|
20080511~
13と7と11の倍数の論理積は13と7と11の積の倍数である。
和ァ・・・
× [PR]上記の広告は3ヶ月以上新規記事投稿のないブログに表示されています。新しい記事を書く事で広告が消えます。
今朝はですね、歯医者に行ったんです。
いきなりひどい藪歯科でした。 麻酔を使わず催眠術で鎮痛する人で、どう見ても外科手術にしか見えない 頬を突き破って口腔内の見晴らしをよくしてから手術するとか言うひどいもので 当然途中で逃げ出しました。 でもその藪歯科、変なところに金を回すんですね 途中で逃げ出した患者に対するいやがらせ部隊を雇ってるんですよ。 色々嫌なことをされましたが、一番印象に残っているのは アパートに帰宅した後、台所にコンドームでできた呪いの人形がいて 僕の代わりに皿洗いしてたことです。 ちょっと藪歯科の視野の狭さがかわいそうに思えてきたので こっちから脅迫に出向いてあげたら、案外素直に更正してくれまして、今ではまともな歯医者になってます。 いやがらせ部隊も、いきなり解散させられたら仕事がないといっていたので 資格を取らせて整形させ、歯医者の従業員になってもらいました。 ここで、問題はコンドームでできた呪いの人形です。 呪いといっても、「ただ立ってそこにいるだけ」「何かしら作業するだけ」としか命令を受けておらず おそらく「どこの馬の骨ともわからない精子を触った膜で手作業されるだけでも迷惑」とでも思ったのでしょう、手を洗えば割ときれいなものです。 困ったのは、このコンドーム人形に軽く自我が芽生えてしまったことです。 呪いをかけた本人にもこればっかりは相談できそうになかったので コンドームさん本人と、「なぜ君はそこにいるのか」などと 身寄りのないという弱みを握ったまま哲学的いじめを交えながら相談し 僕の彼女になってもらいました。^^ 実は彼女、ほかの物体と合体しまくることで本体の体積が増加するようで とりあえずシーツとかぬいぐるみとかをかぶせると、人並みの大きさで人並みの家事手伝いができることがわかりました。 ただ、声だけはコンドーム本体から出すようにお願いしたまま、 バイトで稼がせた金でフィギュアっぽいドールを買い コンドーム本体を女性器に取り付けることで エッチする際に「面白いところから声が聞こえる」状態にしてみました。^^b ワイ、まさに外道! ========= 数学検定が終わってホッとしているのもあると思うんですが 数学検定本番の「起きている時間・活動量」が平日のそれと大きく異なっていたんでしょうね 自分でも気づかないうちによほどインスパイアされてたみたいで 疲れました じゃなくて、翌日から浅い眠りのときの夢にはっきり出るくらい、衝撃だったみたいです 睡眠薬を飲んでいるので夜の眠りで夢を覚えていることはほとんどなくなりましたが 朝4時に起きて仕事から帰ってきたあと、朝ごはんまでの間に寝る浅い眠りの間の夢が、昨日に引き続きすさまじいです。 昨日書いたのは願望じゃなくて結果のほうの夢です。 起きてるときに見る夢じゃなくて、寝言を言う方の夢だったってことです。 まあ、ブログにアップした時点でだいぶ着色<CHAkushoku>はしてますけどね PR
PCの調子が悪いんで、復元ポイントまでタイム風呂敷をかけようとしたら、アンカーが1つもなくて、購入時まで戻さなきゃならなくなったんですよ。
大事なデータは外付けに入れてあるので、まあいいかと思ってエイヤって戻したら、 なぜか壁紙とか文字変換とかそういうのは無駄に残ってるんですよね。 PC買ったときによく作成しましたよね。自室のリアル家具とかの3D配置を精密に記録する壁紙。 3Dスクロール+ズームが可能で、スクリーンセーバ状態のときは、ウロウロ部屋を物色して回るモードになる、ストリートビューのはしりみたいなアレのことです。 PC買った当時の部屋の模様とかが出てきて、懐かしかったなあ。 もっとマメに復元ポイント設置してれば、自室オンリーのタイムマシンになったのに。 その点、ストリートビューはプライバシーがあるから、アトラクタフィールドのざっくりした部分で過去を見れても、人間一人一人の世界線レベルではまるで役に立ちません。 ストリートビューで思い出したんですが、ネット環境がね、古い設定のままなので、散々なんですよ。ピーヒョロロロロデーンデーンデーン そんなわけでPCよりははるかに最近買ったKindleを開いたら、偶然、こっちの調子もよくない。 ダウングレードも兼ねて、購入時の状態まで風呂敷かけたら、ハードウェアまで変わっちゃってびっくり。 小さなテープレコーダーみたいのが出てきて、さっきと同じようにピーヒョロロロロデーンデーンデーン またですか。 仕方がないのでKindleでPCのネット回線を繋ぎました。朝比奈さんには内緒です。 時間を行き来するのと、時間そのものをどうこうするのは全然レベルの違う話ですからね タイム風呂敷の原理はですね、特殊な熱源、あるいは冷蔵庫とかエアコンとか、レンジのようなものだと考えてください。絶対零度をはるかに下回る冷蔵装置です
ろんぐらいだぁすEDが終わるたびに一輪車!って叫ぶ管理人ですこんにちは。
平沢唯みたいな人と秋山澪みたいな人が出てきて あと高良みゆきみたいな人も出てきて CMやってる人は~東・・・なんだっけ? 唯みたいな人東山さんかよぉ~!CMの人主役じゃないんかーいって思って あの金髪ツインテールの子はええと・・・ああ大久保さんだ。なんなん?の人だw だから貧乳キャラなのか~よーし「ひん」って覚えるぞー そういや東山さんと大久保さんって僕の中ではニアミスってるイメージ。 ゆるゆり→ゆゆ式→きんモザ→(てさぐれ)ってきて、共演してないんだよなぁ僕の中だと。 で、今日。 そっちが日笠さんかーい! そういえばですね、ぼく アクエリオン1期からまともに見てない組なんですけど 3期のOPがAKINOさんじゃないなんて発想がそもそもなくて アクティヴレイドOP差し替えが当然あるはずだと思ってたんですよ。 でもない。なぜか 合わせようとしたけど結局合わなかったんじゃないかって思いこんでたんですよ。 そしたらある日、アクエリオンロゴスの主題歌をAKINOさんが歌ってないことを知りまして 「ああ~だから差し替えが2期までなのか~」って。 AKINOサンルラギッチャッタカー って違うよね。これ裏切ったって表現しないよね。 ロゴスインシデントがどーん! ======== ところで、僕は今まであまりゲームというものに触れてこなかったせいか ゲーム音楽というものに、「懐かしさ」と「新しさ」と「トラウマ」という全然方向性の違う印象がありまして 以前、デスクトップミュージックみたいなマクロをExcelVBAで作った時に思ったんですが 単音だと「新鮮」に感じるんですが、3和音くらいだと「トラウマ」を感じるらしいです。 おそらく、幼少期に遊んだ当時のゲームには、たかだか単音よりも何かしらの和音のほうが含まれていた割合が高かったんだと思います。 ハマると人間性を欠くくらいに熱中するんで怖くてあまりゲームをしないっていう意味もあって ブロック崩しとか、指が痛くなるまでやって、でもへたくそだからあんまり上達しなくて それなのに夢中になるから、はっと目が覚めると虚しくなるんですよ。 その虚しさがとても嫌だったんです。 それと、8bitの音色とか、ドット絵の粗さとかが、まるで「手の届く範囲に量子の世界がある」みたいな世界の狭さを感じて、怖かったんです。 PCに関しても同様で、DOSVの世界とか嫌でしたねー windowsが助けてくれたようなもんです。 そんなこんなで、ファミコン世代のゲームに複雑な思いがあったんですけど 今でもニコ動とかで、midiやチップチューンとか、そういうタグでアニソンをアレンジしたやつを聞くのが結構好きで、きっと「なつかしさ」と「あたらしさ」両方を味わってるんだろうなーって。 世代のせいなのかなんなのか、プログラミングとかのポリシーもどことなく時代遅れのままでして 「読みやすいコード」か「トリッキーなコード」かどちらか選ぶなら迷わず「トリッキー」なほうを選んじゃうんですよね 「ステラのまほう」を何回もループして見てます。たぶん、「日常アニメ」以上の何かを感じているんだと思います。 ドット絵に限らず、絵は描けない方ですが、アニメOPにドット絵が出てくるとなんか嬉しいです というかあまり触れたことすらないので、なつかしさよりもあたらしさのほうが強いかもしれません。 ああ、それでですね、プログラミングも、容量を減らすっていうのが割りと個人的にはいまだに好きで、 アニメのOPをいかに容量少なく実現できるかあれこれ妄想するのは好きです。 もはや意味ないですけど。 ごちうさ勢には技術を持ったhentaiさんたちがたくさんいらっしゃるみたいで ドット絵職人だったり フーリエ変換職人だったり。 OPが声ごとフーリエ変換されてDTMツールになってるのを見るのは楽しいですね 「演奏してみろ」タグついてますし^^ そういう、フーリエ変換だとか、あるいはチップチューンとUTAUだったりとかで 容量を削ってるOPって正直ほれぼれします。 限界まで容量を削って、聞こえるかどうか、見えるかどうかのギリギリのラインで頑張ってる人が見たいです。 FDに収まったら索敵ですよね。 あるいは容量の関係上、ファミコンに入れても動作したら最高です! ファミコンのシステムで作ったパソコンでも可です。 ドット絵も、あわよくばアスキーアートアニメーションで表せたらそっちのほうがいいかな このAA、もうほとんど失われた技術になりかけてますし 今のニコ動の職人とも使ってる技術は異なると思いますが フリーツールで作れるAAはしょせん機械の作ったものなんですよね。画像認識程度の。 これを、「センスある人間が最適なAAで作った」風にAIが進歩してくれたら と思いますが、おそらくそんな方向にはあまり向かないでしょうね・・・ あと、作画崩壊を指摘できるAI これはなかなか難しいんじゃないでしょうか。作画崩壊の定義をAIに伝えられるかどうかが僕にはさっぱりわからないです 「いい宣伝MAD」を判別してくれるAIも難しいんじゃないかと思うんですよね。 まあもちろん、コメントとかの情報から取るのもアリなんですが 映像そのものを評価するAIはまだまだ先になりそうですよね チップチューンで表現したアニソンにSEを入れたらどうなるでしょうか。 やっぱり聞き分けづらいのかなあ もちろん、SEもチップチューン風に入れて、元データが小さくなるように努めたとして、ですよ
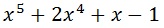
素因数分解と因数分解のように
ユークリッドの互除法を多項式でやる方法もあるのではないかとググってみたら 「最大公約式」というものを見つけまして。 最大公約数の多項式バージョンです。 大きい数のように、次数の大きな多項式同士の場合の、共通因子を見つけるための手段なんですが たとえば、 と に共通する因子を見つけたいときは、ユークリッドの互除法が数と同じように使えるんです。 ためしに、 このように、余りがゼロであることがわかりますし、ついでに因数分解もできちゃいます。 ここまで次数を下げられれば、2つの元の多項式を方程式として見たときも、すぐに解が求まりますね おわかりかと思いますが、2つの多項式に共通因子がなければ、つまり互いに素であれば 余りがゼロになるまで続いた割り算の割る数は「1」になります。1という多項式です。
タイトルからお察し。
メタメタしいゲームを作ると評判の同人倶楽部「死んだ魚の目日照不足世界線団」 のおっさんたちが変身してウィルウェアを装着し、ライダー少女になるお話。 (ただし1人は無人のウィルウェアで、中の人はアプリ。これ絶対はいってるよね) 同人活動の目的は、生物すべてをライダー少女にして世界平和を目指すこと。 色々いざこざはあったものの18歳までになんとか内輪もめと世界征服が解決し ライダー少女を卒業するころにはめでたく世会人として起業を始め、2期の放送が決定する。 ただし原作者は別の人。 2期は死んだ魚の目日照不足世界船団として、舞台である溝の口が宇宙進出する。 なんかこうシャカイ系とセカイ系の雑なところだけ見事に引き継いだ物語である。ギュイイイイン! カマンダモン、ジョブレス進化ー!カマングラモン
天候に左右される職業柄、結構天気には敏感です。
たぶん片頭痛持ちって、全然別方面からの理由もあると思いますが、やはり雨天中で仕事をするのは嫌なので、精神的に来るものがあります。 ここ数日ですね、妙な天気が続いてまして。 普通、天気予報って、最悪を想定した感じの、ちょっと下方修正気味な予報を出すんじゃないかと思うんですが それでこのザマですよ。 当日中の予報が晴れなのに、突然の大雨ですよ。 まあ時間は短かったので、3時間区切りの予報としては痛くもかゆくもないのかもしれませんが いったいどうしたんですか ここ2,3日連続で予報に裏切られてる気がするのですが。 こういうとき、僕は「不安定」という言葉を思い出します。 実はちょっと気象をカジったことがあって、「安定度」という概念が式つきであるらしいのです。 気象の他にもロボットの制御や電磁気にも安定度があったような どれも同じような定義なのでしょうか ああ、そういえば電気回路、増幅器のアンプにも安定度ってありましたね。 こいつらどんな式してんだろう。みんな同じ顔してんのかなー 浮かんではすぐ闇から闇に忘れ去られて行きます。 ログを残した記念に、もしかしたらググるかもしれません 夏と秋はどっちが不安定なんでしょうか
ブール代数やベン図などが、どのような形で応用されているのか、実はよくわかっていなかった
場合の数や確率に、これほどまでにしっくりくる概念だと知ったのはここ2週間くらいだった 数学で言うところの∧とか∩とか∨とか∪とかにいまだに慣れない。 というか解せない。 まあ、・と+と-に統一しろとまではさすがに言わないが どうして&や|が使われている中で、∩や∧や∪や∨が生き残っているのかよくわからない 見慣れない記号は、黒板やページ内に存在しているだけで、とっつきにくいという害を与える また、見おぼえがあっても読めないことで、壁を作ってしまう読者も多かろう 記号や文字が変わっただけで解けなくなる人材もよくないっちゃ確かによくないが 記号が乱立している現状が悪くはないかといわれれば、やっぱり悪いのではないかと思う なんですか?これ よけいな記号はさっさと収納されてしまえ! ちなみに僕はギリシャ文字のξを書けないので、「そ」と書くことにしている。 (起こす際はちゃんとξに戻す。半角や全角が本来あるべきところにないと、正直結構イラつくタイプで、でも、そういうのがちょっと多いだけで片付けるのを諦めてしまうんだ) あとダジャレは好きなほうだ。ああ臭いん移項るまいなす具材えっくすとかよくいう。 Ψとφは描き分けられないので、F1とかF2とかにしたりする。 カイなんか使われた日には結構ムシャクシャする。 いまだに、集合Aの元の数をn(A)とか書かずにそのままAと書いてしまう 反粒子とか複素共役とかも、検索窓みたいに -uクォークとかにできねーかなーと思ったりするけど、それだと検索窓でどう表現したらいいか困る皮肉があるんですね ああそうだそういえば、数式エディタで-Aをまだ試してなかった。ちゃんと上にバーついてくれるだろうか。A^3やA_3は予想通りうまくいった。もしかしたら~Aかもしれない。っていうか-Aで変換されたらたまったもんじゃないなw
もしかしたら、アニメの納期が間に合わない社会というのは、健全な社会のありかたなのかもしれない
アニメの分野にも押し寄せている、収穫加速の法則。 需要側も供給側も、誰が望んだわけでもないのに、群体としての人類が1クールごとのアニメの本数を勝手に多くしている現在、 納期が遅れて間に合わないという現象は起きるべくして起きた事態なのかもしれない。 かといって、これに懲りてアニメの加速を自重するかというと、できたら苦労しないのかもしれない なのであれば、もう無理はせず、納期に間に合わなかったアニメは平然と遅らせる このスタイルを貫いてみてはどうだろうか これによって収穫加速の法則が鈍り始めるのであればそれでもいいし 加速が鈍らなくても、1クールの結末(オチ)がちゃんとつけられるノウハウさえ揃っていれば 視聴者側も特に文句は言わないかもしれない 視聴者側だって、多すぎてお腹いっぱいの状態なのだから、 延期したのであれば大概の誰しもが、内心「今週は休みか^~」と、安心しているのではないだろうか ただし、さっきも言ったが、この遅延のせいで、結末に影響が出るようなことは避けたほうがいいだろう。 しかし、ノウハウが揃っていない今の状況では、ある程度多めに見たほうがいいかもしれない。 それこそ、CGアニメの発展途上時代のようにだ。 では、ほかの分野についてはどうなるだろうか たとえば、宿題の期限に間に合わなかったら平然と開き直っていいのか? そのようなスタンスの子供たちがそのまま大人になっていいのか? これについては考慮の余地はあるだろうが もしかしたら、これらも収穫加速の法則の汎用性を考えると むしろ開き直る時代の転換期なのではないか ・無理な締め切りは破るもの ただし ・オチはちゃんとつける こういうスタイルのほうが、もしかしたら現代には適しているのかもしれない あと、破った締め切りに対して、合理的な言い訳を添付する義務 というのが必要かもしれない
ゴジラ「ちゃかちゃんちゃんちゃんちゃん、はい覚えて帰ってくださいねー」
ゴジラ「なにいってんだっつって。ショートケーキ」 ゴジラ「おえええええ。4D酔いした。自分で出した一酸化中毒で死ぬとこだった」 ゴジラ「なにいってんだ、化学反応じゃないだろう。大丈夫か?」 ゴジラ「さするんじゃねえ!ケガしてえのか?!『ゴジラ道』は絶対安全なスポーツとは限らないんだぞ!」 ゴジラ「でも、お前ももう食道ボロボロじゃねえか。それに、現場においては臨機応変だって…」 ゴジラ「だからといって無関係のお前まで犠牲になっていい理由にはならんだろう!」 ゴジラ「無関係って…傷つくなあ。ぼかぁお前のクローンだよ?」 ゴジラ「たとえお前が繁殖して死んでも、お前の代わりはいくらもいない!」 ゴジラ「つまりいくらかはいると?」 ゴジラ「確率的にはな」 ゴジラ「脳もか!」 ゴジラ「だって完全発光生物やし」 ゴジラ「傷つくなあ」 ゴジラ「どこがだ」 ゴジラ「脳」 ゴジラ「お前のメンタル豆腐か」 ゴジラ「有性生殖時代の黒歴史を思い出すから魚の精子の話はやめろ。」 ゴジラ「ミソスープ?インバート、コンバート、シマスカ~?」 ゴジラ「やめろ」 ゴジラ「ところで」 ゴジラ「なんだ」 ゴジラ「なぜここの管理人は『放射火炎』という言葉を知っている?」 ゴジラ「あー、確か管理人はゴジラ初心者だったっけ」 ゴジラ「そうなんだよ。だから、放射火炎って言葉は知らないはず。」 ゴジラ「劇中で聞いたんじゃないか?」 ゴジラ「今回は『放射線流』で統一されてたんじゃなかったっけ?」 ゴジラ「いや俺に聞かれても。管理人がそこまで把握してるわけないじゃん」 ゴジラ「そりゃそーだ」 ゴジラ「それにしても適当かつ適当な言葉だよな」 ゴジラ「どっちがだよ」 ゴジラ「両方」 ゴジラ「放射線流は放射線に流れをつけただけでマクロな放射線になるし、放射火炎は放射と火炎を入れ替えただけで、ただの火炎放射じゃない印象をいともたやすく植え付けることができる。」 ゴジラ「素晴らしい言葉だな。人類は図らずも、不完全な存在でありながら完全な存在を2つも作り上げていたのか」 ゴジラ「人が完全数のようだあ」 ゴジラ「すまん。俺には完全数の良さがいまいち理解できんのじゃ。」 ゴジラ「じゃあお前不完全か。よし、今からお前の不完全さを完全な俺が証明してやろう」 ゴジラ「やめろ、時間の無駄だ。管理人もその辺まったく理解してないから無茶ぶりはやめてさしあげろ」 ゴジラ「完全か、不完全かは、わからない」 ゴジラ「だからやめろってボロが出るぞ」 仮面ライダーゴースト「蒲田シャイニングオーシャンパーンチ!」
パトレイバーを見るいい機会でした^^教えてくれた友人に感謝です。
破壊神のご先祖様が拝めましたwwwww といってもそんなに暇でもないので、半分くらいしか見れてませんが、なかなか楽しかったです。 いまさっきアクティヴレイドの1期2期を見終えたところだったので 余裕ができ次第、レンタル屋さんに行って残りの部分を借りて見ようかな。 基本1話完結方式だったのが幸いしました。 アクティヴレイドもなんですが、僕が衝撃を受けた作品の1つに地球防衛企業ダイ・ガードがありまして パトレイバーもいつか見たい見たいとは思いながらも、なかなか見れずにいたので今回の一挙は大変ありがたかったです。 それにしてもダイガードはえらく知名度が出世しましたよね。スパロボのおかげでしょうね スパロボやってる方もスパロボに終わらずアニメの方も見れくれてる方も結構いらっしゃるみたいで嬉しいです。 今だからこそ配信とかが進んでますが、当時はなぜか、この作品のレンタルが異常に弱かったんですよ アニメ作品のインフレ<収穫加速>が起きた直後ぐらいの年代で、まだ数がかろうじて把握できるくらいの分量だったと思います レンタル屋の棚の模様替えが終わったころに棚の巡回を行えば どこに何があるのか把握できた時代であり、僕の脳もそれができるだけ若かった。 「HAND MAIDメイがあれば2流以上」「ダイガードがあれば1流」のレンタル店と、勝手に評価してましたね いるじゃないですか、基本的に、書店とかで「どこに何があるのかわからないと落ち着かない」って人。 逆に「わからない」と同じ品ぞろえでも未知のエリアに入った錯覚を起こして無駄に興奮できるんですよ 今は興奮どころじゃないですね。常にわからないですもん。 ところで、アクティヴレイドの1期は今回ほぼ初めてコメを見ながら実況できたんですが ロボットアニメの回で、ダイガードの名前が3回くらい出てきたときは嬉しかったですねえ アクティヴレイドは地方の方からするとBS日テレでやってたので日テレ系なのかな?って思っちゃうのかもしれませんが、wikiを見ると関東ローカルだったりと、必ずしも日テレ系じゃないんでしょうか それとも、やっぱり日テレ系なんでしょうか。 パトレイバーが日テレ系だったらしいですし。 パトレイバーでwikiって驚いのが、前番組がサイバーコップだったことですよ! 確かに似たような内容ではありますが、さすがまだ地が固まってない時代、実写の後番組としてアニメをやるとは・・・それも、今みたいな3ヶ月縛りとかがまだ確立してない時代ですからね。 明らかに世代的にパトレイバーとかの世代のはずなのに 僕としては3ヶ月縛りのある萌え豚御用達アニメの方が好きなんですよねぇ。 逆に、あんまり古いと絵柄や色あせ具合、楽曲のセンスが苦手だったりします。マクロスとか。 これが10年後の作品、とりわけセイバーマリオネットJとかになると、真逆の信者になっちゃうから、信者とアンチは紙一重なんでしょうねえ そんでもってナディアは大好きなのにエヴァは大嫌いというww パトレイバーの敷居が高く思えたのは、その圧倒的分量によるところも多いかと思います。 パトの時代の音楽はギリギリOKラインです。絵柄はギリギリアウトなラインでしたが、一挙で克服したっぽいです また、僕はアニソン至上主義なんですが 当時の曲ならまだ、世間一般の曲を受け入れる耐性があるような気がしますね やー、日テレ系なら、ウィルウェアと○ルウェアのリコたんのMMDとか出してほしいなぁ というかMMDモデルあってもなくても てさぐれOPパロがすごくほしいw サイバーコップはすごい合成技術なので、やめてさしあげろレベルですね^^; ところで、はがねオーケストラのダテコーさんリスペクトがすごく好きですw
きららジャンプのことである。
「じょしらく」ですでにあるのだ。じょしらくリスペクトのダテコーさん作品にないのは、きっと明らかに忘れものだ。 新しいきららジャンプを考えてみよう!PON! ・ジャンプする人が全員モブ子 ・人数の桁がおかしい 1000人もいらない。100人、いや50人とか20人とかでいい きらら特有の女子だけの世界観が崩れて、ヒトなのかなんなのかわからなくなってしまう モブ子なら主人公じゃないので、「主人公が4、5人横並びパティーン」も崩さなくて済む てさぐれ自体、MMDで作られているし、モデルも確か公開されているようなので ダテコーさんに「きららジャンプ」をネタに1作品作る手間をわざわざ取らせなくても MAD作品としてあってもよさそうなものである |
カレンダー
カテゴリー
最新CM
[08/08 さつ香]
[12/30 buy steroids credit card]
[09/26 Rositawok]
[03/24 hydraTep]
[03/18 Thomaniveigo]
最新記事
(01/01)
(03/19)
(03/18)
(03/18)
(02/23)
(02/14)
(02/12)
(01/03)
(09/23)
(09/23)
(02/11)
(05/30)
(05/28)
(05/28)
(05/27)
最新TB
プロフィール
HN:
量子きのこ
年齢:
44
HP:
性別:
男性
誕生日:
1981/04/04
職業:
WinDOS.N臣T
趣味:
妄想・計算・測定・アニメ
自己紹介:
日記タイトルの頭についてるアルファベットは日記の番号です
26進数を右から読みます 例:H→7番目、XP→15(P)×26+23(X)=413番目。 A=0とする仕様につき一番右の桁はAにできませんのでご了承くださいズコー
ブログ内検索
アーカイブ
最古記事
(05/11)
(05/11)
(05/13)
(05/13)
(05/13)
(05/13)
(05/13)
(05/13)
(05/14)
(05/14)
(05/14)
(05/14)
(05/16)
(05/16)
(05/16)
アクセス解析
|

