|
20080511~
13と7と11の倍数の論理積は13と7と11の積の倍数である。
和ァ・・・
× [PR]上記の広告は3ヶ月以上新規記事投稿のないブログに表示されています。新しい記事を書く事で広告が消えます。
講談社モーニングで連載していた「決してマネしないでください」全3巻、略して「決マネ」
ラボアジエが2巻で出てきたとき「決マネ第1話参照」と小さく出ていたのを「決マネ選手権」に空目したのがきっかけで、ブログの今日のサブタイが生まれた 天空の城ラピュタの元ネタの元ネタについて話していた。 知っての通り天空の城ラピュタの元ネタは海底2万マイルと宇宙戦艦ryガリバー旅行記だが ガリバー旅行記のラピュタのさらに元ネタがあったらしく どうもティコブラーエとヨハネスケプラーの研究所のことだったらしい。 しかしその話題でググると、ほとんど決マネしか出てこない。本当に細かすぎる ただ単にそれだけマイナーなんならいいけど、ガセとかじゃないよね? いちおうかるーく裏を取ってはみた。 ガリバー旅行記の中に出てくる火星の衛星について、wikiが「ケプラーがどうたら」っていうことを書いている。 てっきり、大学や大学院の研究室の人たちならこれくらいの逸話を知ってて当然なんだろうか とも思ったんだけど、そこはやっぱりフィクションらしい。 3万前後の素数を2つ即興でいう学生くらいフィクションなんだと思う だから作家は自分以上の天才の描写が可能なんだ。 それと、主人公が2万は2で「割れる」と表現していたのが幼少の僕に似ていて親近感を感じた。 整数論では正しい表現だろうが、モジュロ演算でほどなくやっぱり正しくない表現になってしまう 「割れる」じゃなく「倍数」だ。厳密には「割り切れる」でもない。 PR
対角化「された」行列は、行列の対角線上にしか値がない行列のことをもちろん言いますが
対角化「するための」行列というのは、AP=JPのJじゃなくてPのほうです! こいつの名前をはっきりしてほしかったんですが ディラックさんがブラ・ケットと名付けてくれていたようです。 しかし、ディラックさんの名付けたブラとケットは、量子力学に出てくることが多いせいか すでに規格化していることが多く 規格化する前のブラとケットの名前についてはまだ僕は知りません でもまあ、「規格化する前のブラとケット」と呼べるだけまだましですね! ところで、このブラとケット、規格化が済んでいるとすると 正方行列にする前の固有ベクトルの状態では ブラ×ケットは必ず1なんです。 まあそのように規格化しているから当然なんですが たとえば規格化する前の固有ベクトルが一般に複素数の場合 <|=(1,i)とかだったりした場合 実数の範囲ではあまり想像しなかったことが起こりまして 1の2乗とiの・・・そのまま2乗して足すのか、絶対値の2乗をして足すのか最初は戸惑うと思うんですね。 それが、ブラ×ケットを考えると、ブラはケットのエルミート共役なので<|=|>† おのずと絶対値の2乗のほうだとわかるわけです。複素数Zとその複素共役Z*との掛け算が、Zの絶対値ですからね <|=(1,i)だったら、t|>=(1,-i)ですね。(tは転置) まあこんな感じで、複素行列の場合は行列式の意味合いでの||と、複素数の絶対値の意味合いでの||が両方出てくるわけですね。 ともすれば||A||なんてこともあるわけです。 おそらく、必ず内側が行列式detで、外側が必ず絶対値absだと思います。abs(det(A)) 量子力学はともすると、固有ベクトルの意味合いが実に物理的に表れている、いい例なのかもしれません。 固有ベクトル同士の線形重ね合わせなんてほかの分野だとまずしないんじゃないでしょうか |θ>cos(θ/2)|sx+>+sin(θ/2)|sx-> このθ/2も何か示唆的ですよねぇ ブラとケットで挟むのも見たことありますし。 だんだん3DCGに用いるクォータニオンと、量子力学のパウリ行列がつながってきました^^ 3DCGでは任意軸回転が便利ですが これに対応する量子力学の現象となるとどういう風になるでしょうねえ X・sx+Y・sy+Z・sz(ただしX^2+Y^2+Z^2=1)とそれに対する固有ベクトルを作って挟んで、任意軸に対するコサイン成分を求める感じでしょうか あるいは行列指数関数による回転かな? あ、でも忘れないようにしないといけないのは、あくまで-iσx,y,zが3つの虚数単位に相当するわけであって、σx,y,zそのものではないということですね ああそういえば長らく言い忘れていましたが、ディラック方程式でクォータニオンと四次元時空が見事につながりましたね。
量子力学ってなにかとユニタリを押してきますよね。対角化するにあたって、
その対角化のための行列はほぼほぼ決まって規格化されていないといけない、 みたいな。 だったら、ジョルダン標準形はどうなるの? ほぼ全部規格化できなくないですか じゃあ、量子力学における対角化というのは、拡張された「ジョルダン標準形」を含まないのではないのか というのが最近気になっています 実は先日、固有値がダブるという量子力学的?な現象に出くわしまして たまたま4次の行列だったのと、ジョルダン標準形をまだあまり理解しきっていなかったのもあって wolfram alphaでネタバレを見てしまったのです。 そうすると、対角化された行列はなんと、ジョルダン細胞になっていなくて ただの対角化行列だったのです。上三角行列の1が出てこない! ジョルダン標準形を考える際に、わりとよく出てくるカーネルやイメージ、ランク落ちなどの概念 固有値がカブっても、決して対角化行列Jがジョルダン標準形のような姿をしているとは限らない というのはよくあることです。 ということは、固有値がカブっても、ほぼいつも必ずランク落ち?のような現象に収束して ジョルダン細胞のようなことにはならないのではないか 対角化を拡張する必要はいつも存在しないのではないか という可能性を疑っているのです
特に、「その他の状態」の項目が素晴らしいです!
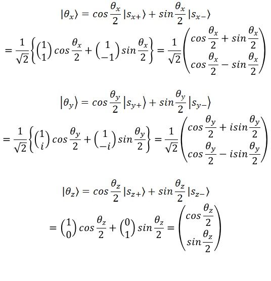
から が導き出せるよね って言ってるだけなんですが、これがかなり奥深くて 興味のある人にとっては、この角度は何に対する何の角度なんだ!?って疑問がふつう湧くじゃないですか! で、その計算のための道具が、上に全部まとめられてるんですよ! とりあえずθを、θxとθyとθzの3タイプ用意しましょう。 ケットベクトルはこのたった1つの例をもとに、このように組み立てられるはずです。 そして、ケットに対するブラも、ただエルミート共役を取るだけなので、以下のようにできるはずです。 そうして、期待値を求めますと <θx|sx|θx>、<θx|sy|θx>、<θx|sz|θx> <θy|sx|θy>、<θy|sy|θy>、<θy|sz|θy> <θz|sx|θz>、<θz|sy|θz>、<θz|sz|θz> の9通りが考えられるわけですが。興味のある人はぜひ計算してみてください。 sx、sy、szの定義もちゃんとwikiにそろってます。 そうすると、 となるはずで、これが何を意味しているかというと、こういうことです。 軸からどのくらい傾いているのかの角度によるコサイン成分を知りたければ、軸と同じsをθで挟めばいい たとえばcosθx=<θx|sx|θx>、cosθy=<θy|sy|θy>、cosθz=<θz|sz|θz>のような感じです。 ただし、サイン成分を必ずしも算出できる組み合わせとは限らない といったところが、z軸>x軸>y軸のような不平等さの表れとしてでているみたいです。 まあ仕方ないですよね。自由度が奇数個の3軸で、2項演算を考えようとすると必ずハブられがちな軸は出てきますよ。やっぱりy軸なんですね z軸優遇なのは球座標系が前提にあるからなのかなと思います ======== こういう議論をですね、たった2行の式を書くだけで、興味のある人には自力で全部理解させる まったくクドくないwikipediaのこのページの書き方は教育者として素晴らしいなあ!って思ったんです 元々ガウス分布で圧縮されてた空気分子がガウス分布なブラウン運動で拡散している様子をはたからぐるぐる回りながら撮影してる図をなんとなく作ってみました。 now()-today()を100万倍ぐらいしたやつと、循環参照を併用してます。 ガウス分布はテキトーに、 rand()+rand()+rand()+rand()+rand()+rand()+rand()+rand()+rand()+rand()+rand()+rand()-6 を使ってます。分散1、平均0の3次元データです 元データはこちらから。 ダウンロード スイッチがすでに入っている(sw=1)ので、delボタン連打で勝手に動きます。sw=0にすると、固定された初期値のままアングルだけ回転します。 ========== もし、量子ゆらぎがこんな感じで、得体の知れないところからどんちきどんちき押されるようなものだとして、 その発生源がタキオンだとすると まあ得体の知れない感は当然醸し出されるわけで、 んでもって、我々ターディオンはタキオンにはなれないけども、ぶつかることはできる。 ただ、ぶつかったとしてもそれが未来からの粒子なのか、過去からの反粒子なのか区別できないとしても、もともと素粒子レベルの物理にはほとんど時間対称性が成り立っているので、区別できようができまいが特に問題はない。 しかし、たくさん衝突してくるタキオンからの量子ゆらぎの統計を取ると もしかしたら中にはエントロピー的に未来から情報を運んできたというタキオン群れの分を検出できるかもしれない ほんのちょっとだけ、未来のことがわかるような気がするっていうのがここら辺を原因に来ていたとしたらどうだろう? タキオンなら、過去からも未来からも飛んでこれる。 数種類あるタイムマシンのバリエーションの中では結構堅実なほうだと僕は思っているんだけども。 そもそもどうして数種類あるバリエーションが全部違って見えるのか 過去で待ち合わせはできない場合が出てくるのか また、我々のスケールだとうまくいかないのに、スケールの違う宇宙人にはもしかしたらたやすいかもしれないというタイムトラベルの格差はどこからくるのだろうか
9/16の日記に書いていた、機動強襲車両(人力)がアクティヴレイド2期最終話にて実現してしまいました。
ついでに、まだ誰にも言ってなかったんですが 香典なーい 未来(成仏)はどっちだ~!? まで実現してしまいました・・・なんてこった。お疲れ様でしたー 「0」と「1」が無限を奏でたら小さな胸(くっ)に生まれたリズム あなたに触れたい 手を伸ばして触れたのは 冷えた世界の果て アマデウスの中のクリスに外の世界はどう映るのか、今更ながらすごく気になってます クリスは待機時間中に何をして暇をつぶすのか そこにうーぱクッションはあるのか 岡部から連絡があるとアマデウスの中の時空がゆがむのか 何もかも言及していない!
ダイヤ「suku-xuアイドルといった感じですか?ぶっぶー!ですわ!
あなたは光と音の違いについてまったくわかっていませんわ それと、あなたは小田ではなく小原ですのよ」 そうそう、無印といえば、ラブライブの主人公は「高」(た)で始まり「か」(ゴーグル)で終わるジンクスがあるのかなーって思って、ラブライブクロスウォーズまでの放送局の変遷を見据えて(妄想して)みてたんですけど 音ノ木坂→高坂→陸 浦の星→高海→空と海→アクアとサンシャイン で、陸海空全部揃っちゃってるんですよねー クロスフュージョンでライブと合体するアイドルがいたり、 ライブモンを素手で殴る最強のスクールアイドル型ライブモンがいたりしたら面白いだろうなぁと思ったのに
とりあえず昨日の、改造したディラック方程式の、z方向に進んでる平面波、
こいつがなんとなく解きやすそうだったので固有値を求めておきました。 なんでしょうね、4次行列だから解が3つ以上あるのは当たり前なんですが クラインゴルドンのタキオン版が重解になってるのと、E=0の重解はなんだろう? 粒子反粒子が地続きなのと関係でもあるんでしょうか というか次元おかしくない?エネルギーの次元4つ分だと思ったんだけど? 間違えました。固有値はこうでした。E=0なんかありませんでした>< ところで、2重解ペアということは、固有ベクトルを求める際にジョルダン標準形の知識がいるってことじゃないですか・・・ ジョルダン標準形・・・本気で習い始めてからまだ日が浅いんだよなぁ それに行列について勘違いしてることが多すぎると判明しまくりな最近ェ・・・ とりあえず3次元+ダミー1次元のアフィン変換のべき乗を例に対応してみよう
使うかどうかわからなくなりましたが、せっかく計算したので載せます
iを虚数単位、A,Bを実数として tan(A+iB)は加法定理からこうなります。 また、中身が純虚数の三角関数は双曲線関数に置き換えることができ このようになります。 そうすると元の式は以下のように変形出来、有理化して展開すると こうなりますが、三角関数の性質(ピタゴラス)から、大部分が省略可能です。 また、三角関数同様、双曲線関数にもピタゴラスのような性質があり 結局ここまで簡略化できます。 ところで、sin(A+iB)とcos(A+iB)の間にはピタゴラスが成り立つのか確かめてみますと このように、複素数の「絶対値の」2乗同士を足すまでもなく、sinとcosの2乗同士の和は 中身が複素数でも1になることがわかります。 なんだか特殊ユニタリな雰囲気でほほえましいですなあ
昨日の日記で、
「ターディオンとルクソン用のディラック方程式を眺めていたら 平面波における固有値・固有ベクトルを求める際に、意味合いの異なる純虚数が混合してしまいそう」 という問題にぶち当たった気がした。 そこで、ディラックの方法を真似て、タキオン用にディラック方程式を改造してみてはどうか? と、消灯してから気づいてメモした。 スカラーのエネルギーとベクトルで3要素ある運動量を入れ替えるのは無理があると判断し ディラック行列の一部を書き替えればいいんじゃないかと思った。 αx、αy、αzは変更せずに、βだけちょっと変える。 それで、クラインゴルドン方程式を 3つのαとβの反交換関係{α,β}とα同士の反交換関係{α,α}は変わらずに βの2乗だけ、1ではなくマイナス1にするとしたら βだけエルミートではなく歪エルミートにすればいい。 しかし、虚数単位の関わる状態では元通り2種類の虚数単位が混合してしまうので 中身がすべて実数でかつ歪エルミートのβにしなくてはならない そうすると この3種類のうち、生き残るのは真ん中の これだけになると思う。 ただ、これをディラック方程式に採用して平面波の解を求める際、 今度は、 連立方程式が2行2列同士のペアに分離してくれず、 4行4列のままの固有値問題になってしまう。 x方向進行 y方向進行 z方向進行 確かにパウリなやつ以外の余分な虚数単位は消えましたが。 これでいいのだろうか? これがいいのだろうか? あ、z方向だけ2次同士のペアに分離できるんですね。ごめんやっぱ分離できてないわ
ディラック方程式の平面波の解
この両者どちらか を永年方程式にするために、エネルギー固有値を求める時点で クラインゴルドン方程式 に立ち戻るんですが、これをシンプルにタキオンに拡張しようとすると、まず静止質量を純虚数にしたくなるじゃないですか。 こんなふうに。 でも、それを導くためのディラック方程式のありかたが、 こうなってしまうので、どうしたもんかなあと。 これ無理やりやればできるんでしょうか?? それと、虚数単位の意味合いが微妙に違うみたいで困惑するんですけど。 静止質量の虚数単位はタキオン的なものを純粋にあらわすのに対して 運動量のほうの純虚数って、スピンのパウリ行列で、y軸的な意味合いで役に立ってくるはずだから、なんか違うと思うんですが気のせいなんでしょうか 固有エネルギーをタンジェントと置くやり方が割りとオーソドックスっぽいですけど タンジェントの中身が複素数になったりって、正直どうなのかなとも思うんですよね。 まあ、できなくはないでしょうけどね。三角関数が部分的に双曲線関数になるだけですし というか、エネルギー-運動量図(数日前の日記参照)の縦と横が純粋に入れ替わるだけなので 本来ならエネルギーではなく運動量についての双曲線を解きたいんですけど 固有値がそうさせてくれなさそうで困ってます タンジェントの中身が複素になったら当然、タンジェントそのものも複素でしょうし(たぶんだけど) 固有ベクトルがなんか複雑になりそうだなぁ(憶測) はぁー、コンサート会場の廊下で途中までやってたんだよなー、複素タンジェント。加法定理使って。やり直すか~。なんか綺麗な感じに収束しそうだったし、もっかいやっても楽しかろう タキオンのスピンねぇ・・・ あー・・・ターディオン極限の前にタキオン極限をやろうとしてしまった。 そういや今ターディオンって呼ばないんだって?なんでむやみに名前変えんのよ。 それともむやみじゃないの? そもそも、パウリ行列によるSU(2)がSO(3)の代わりになる流れがナチュラルすぎるんだよ なんでこうなった?本当に一意的な流れなのこれ?!
「実は半整数も許されている」っつって、半整数の代数を始めると
いつの間にか軌道角運動量ではなくスピン角運動量の話にすり替えられていたんだな。 ところで、「軌道角運動量」の代数として、3次の行列はよく見かけるが、5次以上の奇数次の行列の例はほとんど見かけない。 というか分子の話になってしまうらしい。そういうのはノーサンキューだというのに。 で、軌道角運動量が整数しか許されないのなら、行列は奇数次に限られて偶数次の行列は考えるだけ無意味ということになるんだな。 ところで、スピンはよく±1/2の量子数を見かけるが ±3/2もどうやら許容されるらしい。 ということは、半整数の「スピン角運動量」の量子数としては、対応する偶数次の行列の演算を考えることに意味はあるということか。 ところで、sxとsyの積がszに比例するのは2行2列のパウリ行列のみらしく 一般の次数においては、交換関係[sx,sy]がszに比例(線形従属)するらしい。危うく間違えるところだった。 こういう「代数」は何という呼び名なのだろう?これが行列力学というものなのか? 色々と定義が紛らわしい聞く。 その上、この「代数(微分演算子としてではなく)」は主量子数や調和振動子の量子数にも当てはめられるもんなんだろうか。なんかすごく今更感があるが、興味が出てきた。 磁気量子数に対する代数もあるのだろうか ======= そんなことを考えながら、散歩中にARIAの主題歌を聞いていたら ふと、灯里の友達3種類の業種の人たちについて 「そういえばウンディーネを合わせると3種類ではなく4種類になるんだな」と気づかされた。 ウンディーネ、サラマンダー、ノーム、シルフ 4か なんだろう、男3人に女1人、まるで四次元時空の擬人化のようだ。 ノームが上下方向は確定として シルフとサラマンダーは直交座標系だろうか いや、アクア自体が(円柱座標系ではなく球座標の方の)極座標系としてあらわされたとしても、アクアの住民にとってはほぼほぼ直交座標系だろう。 実は惑星ではなく灯里たち人間を基準にした極座標なのではないか。 だとすると仰角(ピッチ)がサラマンダーで、何時の方向とかいうアレ(ヨー)がシルフのような気がする。 ウンディーネが時間軸担当なのは当然だ。いやあるいは世界線担当でもいいかもしれない。 ヒルベルト空間になってしまうだろうか? |
カレンダー
カテゴリー
最新CM
[08/08 さつ香]
[12/30 buy steroids credit card]
[09/26 Rositawok]
[03/24 hydraTep]
[03/18 Thomaniveigo]
最新記事
(01/01)
(03/19)
(03/18)
(03/18)
(02/23)
(02/14)
(02/12)
(01/03)
(09/23)
(09/23)
(02/11)
(05/30)
(05/28)
(05/28)
(05/27)
最新TB
プロフィール
HN:
量子きのこ
年齢:
44
HP:
性別:
男性
誕生日:
1981/04/04
職業:
WinDOS.N臣T
趣味:
妄想・計算・測定・アニメ
自己紹介:
日記タイトルの頭についてるアルファベットは日記の番号です
26進数を右から読みます 例:H→7番目、XP→15(P)×26+23(X)=413番目。 A=0とする仕様につき一番右の桁はAにできませんのでご了承くださいズコー
ブログ内検索
アーカイブ
最古記事
(05/11)
(05/11)
(05/13)
(05/13)
(05/13)
(05/13)
(05/13)
(05/13)
(05/14)
(05/14)
(05/14)
(05/14)
(05/16)
(05/16)
(05/16)
アクセス解析
|

