3は複素数で、λ3はλ2と複素共役であることがわかるので B=λ1、b=λ2とおくことにします。 また、固有ベクトルは、この行列の場合 固有値がBのとき、bのとき、b*(複素共役)のときでそれぞれ とわかっているので、AとJの間の変換のための行列Pは であることがわかりますし、Pの逆行列は 行列式|P|と余因子adjPを用いて こう書けるので 行列式は こうなり 余因子は こうなります。 一般式は この行列の、一番下の列だけあればよいですし、縦ベクトル(1,0,0)の最初の1以外はゼロなので 青く塗った部分の計算はいりません。 結局、一般式Tnは このようになります。 複素数でなおかつ、無理数なのに、 不思議なことに、トリボナッチ数列は自然数として算出されるのです。 nが自然数ならトリボナッチ数列も自然数で合ってるのですが、nは実は負の整数まで拡張でき トリボナッチ数列自体も、負の整数まで拡張されます。 もうちょっと綺麗にできそうな気がしますね。 テトラナッチ数列を行列の固有値から求めることもできなくはないんですが 4次方程式の解である固有値そのものが、解析的に化け物じみた狂気をはらんでいるため テトラナッチは諦めましたwwww 狂気の様を見たいなら、ウルフラムαに「行列の固有値として」代入してみると見れます。 なぜかx^4-x^3-x^2-x-1=0という高次方程式にすると近似値だけが返ってくるんですよね。 3次方程式x^3-x^2-x-1=0も同様です。 僕がやりたいのは、解析的に整数に落ち着くまでの姿を見たいのです;ω; |
カレンダー
カテゴリー
最新CM
[08/08 さつ香]
[12/30 buy steroids credit card]
[09/26 Rositawok]
[03/24 hydraTep]
[03/18 Thomaniveigo]
最新記事
(01/01)
(03/19)
(03/18)
(03/18)
(02/23)
(02/14)
(02/12)
(01/03)
(09/23)
(09/23)
(02/11)
(05/30)
(05/28)
(05/28)
(05/27)
最新TB
プロフィール
HN:
量子きのこ
年齢:
44
HP:
性別:
男性
誕生日:
1981/04/04
職業:
WinDOS.N臣T
趣味:
妄想・計算・測定・アニメ
自己紹介:
日記タイトルの頭についてるアルファベットは日記の番号です
26進数を右から読みます 例:H→7番目、XP→15(P)×26+23(X)=413番目。 A=0とする仕様につき一番右の桁はAにできませんのでご了承くださいズコー
ブログ内検索
アーカイブ
最古記事
(05/11)
(05/11)
(05/13)
(05/13)
(05/13)
(05/13)
(05/13)
(05/13)
(05/14)
(05/14)
(05/14)
(05/14)
(05/16)
(05/16)
(05/16)
アクセス解析
|


