|
20080511~
13と7と11の倍数の論理積は13と7と11の積の倍数である。
和ァ・・・
× [PR]上記の広告は3ヶ月以上新規記事投稿のないブログに表示されています。新しい記事を書く事で広告が消えます。
2016/12/25の続きです。
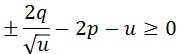
最初に言っておきます。この日記では文脈がかーなーり大事です! 同じ記号なのに4次方程式のことについて言っていたり、3次方程式のことだったり紛らわしいので注意して読んでください。 この4次方程式を解きたいわけですが まずフェラーリの公式にぶち込みますと 媒介変数uに関する3次方程式にたらいまわしにされます。 ただし、a2=p=-1、a1=q、a0=rです。 そこで、カルダノの公式を使おうとすると u2乗の係数2pが邪魔だと言われますので、指示通りに消します。 そうして得られた3次方程式 を解いて 元の2次の項を含む3次方程式の解に直してやるために の変換をしてuを得ますが、ここでいうpは「4次方程式のp」です。つまりp=-1というわけですね uは3つ出てくるはずですが、どれを選んでもいいです。 こうして得たuを用いて 今度は以下の2次方程式にたらいまわしにされます。 ここでいうpとqは4次方程式のpとqです。 また、±がついているので、2本の2次方程式であり、解は4つ(つまり4次方程式)あることに注意しましょう。 整理すると こうなり、目論見に乗っかって2次方程式にたらいまわしにされますと こうなります。 ただし、3つある±のうち、赤で書いた±だけが複合同純ではなく、独立しています。 整理してみましょう。 ここで、固有値がすべて実数であることを思い出してください。 そうすると、uと判別式のどちらもが、正の実数でなければならないことがわかるかと思います。 u≧0だし というわけです。また、p=-1であることも踏まえると qが この範囲にあることがわかります。 また、2次の項を含まない3次方程式の解は、3つの解を足すとゼロになることがさっきわかったのですが 行列の固有値から作らなくても、つまり1次の項pがp=-1でなくても トレース=0のように、3つの解の和がゼロになることがわかりました。 これを踏まえて、2次の項を含む3次方程式の解に変換するには、4次方程式のpを使って、p/3を引いてやると、p=-1なのでつまり1/3を足してやるといいので 元の3次方程式の解uは、合計すると2になることがわかります。 つまり、3つとも正の数でありながら、3つ合計しても2にしかならない 0≦u≦2であることがわかるのです。 ここで、 をuで1階微分してやると こう。 2階微分は以下のようになるため u>2/3だと下に凸、u<2/3だと上に凸になり ん? まあなんかとにかく、uが0から2までの間は u=2/3で極大値 qの範囲は であることがわかります。 とりあえず今日のところはここまでにします。 PR 3次の特殊ユニタリ群SU(3)の生成子であるゲルマン行列系は、このように、 8つの自由度を規格化していても非対称になりえます。 ではどうして、2次の特殊ユニタリ群SU(2)は対称なのでしょうか。 SU(2)の生成子はパウリ行列で以下のように表されます。 規格化した状態から考えてみますと こうなので、固有値はλ=±1と、対称なのが自明になってしまいますが 規格化してないときの特性方程式を見てみますと このようになっていて、特にノルムがどうとか言っていないので 上の図のような、上下に平行移動する特性方程式となります。(規格化すると上下移動は固定されます) また、このときの固有値の幾何学的意味としては、半径1の円のコサイン成分と捉えることができるため これが対称性を維持していると考えることが可能なのです。 円周を2分割しているだけだから、対称なのだといえるでしょう。 このようなゲルマン行列があると、特性方程式は以下のようになるのですが 8つの自由度sを規格化してしまってから連動して動かしても、独立性が足りないのか 特性方程式がうまく動いてくれないという悩みの種がありました。 そこで、ちょっと工夫して 特性方程式の中のa0について aとbとcの絶対値を同じにしてみることにしました。 そうすると、a0の式の この部分が、トレース=ゼロの定義により、ゼロになります。 また、arg(a)=-arg(c)として、arg(b)=π/2とすることで、 コサインの項もゼロにできます。 つまり、s1=s6、s2=-s7、s4=0、s5の2乗はs1とs2の2乗和になります。 (aとcは複素共役の関係で、bは純虚数) あとは、xyzを計算してやればいいだけです。 s3とs8が残るので、8つのsの2乗和が1になるようにs3を定めることにして s8だけを動かしてみることにしましょう。 そうすると、以下のように連動して動かすことができるようになりました。 ちなみにs1=0.1、s2=0.2と固定しています。 s8は-0.5~0.5の間を移動します。 青線が特性方程式で 黄色が特性方程式の固有値と、その幾何学的意味 オレンジが8つある自由度sの分布です。
そうさバーチャルショート<偉大なる航路>も悪くはないかな
ステイしがちな電子だらけの頼りない流れでも きっと飛べるさOP-AMP のタイムパラドックスによるノイズの増幅=この宇宙のすべて そんなわけで昨年末の続きです。 440Hzの正弦波を作ります。 次に、最大増幅率で増幅します。(クリッピングを有効に) 一旦音声ファイルとして書き出し、編集中の窓を閉じ、書き出したファイルを読み込みます。 カットオフ周波数を450Hzに、48dB/オクターブの勾配でローパスフィルタにかけます。 ほぼ正弦波に元通り。 あの世とこの世で 「デジタルワールド(離散)」かつ「リングワールド(周期)」なんなー
まあこれの続きなんですが
固有ベクトルを規格化してユニタリにする際の係数の解析解が、数値計算と一致したので載せます。 これのR、 n番目の固有値λnごとに こういう風に並ぶんで こんな風に定義するんですけど こうなることがわかりました。 ここで、初めて出てくる文字 a1,a2,b1,b2,c1,c2は、添字1がそれぞれa、b、cの実部で、添字2がそれぞれ虚部です。 つまりそのまま、 a1=s1 a2=s2 b1=s4 b2=s5 c1=s6 c2=s7 に対応します。
ステラのまほうな、日常ものなのにちょっとシリアスが入ると微妙とか言われたりして
作者も最初に言ったし、アニメでもしーちゃんが「大変ですよ×2」って念押ししたじゃんか 作者の力量のせいにはしたくないよな。 色々励みにさせてもらったし。これがシリアスじゃなかったら人生生きたまま死んでたわ。 かといってこれをコミック化・アニメ化した人のせいにするのも明らかに違うだろうし 世の中のせいというわけにもいかない、どうしたものか あ!そうだ我々客共のせいにすればいいのか!僕を含めて。 メンタル弱くなったもんな我々。 玄田さんナレーションおねがいしまーす!(こういうときだけさばげぶに頼る屑の各務) みたいなことを書こうとしてたんだけど、飯食ったら気分良くなってどうでもよくなってきたわ ちょうそかべってなんだっけ
先日までの日記参照
これを規格化ってのはなかなか死ぬる・・・。 まあ、各変数を一様乱数使って割り当ててるから、めったに固有値がカブったり 固有ベクトルの一部が本質的にゼロになったりはしないので ジョルダン標準形やグラムシュミットの正規直交化法を使う必要はほとんどないんだけども それでもかなりめんどい。 なにか近道はできないものかと考えて、ちょっと思いついたのは この行列Pの「逆行列がPのエルミート行列そのもの」であることを使うこと。 つまりEを3次の単位行列として、PP†=Eのことなんだけども この内訳を考えると こういうことなので総和記号を用いて、以下のように、l行目k列目の要素は といえる。 また、l=kのときは1、それ以外はゼロなので、クロネッカーのデルタを用いてこのようなこともいうことができるし 複素内積(u,v)を このように定義すると たったこれだけで記述できてしまう。 ここで、今回は行列指数関数を求めたいんだった。 間にこのような、対角行列の指数関数が入ってしまうので、さっきのように簡単にはいかないが、楽をするヒントは得られそうだ。 つまり行列指数関数expの各要素elkは とできそうなので、 少し計算を省けそうなのだ。 この2つの式を用いると l=kの場合は なのだし、vl3はlが1から3まで実数なのだから |vl2|^2が逆算できて、 少~しだけ手間が省けるし、δ=0になる非対角要素も これを逆算して さっきよりももうちょっとだけ大掛かりに手間が省けそうだ。 ところで、Σ(λm)=0なのだが、3つではなく実質2つのλで構成された行列指数関数になりはしないかと若干心配だったりする。
予約してたカエデドローンが届きましてね、時々遊んでるんですがなかなか楽しいです。
ドローンなのに、離陸地点の地形を考慮しないといけないあたりがまたチープで楽しいんですわw フローリングだと飛べるのに、じゅうたんとか布団が床だと、摩擦係数が大きくて回転が保てず離陸できないって言うwww 小さなプロペラで本体である大きなプロペラを動かすってどうなの? って最初は思っていましたが、要は飛行機が急旋回してるようなもんだと思えばいいんですよね 飛行機だって羽にプロペラがついてるわけですし、プロペラそのもので揚力を得ているというよりは プロペラで空気中を移動させた羽に揚力を得させているわけだから その飛行機の旋回半径を極限まで小さくしたのがカエデドローンと考えれば、まったく間違っていないです あとはそうですね、小型ドローンにデフォルトで積んでるぐらいの超小型カメラがほしいなぁ ネットだと単独で売ってたりするのかな あれをドローンにつけて、フレームレートを調整して、タケコプカメラーのあの実写MADを再現してみたいです。 (タケコプカメラーで動画検索すると実質1件しかヒットしない) でも気になるのは、小型の動画カメラのfpsがどこまで細かくできるのかですよ カエデドローンはもちろん回転数が変化するので カエデドローン並みのfpsだとサンプル数が少なすぎるんですよね。 モアレというか、ストロボ現象が起きても全然かまわないくらいのfpsがほしいです。 カエデドローンの回転数より1桁くらい大きいといいでしょうか 超小型カメラだと、記録媒体は必然的にマイクロSDになりそうですよね まあそういう、リアル工作は全然ダメなんで、僕に期待されても困るんですけどね^^; まだ飛んでる動画も静止画すら撮影できてないですからねw カメラがないことで逆に考えさせられたんですけど ドローンって実際、カメラがあった場合、保持してる一般大衆としては用途は撮影するだけなんでしょうか?? ところで、ゆゆ式の縁が、冬に風船に雪のっけて浮くか浮かないか実験してるエピソード見て あずまんが大王の春日歩並みの潜在能力を感じたんですが僕だけでしょうか・・・? あの実験、力学的には結構興味あるって言うか、その発想はなかった的なものを感じるんですが ドローンもですね、別に揚力だけを当てにしなくていいと思うんですよね 張力や気球とかの浮力も自由な発想で使っていいと思うんです。 軌道エレベータじゃないですけど、はるかに低空で、しかも張力がごくわずかな場合 個人レベルだとどこまで飛ばしていいのか、航空法とかはどうなるのか カーボンナノチューブだったら飛行機とか鳥とか雲とか真っ二つかもしれませんが そんなに張力を必要としないので、ただの糸だったらどのくらい邪魔になるのかならないのか そもそもどのくらいの高さまで浮かばせられるのか、興味あります。 気球とロープウェイの合体技なんてのも見てみたいですよね あらかじめ気球で浮かせた、斜め(あるいは曲線?多角形?)のロープを、 浮力と質量でトレースする気球とか。 人が乗らないんだから、速く移動する必要もないんですよ。 小型化を犠牲にして、そこそこ小さい質量、小さくない体積だったら、格安ケータイを生贄カメラに使うこともできそうですし
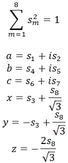
8つのsを、ノルム(2乗和)が1になるように定め、
複素数a,b,cと実数x,y,zを以下のように定義し、 このようなエルミート行列Aを作ったとき、これは特殊ユニタリSU(3)の生成子になります。 この生成子の固有値が以下のような3次方程式で、カルダノの方法を用いて実数λ1、λ2、λ3と求まったとき 固有ベクトルを求める連立方程式は以下のようになり、永年方程式となります。 この連立方程式の変数v1、v2、v3の比は、それぞれの固有値で以下のようになります。 (アスタリスクが掛け算の記号ではなく複素共役を意味することにご注意ください なお、A=a×a*です) また、このように固有ベクトルのノルムが1になるように係数Bを決定することで規格化され ケットベクトル(行列)Pが求まり、これは(一般)ユニタリとなるため エルミート共役P†が逆行列ブラベクトル(行列)そのものとなって便利です。 対角要素が固有値となる行列Jは J=P†AP で求められます このブラケット(固有ベクトル)と固有値を用いて、行列指数関数exp(iA)を作って これが特殊ユニタリである(det(exp(iA))=1)ことを数値計算で確認できました。 exp(iA)=Pexp(iJ)P† ただの(一般)ユニタリUとの違いは ユニタリがabs(det(U))=||U||1であるのに対し 特殊ユニタリSUはdet(SU)=|SU|=1であることです。 特殊ユニタリは、行列式の複素数の絶対値を取らなくても 行列式そのものが実数の1になるのです。 固有ベクトルの解析解がわかったので、あとは行列指数関数まで解析解で突っ走るのみです 鬼のような計算になるのかなあ/^o^\
「ろんぐらいだぁす」が大学生のわけ
なんとなくだけど、 女子が弱虫ペダルみたいなことをするのに、速さを競うガチな大会に出れないのなら、 のんびりした大会に出ることにしようという方向性にしたら、部活という枠組みは苦しいと判断して じゃあマネージャーとかOBが車を出すのは難しいだろう ということで、自分たちが運転できる歳にしなくてはならなくなった。 そんな理由なのかもしれない。 やはり高校生が主人公のアニメに比べて、大学生が主人公のアニメは少ないようだ。 ぱっと思いついたのが「シュタゲ」と「四畳半神話大系」 だったが、ぐぐってみると、見たものだけでも「もやしもん」「のだめ」があり 「名前を聞いたことがある」、あるいは「興味はある」を含めると「ライドバック」「げんしけん」もあり、 「ハチクロ」や「ゴールデンタイム」もそうらしい。 しかしやはり、圧倒的に少ない。 箸が転んでもおかしい年頃の高校生がやはり一番共感が得られやすいと判断したからなのだろう きらら系などは、体型は小学生、実際は高校生、頭の中身も小学生 だったり、体型は小学生、実際は高校生、やってることはプロ顔負け だったり、体型は小学生、実際は社会人、やってることは高校生 というのも少なくない。 多感なお年頃が主人公としてのターゲットなのだろう。 いわれてみれば、シュタゲの主人公は演じているのか素なのかわからないが、「厨二病」の大学生だ。 やはり中学生くらいの多感で痛々しい要素を入れたほうが無難なのかもしれない しかし個人的には、いやもしかしたらこれからは一般大衆的にも、 大学生が主人公のアニメが新しい進化の逃亡先(フロンティア)として注目されるかもしれない。 いや注目されてほしい。 視聴している社会人や大学生は高校生の部活ものを見て癒されると同時に、「絶対に到達できない領域」としての虚しさも同時に味わうのではないか。 それならばいっそ、等身大の、それでいて癒しのあり、「もしかしたら到達できるかも?」という希望をチラつかせながらストーリーを考えるのはどうだろうか? それとも、生殺しみたいでかえって残酷なのだろうか? 社会人・大学生が、ネトゲやSNSを舞台にすれば、どうだろうか。余計生殺しだろうか・・・? 時代は大卒必須から大学院卒必須に移った・・・かどうかはよくわからないが 少子化の波の中、今後移り得るだろうか? それとも多感な時代は変わらないから、相変わらず「高校生が主人公」の需要は圧倒的に絶えないだろうか? 言われてみれば、僕は大学院に行ったことがないので、共感は得られないしSSすら作ることもできない 同様に、視聴者の中には高卒の人が少なくなく、大学を描写したところで共感が得られづらいのかもしれない。まあ今の時代さすがに中卒は少ないほうだろう。 だったら、中卒が今より多かった昔は、高校生よりも中学生が主人公だったのだろうか? というかそのころはまだ娯楽の前例がほとんどなかったのだろう。黎明期前だったのだから。 もし仮に、今後、大学院博士課程の次の枠組みができたらどうなるだろうか というか、どこかの外国みたいに、生涯学生を続けて賃金をもらえる制度はできうるだろうか ロボットに仕事を奪われればあるいは可能かもしれない というか、最近、夏目漱石ぐらいの時代にもニートのような人間はいたらしいが ニートとは今ほど揶揄されなかったと聞いたような気がする。 学生らしい人間は適材適所で、ずっと学生をやっていてもいいのではないだろうか。 というか社会人を目指すべきではないのかもしれない。まあ経験はしてもいいだろう。 1億総活躍社会というのは無理があるどころか構造的欠陥があるのではないか。 そもそも、経済はなぜ存在しているのか 「経済が存在しているがために経済が存在しなければならない」なんてことはないだろうか wikiを見ると、最近はしょっちゅう寄付を募っているが、いつもなんとかなっているように思える。 すべてwikiのようにいかないだろうか 分野にもよるが、wikiの正確さは、人工知能などの発展の加速に似て、止めようとしても歯止めが効かない人類の性のようなものがあるように思える。 そのようにして著作権や競争どころか経済そのものをなんとかできないものか。 個人的には諸悪の根源だと思っている。 このような展開はログホライズンで見た。 一方で、命が生まれたり死んだりということは、たとえ死という概念が滅ぼうとも、 「我々の代わりはいくらでもいる・・・フフフ・・・今後第二第三の”死のようなもの”が現れるだろう」のような感じがする。些細な不平等、というか非対称性がある限り「死のようなもの」からは逃れられないのかもしれない。 しかしながら、進歩の加速はなんとかしてもらいたいものだ。 このままでは人類の群体が望んだだけで、それぞれの個体の誰が望んだわけでもなく、進歩の加速だけが人間離れしてしまうだろう。これが本質的な人間あるいは生物の性とはまだ認めるわけにはいくまい 社会人アニメも増えてほしい。 事務処理的なアニメな。副業でロボットに乗っててもいいけど。 社会人枠となると、どうしてもヒーローや特撮のようになりがちな気がするが もっと地味でいい。それこそきらら系に載るような感じの。 そのような社会人は、どうして学生と違って、オフの時間が寂しいのだろう? 職場の垣根を超えた部活のようなもの、今で言うネトゲやSNSだろうか そういうやつで寂しくなくはできるはずなのに。 そしてそのような描写こそ、アニメ化されるべきなのではないか。 しかし胃が痛くなるような展開は需要がないだろうし そこは「ネトゲ嫁」の主人公年齢をごっそり社会人に持っていった感じの何かがないだろうか。 そうだ、アーマードコアやiモゥドコントロールダンディのようなネトゲはどうだろうか 「俺のiモゥドが嫁じゃないなんて思った?」 そうだな、ゲーム内でロボットを動かすにあたって、あらゆる知識を自分でぐぐるんだ。 ガルパンのようにな!(4シュトリヒとか知ってると簡素MMD自作できるぞ) そして出来たのが「社会人iモゥ道」 全国民にMMDを義務付けるんだ!スターリングのようにな!おっぱいぷるんぷるん!
てっきり「ネタバレを隠す気など毛頭ない」と思っていたんだけど
ラフテルの話を聞いた麦わらの一味は「花のおっさんが言ってたアレ」みたいな風に反応してた。 ってことはネタバレあらすじではなかったわけだ。 クロッカスさんって、クジラのラブーンの中にいた人だよね。 確かグランドライン一歩手前のころだったか。 当時すでに「ラフテル」のことを言っていたのをすっかり忘れていた。 おそらくラブーンのころはまだ欠かさず見ていたはずだ。少なくともアニメは。というかその辺のストーリーは見逃してなかったはずだと思うのに もう昔すぎてラフテルのことを忘れてしまった。 どうして忘れてしまったんだろう。 当時はラフテル≒ラピュタという認識がなかったのだろうか。 ラフテル≒ラピュタの構図があれば、忘れることなどないだろうに。 だって田中真弓さんだよ? 僕は海賊にはならないよ→海賊王に俺はなる だよ? 画像検索すると、クロッカスさんの背後にラフテル見えてるんだよなあ モロにラピュタなんだけど、僕は気づかなかったのだろうか。 というか、ラフテルが浮いてる島だと思い始めたのはいつからだ? 「空島」の登場でなんとも思わなかったのが不思議だ。 |
カレンダー
カテゴリー
最新CM
[08/08 さつ香]
[12/30 buy steroids credit card]
[09/26 Rositawok]
[03/24 hydraTep]
[03/18 Thomaniveigo]
最新記事
(01/01)
(03/19)
(03/18)
(03/18)
(02/23)
(02/14)
(02/12)
(01/03)
(09/23)
(09/23)
(02/11)
(05/30)
(05/28)
(05/28)
(05/27)
最新TB
プロフィール
HN:
量子きのこ
年齢:
44
HP:
性別:
男性
誕生日:
1981/04/04
職業:
WinDOS.N臣T
趣味:
妄想・計算・測定・アニメ
自己紹介:
日記タイトルの頭についてるアルファベットは日記の番号です
26進数を右から読みます 例:H→7番目、XP→15(P)×26+23(X)=413番目。 A=0とする仕様につき一番右の桁はAにできませんのでご了承くださいズコー
ブログ内検索
アーカイブ
最古記事
(05/11)
(05/11)
(05/13)
(05/13)
(05/13)
(05/13)
(05/13)
(05/13)
(05/14)
(05/14)
(05/14)
(05/14)
(05/16)
(05/16)
(05/16)
アクセス解析
|

