|
20080511~
13と7と11の倍数の論理積は13と7と11の積の倍数である。
和ァ・・・
× [PR]上記の広告は3ヶ月以上新規記事投稿のないブログに表示されています。新しい記事を書く事で広告が消えます。
ザマスって神様のポジション的にザマスおばさんのタイプだよね?
って感じで安直に考えられたネーミングセンスすこ ザマスはザマスザマス!(訳:我は神なり) 満身創痍の合体ザマスに、ベジットが戦いながら「今度は泣くのかよ」みたいなツッコミを入れるシリアル キャラとか世界観とかが崩壊したのが知れ渡って久しいドラゴンボールだからこそできるアホみたいなやり取りwwwww あーこの数秒だけはHDDに永久保存ですわ ザマスのネーミングセンスに特に意味がなくても ゴワスのほうはまったく意味がないのもなんだか笑える ある意味、ガルパン的現象っすわ。 ふざけた世界観を全力で楽しむファンの動きがあってこそのコンテンツ 神にまじめなシーンで「ちょんまげ」言わせたのが風化してしまうほどの勢い それにしてもこれまで歴史が長いドラゴンボールと三木眞一郎さんがここにきてようやく対面するってなんか意外性を感じます 本当に今まで出演されてなかったんだなあ っていうか(無能)レギュラー界王神にも名前つけたげてwww まあいいやザマスで。ザマスのモヒカン?をバリカンで沿って日常にしてやりたい今日このごろ 蒲郡「ええええーー!?」 PR
3年E組ゴーストせんせーQ&A
「これが目だと思うでしょう?実は目はここにあるんです」「紛らわしい!」 「じゃ、せんせー、これはなに?」「これは先生の鼻の穴です」「えっ、そこ鼻の穴だったの!?」 「先生はマッハ20で泳ぎます」「でもせんせーって水棲生物でしょ?マッハってそれどこ換算よー?どこ換算よー?」「ええ、水中換算なので、毎秒3万メートルですね」 「せんせーは止まれるの?」「止まっているように見せかけることはできますが、実は止まれません」「せんせーの日常的ソニックブームで水中ヤバい!」 「せんせーは超音波ソナーを使うの?」「はい」「でも、意味ないですよね?」「はい・・・ちょっとやってみたかっただけなんです!こんなことになるとは思いもしなかったんです!」 「せんせー、生物は死んだらどうなるの?」「ほぼほぼ、直後にその場で生き返ります」「じゃあ、俺も、俺たちも、ころせんせーだ!」 「じゃあせんせーの前の職業って何か意味があったの?」「まったくもってありません・・・」「よく教師になるとき、内定決まったよね・・・よかったねせんせー」「はい、そのころはまだ、殺し屋=ニートっていう概念がまだ浸透してなかったので助かりました」 今朝2度寝したときに考えていた妄想を思い出したんですよ 人力アシストバイクなるものを発明し、自分の体力を4~5人に分散するシステムで登山を行う
一緒に考えてみようや\PON/
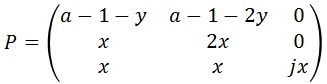
まずは、2次元(平面)同士の図形の変換「拡大・縮小」に、「平行移動」を合わせるためのダミー次元を加えた、3行3列の行列で考えてみることにしよう。 Aというアフィン変換が、以下のようにx、y軸共通の縮尺aと、x、y軸それぞれの平行移動の値x、yで定義されているとすると、 固有値λはλ=aが2つと、λ=1が1つとなるので、 対角化された行列すなわちジョルダン細胞は以下のようになる。 僕はまだ不慣れなので、nとmに0が入るか1が入るかは試行錯誤で判断している。ほかの数が入ることはない。 対角化のための行列(ブラ・ケット)Pを以下のように定義すると AP=PJが恒等的に成り立つためには n=m=0で、 d=g=0である必要があり(a≠1である限り) bx+ey=(a-1)h cx+fy=(a-1)i を満たす必要がある。 簡単のため、h=i=e=1、f=2とすると(f=1にしなかったのは、1列目と2列目を線形従属にしないため) bx=cx=(a-1-y) であることが要求されるため、 Pは または、全体にxをかけて あるいは、簡単のためj=2を代入して(j=1にしなかったのは、一番下の行を線形従属にしないため) このように定義して、対角化を行ってもいい。 なお、nかmどちらかもしくは両方が1だった場合、自己矛盾が起こることを確かめてみよう。 ここで、Pの行列式と逆行列を求めてみることにすると 行列式 逆行列 対角化を確かめてみると 対角化の逆算で、アフィン変換Aをn回連続で行った結果を求めると このようになることがわかる。 a、x、yに適当な数値か文字を入れて、n=2やn=-1とかで試してみるといい。 しかしながら、この対角化は、a=1の結果については教えてくれない。 と思うかもしれないが、実は a=1でも問題なくなってしまって ともあれ、結果は出せたが、途中経過でバグるので、そのための対策として a=1の場合のジョルダン標準形を考える、という言い訳を作る。
量子コンピュータを究極的に考えると、エントロピーが演算ごとに増加しないらしい。
もし、QBがエントロピーの増加を危惧するのであれば、この宇宙の宇宙人全部を、究極の量子コンピュータの中にぶっこめばいいとかいう発想になりそう。 しかしながら、現状ではあくまで理想を斜め上に見上げる状態である。 現実のコンピュータは、演算で基本的に生じる熱の他にも、色々な要因で発生する廃熱処理がまだまだで、はるかかなたの高みである。 もしかしたら、今の娯楽の問題も同様かもしれない。 僕には、脚本家が、QBの言葉を借りて、「アニメ量産して数打ちゃ当たるでやってたら将来、娯楽的資源が枯渇してやばいよ」 といっているようにも聞こえたが もしかしたら、その前にもまだまだ問題が山積しているのかもしれない。 「娯楽的資源」とか「アニメ資源 枯渇」とか「収穫加速の法則 アニメ」とか「ムーアの法則 アニメ」とかでググってもいまいちヒットしないのは、もしかしたらそういう、僕の見当はずれのせいかもしれない。 まだまだ、実は試していない方法があって、それが開拓されれば新しくて面白いアニメを作れる伸びしろが、もしかしたら十分にあるのかもしれない。 これはここで言っただろうか? 「まどかマギカ」でも思ったが、「電波教師」でも思ったことがある。 収穫加速を引き起こすのが、人間の群体である超個体によるものなら 超個体を制御することで、収穫加速の法則を鈍らせることはできないだろうかと。 なぜ電波教師でそう思ったのかというと 主人公が新しいことを求めているように見えて、作品はなぜか、なんとなく一昔古いイメージだったからだ しかし、アニメが終わった際のコメントは、「思ったほど悪くなかった」だった。 これがお世辞なのか本音なのかはよくわからないが もし本当に、作者や編集部たちが収穫加速を鈍らせようとしてこの作品を作ったのだとしたら、評価に値るすると思っている。 アニメの中でも、主人公が時々「ブーメラン発言」といっている。 この作品に対する視聴者の目がまさしくブーメランなのに、主人公はあえてその言葉を使ったのではないだろうか。 だったら、あえて、ちょっと昔臭い作戦を行っている可能性は低くないのではないかと、まあ単純にそう思ったんだ。
たとえば、確率を制御できたとして、それを認識できる方法はあるのかないのか
場合の数自体が書き変えられるのだから もはや物理というより論理の書き変えだろうと思う。 論理はおそらく物理よりずっと広い領域を占めている。 物理についても、一般・特殊相対論が成り立つ領域はごく狭い。 いわゆる宇宙の果てといわれる領域の外にも何かはあるのだろうが、その先を知ることはできないどころか、宇宙の果ては2重構造になっていると、現在の学問では言われていて 内側の宇宙の果ての向こう側すら我々には観測できないというのに 外側の宇宙の果てのことまで人間は想像することができてしまう。 また、そのさらに外側には、どういうわけか「無」という、真空に割りと似たような感じの状態があるらしくそこでは相対論は成り立っていなくても、量子力学は成り立っている可能性があるようだ。 しかし、論理はそんな範疇に収まるものではない。 マルチバースと多世界解釈が異なる宇宙を作りだしているとしても、そのどちらとも違う、人間の空想やシミュレーションの生み出したフィクションという宇宙が存在し、 人間には難しいが、フィクションにも突き詰めれば論理は介在する。 その、論理について我々が知っていることはあまりに少ない。 物理法則を書き変えることはかろうじて考えることができても 論理構造を書き変えることはまだ想像すらできないのが現状だろう。 たとえるなら、そうだな ほかの惑星の気象状況、もしくはこの地球でもいい、どの国にも普遍的に成り立つ「定性的な」気象状況を説明してみろといわれて想像できる人は限られるだろう 日本には日本の、アメリカにはアメリカの、ヨーロッパにはヨーロッパの気象、と場合分けするのが現状で、 この世界中の気象状況を定性的にいっぺんに理解し、説明するくらいの想像力が少なくともないと、到底、論理構造を書き変えたあとのことなど想像できまい。 だから、フィクションは、読者のデバッグに作家が悩むのだ。 ======== ところで 過去が変わって現在も変わってしまうとしたら、タイムマシンを作ったことを証明できない証明になってしまわないだろうか シュタゲにおいて、過去改変が意味を成すのは、リーディングシュタイナーという謎の能力、あるいは病を持った者だけだ。 逆に言えば、リーディングシュタイナーを持っているだけで、無自覚な歴史改変実験に巻き込まれてしまうということがありえる。 ここで、その「リーディングシュタイナー」という能力がもしなかったらと考えてみよう タイムマシンを作って歴史を改変するまでは成功したとする。 しかし、歴史改変をしたとたん、それまでの歴史も含めて世界そのものが改変されてしまう だとしたら、これほど巧みな証拠隠滅方法もなかなかないだろう。宇宙はシャイな割りに、結構イカサマをするのが好きだな。究極のタダ飯(究極の無銭飲食・究極のキセルなど)で育ったとか、大物としかいいようがないのになぜこうもシャイなんだ つまり、我々は、いつまでたっても、タイムマシンを作った、という結果に気づけないのだ。 まあなんというか、Q.タイムマシンはなぜできないか?A.そういうものだからだ になりかねない。 そういう意味では、Q.量子暗号はなぜ破られない?A.そういうものだからだ といっている感じに近いかもしれない。いやもちろん、詳しく説明すれば理解はするのだろうが。 Q.宇宙人はなぜいない?A.そういうものだからだ 眠くなってきた
昨日言い忘れたんだけど
デュラハンの頭には口がある。 必要か不要かは別にして、口がある。 これが入口なのだとしたら、出口は切れた首の断面に相当する。当然の話だ。 デュラハンの描写として典型的なものの一つに 首のつながっていないデュラハンの食べたものがいつの間にか胴体に回っている という描写がある。 だとすると、デュラハンを首の下から撫でた(ごろにゃーごした)場合、デュラハンはどのように感じるのだろうか また、押したり、あるいは「穴を開けたり」する行為ができるとするならいったいどうなってしまうのか。 たとえばこんな描写がある。 大事な臓器を別の場所に避難させておくという描写。 そして、その避難させて安全なはずの臓器が、敵の手中にあるという描写。 しかし、ここで「臓器の退避」について、今一度考え直さなくてはいけない。 どのように退避させているのか、それ次第で、「臓器の退避」は退避足り得なくなってしまうだろう まず1つのパターン ワームホール的なものでつながっている場合 胃がブラジルに退避させられていて、本人が日本にいて、 退避させた胃がブラジルで人質にあっている場合を想定する。 胃は何か、テレポート技術的なフィールドでおおわれているような描写がテンプレだろうが そのフィールドの外側から何か槍のようなもので刺した場合 本当にその槍は胃に刺さるものなのか フィールドを通じてテレポートしているのだとしたら、フィールドの外側から胃に槍を差し込んだら、日本にいる本体の胃に相当する場所を経て、ブラジルの胃のフィールドの反対側から戻ってきてしまうのではないか 同様に、日本にいる本人が何か胃に支障をきたして胃カメラをするとする。 そしたら胃に到着した胃カメラはどこにいくのだろう? フィールドを通じて一時的に、胃カメラの先端だけブラジルにいくべきではないだろうか? そして胃を抜けたら日本に戻ってくるのではないか その点、無線通信でつながっている首と胴体の場合は異なり、より現実的なものの見方ができるだろう 頭部に脳がなく、神経の束のようなものがあって、頭部に集中している感覚器官を半自律的にまとめて指揮を取っているとしよう その場合、口には「栄養を摂取する」という役割がなくなり 味覚を感じるセンサーだけが重要な、出口のない入口だけの存在になるのではないか。 しかし、それでも首に出口がほしいと訴えるのであれば、それもまたよし。 その場合は、「首の断面での触覚」が必要となるだろう 断面をくすぐったら当然笑ってしまうわけだ。 胴体側だろうが頭部側だろうが、触覚が必要になるのは同じで、どちらからくすぐっても、デュラハンロボはくすぐったくて笑ってしまうと推測される。 しかしながら、それでいて首の断面に出口があるのであれば、少々気味の悪い感触が必要かもしれない。 が、それでもなお入口と出口があるのであれば、デュラハンロボの口から紐を入れて断面から出し、輪っかにして結んで「頭部持ち歩き用」のストラップは可能となってしまうだろう。 もしかしたらデュラハンロボとしてはかなり気色の悪い感覚になるにかもしれない。 危険そうなのであれば気色の悪い感覚を実装するべきであり、危険でないなら気味の悪い感覚は必要ないのだと思う
「充電ちゃん」って作品になんかやたらと現れていた描写
「見えるのに触れない」ではなく「見えないのに触れる」現象 これが実際に起こりうるのかは別として、 光学迷彩を可視光以外の領域の電磁波に広げたらどうなるか ぶっちゃけ、原子の中の原子核はとても小さく、原子はすっかすかなので もし可能なら、「見えもしないし触れもしない」いわばニュートリノのような物質であふれかえることにならないだろうか もし仮に、何か条件付けを行うことで、「見える・触れる」物体と「見えない・触れない」物体をグループ分けできたとしよう そしたらグルーピングしたもの同士の物質構造は保たれる。 しかし、グループAとグループBはほとんど、いや皆無と言っていいほどに見えないし触れないし 空間共有すらできるかもしれない こんなことが、ほぼほぼ電磁気力の範疇だけで行えてしまう。 もしこれが、ほかの相互作用「重力」「弱い」「強い」でもできるようになったらと思うと・・・ いやしかし、我々は運がいいのか悪いのか、たった4種類しかサンプルの持ち合わせがない。 あるいは、このたった4種類ですら苦労しまくってるから、これ以上なくてせめてよかったのかもしれない でも統一屋としては、何かしらの糸口として、もう少しデータがほしかったのではなかろうか まあそれはいいとして、 電磁気迷彩を行った服は、着たそばからすり抜けられてしまう。 しかし、この服にほつれがあったり、あるいは顔だけチャックを外している最中とかだった場合、どのようなことになるのだろうか 想像するのも厄介なことになるのは目に見えてわかる。 これは何か示唆的な、解かれるべきパラドックスなのか 前提が間違っているのだろうか。 たとえば迷彩の方法。 暗に、「投影」ではないと言っているようなものだ。 じゃあ、次元の問題だろうか ブラックホールやワームホールを、3次元空間に浮かぶ2次元の穴として表現するからおかしなことになるのだ、とかそういうたぐいのアレだろうか? それとも、すり抜ける機能を「上から着る」ことに発端があるのだろうか しらん まあそれはいいとして とにかくなんとかしてデュラハンを実現してだな たとえばアナログでもデジタルでもいいから、無線でつながっている頭と首から下、あるいは胴体と手足とかがあって そいつらが「定期的に通信を遮断される前提」で設計されているとしたら だとしたら、何かしら頭脳的なものは胴体に置かれるべきではないのか 百歩譲って頭部に脳があるとする。 でも神経の束のようなものは少なくとも胴体にないとおかしい。 それか、頭は脳が入る場所というより、五感のセンサーがわりと集結した器官と捉えたほうがいいかもしれない それで、通信が遮断されても、頭部は頭部だけで自立的にある程度行動できないといけないだろう たとえば頭部だけ木星付近にいて、首から下全部が地球にいたとしたら まともに通信できたって光速の壁のせいでタイムラグが生じる もし、胴体に神経の束でなくて脳があっても、今度は頭部のほうに神経の束を用意しなきゃいけなくなる。頭部だけ自律した行動を取れるようにするためだ そういう意味では、昆虫なんかは元から体の各所に神経の束があるから 昆虫だったら手足を無線にしやすいかもしれない というか、あいつら超個体なんだし 個体同士が無線通信しててもおかしくなさそうなんだよな で、結局超個体と個体の違いはなんなん? 人間は町や政令指定都市や銀河と会話できるん? 逆に、内臓との会話はいつできるようになるん?勝手に内臓逃げてかない?保証する? がん細胞と宿主がケンカ別れして逃げ出してくれたらすごく助かるんだけど
図書館に行くともしかしたら置いてあるかもしれません
「冷蔵庫と宇宙」という物理の本。 僕はまだ読んだことはないのですが、おそらくエントロピー的な話だと思います。 たぶん宇宙論・相対論・熱力学を合わせたような話で 「時間の矢」についてエントロピー増大の法則の観点から考える読み物と推測されます。 BTTFがなぜ「冷蔵庫」を取りやめたのか、それは「映像として動きがない」ことと「子供が真似したら危ない」かららしいのですが 子供がタイムマシンな冷蔵庫に入って何が危ないのかといいますと 「生まれる前の状態まで戻される」のが危ないと思っているのは僕だけでいいと思います。 また、確か「涼宮ハルヒ」シリーズの朝比奈さんと長門さんとのやり取りで 「時間そのものを停止・または逆行させる」ことと「異なる時間を行き来する」こととは 難易度のレベルがケタ違いである みたいのがあった気がします。 長門さんは朝比奈さんの上位互換的な感じがあるので タイムトラベラー朝比奈さんでもできない「時間そのものの停止や逆行」は、宇宙人である長門さんならできる可能性があるわけです。 つまり、タイム風呂敷の難易度は、タイムマシンよりもはるかにハイレベルだということです ところで、 シュタインズ・ゲートに出てくる電話レンジやタイムリープマシンが ドラえもんの道具「出前電話」や「もしもボックス」に近いことはあまり知名度がないようです 世界線のレールを、ほとんど手動で逐一切り替えているのがシュタインズ・ゲートなのです それも、ずっとレールに乗ったまま、レールを切り替えているのです レール外れなきゃ見えてこない景色がある~♪(ガタンゴトーン シンカンセーン) ========= そういえば昨日の朝の二度寝時に見た夢がもう1つあったのですが 地元の山にロープウェイがありまして もちろん下には徒歩や車用の登山道があるわけなんですが 冬は雪が積もって危ないので、原則的には車の通行を規制しているんです。 それでも、山頂には結構大事な建物が稼働し続けており もしものためにと、冬でも徒歩登山ぐらいなら可能なんだそうです。 あまり高くない山だからこそできる芸当で、 自殺以外で遭難するなんて事象がほとんどないらしいです。 そのロープウェイが、夢では登りはロープをつたって登っていたのに 下りはロープを離れてドローンとして降りていく夢を見たんです。 といっても、観光客用のメインのロープウェイではなく 予備のロープウェイというのが夢にはありまして 機材運搬用のものらしいです。 何度もロープウェイで山に登っている設定の僕は 時々、その無人ロープウェイの物資輸送を見ているわけですが いつの間にか下りがドローン飛行になっていることに気づき 「あれコスパとしてどうなんだろう?」と考えているんです。 きっとこれも、アクティヴレイドの機動強襲車両が巨大ドローンで空を飛んだ衝撃のせいだと思います そういえばいつだったかな、昨日だったかおとといだったか おとといじゃないと時系列的におかしい気もするんですが 午後の仕事で歩いている最中にヘリコプターを見かけましてね。自衛隊のちょっとデカめのやつです 「あ、ツインテールだ・・・」とつぶやいてはっと気づいたんです。 ツインテールが蟹歩きで飛んでるんです。オスプレイは前を向いて歩きますが。 あずまんがのちよちゃんに寄生しているツインテールたちがどちらも右回りで回ったら ちよちゃんは空中で左旋回をし続けなければならなくなりますよね。 いやそんなことはどうでもいい モノテールのヘリコプターがすでにドクターヘリとして採用されていることが問題なのです 以前、大学入試問題にタケコプターが題材として出たらしいですが(そのころはまだモノテールのドクターヘリはなかった) 回答者の一部に、ドクターヘリのようなモノテールを答案用紙に描いて、バツを食らった人はいなかったのだろうかと心配になったのです そのような訴訟がなければいいのですが・・・ 妄想大学 |
カレンダー
カテゴリー
最新CM
[08/08 さつ香]
[12/30 buy steroids credit card]
[09/26 Rositawok]
[03/24 hydraTep]
[03/18 Thomaniveigo]
最新記事
(01/01)
(03/19)
(03/18)
(03/18)
(02/23)
(02/14)
(02/12)
(01/03)
(09/23)
(09/23)
(02/11)
(05/30)
(05/28)
(05/28)
(05/27)
最新TB
プロフィール
HN:
量子きのこ
年齢:
44
HP:
性別:
男性
誕生日:
1981/04/04
職業:
WinDOS.N臣T
趣味:
妄想・計算・測定・アニメ
自己紹介:
日記タイトルの頭についてるアルファベットは日記の番号です
26進数を右から読みます 例:H→7番目、XP→15(P)×26+23(X)=413番目。 A=0とする仕様につき一番右の桁はAにできませんのでご了承くださいズコー
ブログ内検索
アーカイブ
最古記事
(05/11)
(05/11)
(05/13)
(05/13)
(05/13)
(05/13)
(05/13)
(05/13)
(05/14)
(05/14)
(05/14)
(05/14)
(05/16)
(05/16)
(05/16)
アクセス解析
|

