|
20080511~
13と7と11の倍数の論理積は13と7と11の積の倍数である。
和ァ・・・
× [PR]上記の広告は3ヶ月以上新規記事投稿のないブログに表示されています。新しい記事を書く事で広告が消えます。
アニメさん!ダテコーさん!まだフロンティアありまっせ!
「ニューゲーム」を見てて思ったんですが、フツーの職場についたあとを描写したアニメ(日常モノ)や、その原作の作品(日常モノ)って、今極端に少なかったりしないでしょうか?(僕の勘違いでなければ) もし、今まで少なかったのがすべて、視聴者への配慮なのであれば、 むしろ、心を抉らずに、かつ、新入社員への参考や激励になるジャンルということで、 これからが狙い目だったりしないでしょうか? 例えば、特定派遣でも結局自信がつけられず、 持っている技術を趣味にしか使いたくなくなった人が主人公で、 その主人公の職場には、以上の理由から話し相手がいなくて、 いろんな職場から(主にニコニコ技術部とかで)「趣味で制御工学をやっているものです」を集めて 「社会人制御部」を立ち上げている部活もののあるあるやぽいぽいを低予算で描く 「てさぐれ!さん社員」(4期)とか? エドワード 強くてニューゲート・・・ ニューカマー
夜、家にいるときと同じ格好で、自転車でふら~っとコンビニに行けるのはいい季節なんですが
去年、サイクルハウスがつららで破壊されまして それから新しいサイクルハウスに入れるまでの間、3ヶ月くらい風雨にさらされっぱなしで 春にちょこっと自転車乗ったはいいんですが あれから全然乗ってないんですよね 仕事で割と自転車乗ってるんで、満足しちゃうんですわ。 それに、あんま無理できる歳でもなくなってきたみたいで 私用ででかけるのは車でいいんじゃないかな、とか サビとエアーの妄想におびえる毎日です せっかく折り畳み自転車なんだから、強みを生かして玄関フード内に入れられれば一番楽なんですが 父の足も悪くなってきて、玄関フード内に椅子を置かないとやっていけないらしいです 今日こそはコンビニに寄ったついでに団扇を買ってきました! 扇風機がねえ、稼働できる状況じゃないのよ 扇風機をバラして掃除する環境がないどころか 扇風機の風がいきわたるだけの床になってないんですよね やたらものが置いてあって表面積でかすぎて・・・ホコリは扇風機、モノどちらにももちろんかかっています 僕はハウスダストアレルギー持ちらしくて、 部屋の本の管理が雑すぎて、放置した本が読めないんですわ 読むとあちこちかゆくなるんです。それで、あるときを境にレンタルあるいは電子書籍しか買わないと決意しましてね 一度買ってしまった本を売るのも、なかなか手放せない性分らしいんですわ はあ・・・エアコンほしい。 もうエアコンないと、夏は生活しかできないと思うんですよね まるで趣味に向き合えないです 情熱エネルギーがそっくりそのまま情熱エントロピーになって排熱されていきます・・・ せっかくパワーポイント買ったのになー それも、夏になる前に動かして慣れておこうって理由で春に買ったのに これじゃパワーポイントにもホコリが・・・ホコリはかかりませんが パソコン内のファイル数も、膨大に増えるとホコリみたいに見えてきますよね・・・ もうなんか、何年も前から悩みの種なんですが、画像ファイルどうしようって思います 今度OSが一斉更新せざるを得ない時期がくるまでに なるべくいろんなツールを入れておきたいんですけどねー でも一斉更新した直後のむなしさといったらまあこれはひどいものですよ 今割と安定してるからなー やる気出して色々インスコしたほうがいいと思うんだよなぁ 結局、ソフトークとMMDまだ入れてないしorz 団扇は来年になったらまた買うと思います。 どうせ1枚岩管理するんなら、毎年使い捨てでもいいんじゃないかって思うんですよ 電脳空間から吹き付けてくる風があればいいのになーってそれ扇風機かエアコンやんけ PCの熱風は論外
りらいととりらいふが紛らわしいと聞いて、一度は0話切りも考えましたが、
2話から録画することにしました。 りらいとはまあ、keyだしね。ニコニコチャンネルでは見なくても、録画はしますよ。うん。別に信者じゃないけど、ファンくらいではあるかもしれない BS11ではなんと、りらいふの放送後24時間以内にりらいとが放送されるらしいです。 中身ほぼ丸々カラーなんで、ちょっと天然記念物パピコ的な意味で気にしてはいました。 よしたにさんの漫画みたいに、オールウェイズ立ち読みウェルカムщ(゚д゚щ)カモーンだったらもっと着目したかも。 そういえばオレンジというのもタイムリープもののようで。 0話切りの候補だったんですが、コレクター魂が、突き進むが吉と囁くので、録画するかもしれません。 花道オンザレンジといえば、放課後ミンゴススキーという、みかんと時間をテーマにした、仮面ライダーというよりはばくおんに近いノリの漫画を思い出しますね…
「カツメンナンバー001号、私が鳳凰院キーマです。」
「銀河中心殴り込み隊からメンチカツカレーラーメン1兆入りましたー! チーム名はコスモバスターズでいいですが、部活名はどうしますか?」 「計算機科学部がいいです。」 「それは学部名か?学科名か?それとも部活名か?」 6年後 「フジイ、このままだとニート人間にっちゃうわよ」 「さぁ? さぁ!逆に、あなたはどう思いますか?私は、あなたの思っているほう、じゃないほうです!」 「それ私の真似?なぜかしら、すごくイラっとくるわね・・・」 「私、もう入る部活決めてるんだー」 「フジイ、部活申請期間は、たった今、終わりました!」 「ぐぬぬ…これも期間の陰謀か…?!」 「まーたそうやって、都合の悪いときは時間のせいにして、都合のいいときだけアトラクタフィールドによる運命論を展開するんだから。 まあ冗談よ。今年の部活の予定はまだあるのかないのかわかってないのよ。」 「じゃあまだ間に合うね!軽い山岳部にする!」 「これがけいさんぶ!というものかー」 「ええー!?軽い山岳部じゃないの!?」 「一言も言っとらんわ!どこをどう読み間違えて、計算機科学部と軽い山岳部を勘違いするんだよ!」 「でもまあ、部員は多いに越したことはないし」 「そうなんだよなあ。うちの学校、なぜか部員の定員だけは社畜こけしなんだよなあ。派遣会社かっ!って突っ込みたくなる」 「何人なの?」 「最低9人」 「なにそのゲルマン行列が歌って踊りだしそうな人数」 「おかしいわフジイ!ゲルマン行列なら8人のはずじゃない!」 「チガウノドカ、そこは行列なのになんで人数が平方数なのかってツッコンデ」 「そうだったわね。一般大衆的には行列は1次元的な概念だものね。」
前々からなんとなく思っていましたが、
僕は立て続けに数学や物理のことを書き続ける期間というか、波があるんですね 逆にまったく書けない期間もあります。 ただ、書き続ける期間はそれはそれで、読者をおいてけぼりにしてるんだなーと 時々間を空けるとそう思うんですよ 基本、僕が楽しくて自分のために書いてるブログですからね 役に立ちたいとか冒頭で述べてますけど、建前ですよねおそらく。 読者がついていってるかどうかとか、基本的に考えてません。 というか、そういうことを分析できるだけのデータがありませんwwww あるとすればアクセス解析くらいです。 間を空けると、その穴を埋めるように、たくさん人(のべ)がきたり、過去の日記を覗いてくれたりします。 でも、経験上、2日くらい経つとすぐに収まってしまうんですよね。 僕のブログはカレーの一種なんですねきっと。 ブログそのものも腐りますが管理人も腐り始めます^^ ところで、リトバスのクドリャフカを初めて見たとき、僕によく似てると思いました 特に似てると思ったのは、「趣味がなにか」というところです。 僕は以前、書店の「趣味」の棚のラベルに違和感がありました。 「教養」かなにかの棚と、ラベルを取り換えたいと思ったこともありました。 趣味の棚には、ほぼ必ず、僕の求める趣味の本がないんです。 まあ、若いころのように、実際にラベルを取り換えるようなことはしませんでしたけどね (若いころはブルーバックスの並びがおかしいと、勝手に本を並び替えて、司書さんに怒られて意味が分からず、「覚えてろよ~」的な捨て台詞を妄想しながら図書館を去ったことがあります) 相変わらず、大勢の人の考える趣味というものはいまいちよくわかりません まあそれはいいとして、気になるのは クドのその性格は生まれつきではないようなことをリキが言っていた点です クドがどうもアスペっぽく見えるからなのですが アスペっていうのはどうも先天的なものと位置付けられているらしいんですよね まあ現状、アスペの定義も何もあったものではありませんが 後天的なアスペというのもありうるのではないかとも思うんですよね また、先天的=遺伝性でもないとも思ってます たとえば僕が3や9で割ったあまりが好きな理由は、さかのぼれば僕の誕生日に起因します ですが、僕の誕生日は先天的かもしれませんが遺伝性はありませんよね 本名についてもそうです。 HNの由来が好きなもので、なおかつ本名にも似てるという方は案外いらっしゃるのではないかと思うのです。 それは、部分的に、本名のトラウマ的なものがいい意味で作用しているから、ということもできるでしょう。 話は戻って 特定の遺伝子が人生の途中で作用し始めるのだとすれば アスペもまた人生の途中から始まるということもあるのではないでしょうか ところで、僕はてっきり自閉症というのは自分の殻に閉じこもる現象だと思っていたんです 意味は間違っていないのかもしれませんが、それではまるで後天的なものではないかとイメージされがちですよね まあ、自閉症はともかく、アスペに関しては解明がさほど進まなくてもいいんじゃないかな と思っている部分があります。 現代病のように、社会がふさいでしまった「人生の逃げ場」や「人生の居場所」がアスペをアスペとして定義しているのであれば 逆にそれを利用してアスペという口実を頼りに人と人が知り合うというのもアリなのではないかと思うんですよね 少し危惧しているのは、アスペ至上主義のような流れになってしまうことですね ほぼ起きないとは思っているのですが、デザイナーベイビーとしてアスペだらけになってしまったら困るなと それでユダヤ人迫害のようにアスペ人迫害が一層強まるなんてことがあったら嫌だなぁと 一番困るのは、「意図しないデザイナーベイビー」としてアスペだらけになる現象ですね たとえば偉人の遺伝子を云々やってたら、その偉人たちの遺伝子はほぼほぼアスペのそれだったことが「あとからわかった」的な 6月30日の続きです。 ![]() にほんブログ村
はい、key一挙週間からようやく生還できました。
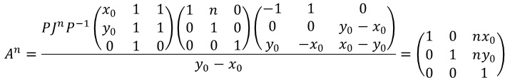
タブレット慣れてないんで、基本文字だけのブログって確定してなかったら書けないんです。 え?PC?マルチタスクですけど? シングルタスクなのは僕の脳の方です。こんにちは kanonを初見で、AIRをざっと(時代劇飛ばした)見て ABをざっくり見て メインはリトバスに決めてました。^^ リトバスのアニメとABのアニメはどっちが早かったのか忘れましたが 原作ゲームははるか以前なんですよねこれ。(やったことないけど) それこそkanonやしゃっふぉーの主人公がハルヒのキョンと間違われるくらいの年代だったらしく 実はゼーガペインとも世界観が割りと似てるのは、1ゼーガが1ゼーガたるせいで、今はもう覚えてる人はほとんどいないのかもしれません。 モブに杉田さんと花澤さんが出てるのが、どうにもハルヒとゼーガを意識してくれてるんじゃないかって勝手に思えて、感慨深いんですよねぇ。´皿` ところで、久々に新しい話題のドーマンゼリーマンモーガンフリーマンが放送されたみたいですけど 宇宙そのものが生命体っていうのはどこまで奇想天外な話題なんでしょうか 自分の立ち位置がよくわからない身としては、そこまで奇想天外かなぁ?って思えるんですよね むしろガイア理論をただ一皮スケールを大きくしただけっていうか 量子コンピュータで自然界そのものが”思考している”っていうのは割りとよくある本のタイトルですし 宇宙が子供を産んで因果関係的な意味で子離れするっていうのも想像に難くないじゃないですか 1つ、見る前にわからなかったのは「ニュートリノとビッグバウンスで鼓動する」ってところです。 ビッグバウンス自体は以前から雑誌でタイトルだけは見ていたんですが いまいちわからないのは ビッグバウンスとビッグクランチとの違いです。 まあ仮に違ったとして、我々の宇宙の命運はまだビッグバウンスに向かうのか、ビッグクランチに向かうのか、ビッグリップに向かうのか、ヒートデスに向かうのか、はっきりしてないんでしたっけ? 限りなく平坦って時点でもうほぼ判別されてると理解してたんですが、それとは別の話なんでしょうか まあ「限りなく平坦なう」ですからね、この先ずっと平坦なのかって言われたら「そうなんだろうか?」ってことなんでしょうか 「有限だが果てはない」っていう言い回しも引っかかるんですよね。 ほとんどの宇宙物理学者がヒートデスを想定してる中で、「有限だが果てはない」も同じくらい知名度や市民権があると認識してるんですけど この2つって競合しないんでしょうか シュタインズ・ゲートで牧瀬クリスティーナが言っていた 「永遠は無限ではない」っていうのにつながるんでしょうか ======= まあそれはおいといて。 親宇宙が子宇宙を産んだ際に、子宇宙に遺伝情報のようなものが引き継がれる みたいなことを言っていて 「それがニュートリノだ」みたいなことを言っていたと思ったんですが 物理法則が変わるかもしれないのにニュートリノだけ維持されるっておかしくね? って思ったんですよ。 あるいは、新しい物理法則の中の「ニュートリノのようなもの」なんでしょうか。 「ゴミですか?」がアイデンティティな存在 まあ、ニュートリノが超流動状態になるシチュっていうのは「MRIとSQUIDをパッと見て勘違いする」くらい楽しいですよね でもなんだろう、願望だよね0w0(ゆずこ) 無数に試行錯誤された宇宙という生命体の中に、我々のような生命体が入れ子のように入っている偶然 というのは、宇宙を我々に置き換えてみると AIが自我を持ち始めた ことに相当しそうな感じでしょうか? あるいは、AIそのものではなく、AIを形作っている変数や関数、あるいはハードウェア的な部品たちとのコミュニケーションが実は可能だった みたいな感じだったりしないでしょうか マクロスFでもありましたよね? グレイスっぽいやつの神経細胞そのものがいくつかのグループに分かれた思念体で 細胞同士が会話してる描写(古いマクロス見ないおじさん) ガンダムでいうところの量子脳みたいな感じでしょうかね(ガンダム見ないおじさん) それこそ、ハメロフさん・ペンローズさん流のアプローチの量子脳理論でいうマイクロチューブルによるコンピュータだったら 神経細胞同士が会話してもおかしくない みたいな意図ですよね?たぶん まあ、水分子でもいいですけどね。(「~~を信じないでください」は本当に信用していいのかって感じがしなくもない) その辺、もう一歩だけでいいから、踏み込んだ話題の素人向け番組がほしいですね~ モデルを具体的にすることで、抽象的な概念への理解につながることも決して悪いことではない この場合、x方向に1、y方向に2移動させる平面の平行移動変換Aについて 固有値がカブることによりジョルダン標準形を使わざるを得なかった。 また、ランク落ちが生じ、ジョルダン細胞は1つではなく2つになったことがわかる。 変換Aの3乗はもちろん、x,y移動を3回行うことだから、検算が可能。 今はまだ、ジョルダン標準形への運び方のアルゴリズムを理解しきれていないので 割りと無理やり試行錯誤しながら計算した。 x=yで、計算の途中で発散が生じてしまうので、なんとか数値計算で発散が生じない方法がほしいところ。正攻法だと途中で発散しないんだろうか。 ジョルダン標準形がこうだとうまくいかないことがわかる ![]() にほんブログ村
確か、すべての正方行列はエルミート行列と歪エルミート行列の和で表すことができるんだった。
そんで、エルミート行列の偶数乗が歪エルミートで エルミートの奇数乗がエルミートで 歪エルミートの偶数乗がエルミートで 歪エルミートの奇数乗が歪エルミートなんだったら まるでシーソーじゃないか ああ、そうか。「エルミート」を「実数」、 「歪エルミート」を「純虚数」に読みかえても成立するんだったな もちろん、「エルミート」を「対称」、「歪エルミート」を「交代」に読みかえてもいい。 どおりで、いびつなグラフに見えても、 無向グラフの行列は綺麗に見えるはずだ。なんたって必然だもんな そういえば何日か前に 人間の多様性は思ったほど多様ではない という説を思いついたんだった。上の話はほとんど関係ないけどね。 追記12:24 アイヤー、グラフ理論やってたばっかりだったから間違えたあるよ これはな、ちゃうねん。 対称行列と交代行列がごっちゃになっててん。 お詫びにみんなの愛した数式を貼るねん ふらいんぐうぃっち+よつばと=ヤダモン SSを作ろうとしたら、前世紀にもうあったでござる。 あかねの天真爛漫な幼少期を描いたスピンオフ作品がもうずっと前にNHKでプロの手によって公開されていたでござる まことはあしふといな!
2日でkanon全24話見終えました^^
残り時間が物理的に7時間しかないところ 晩御飯の時間が早ければ30分で終わるところを2時間と見積もって ギリギリじゃないですかっていうことで 昨日のうちに6月30万歩のノルマ達成は戦略的撤退<あきらめ>しました あと2500歩くらいです。 2桁違うって清々しいですね! パンでピースとふらいんぐうぃっちとはいふりを見終え AIRの一挙に手を出し リトバスのTSができたてほかほか・・・うう・・・忙しい まあ、kanon以外は見たことあるので、kanonほどの重圧感はないです 何気に楽しみにしているのがリトバス 僕の中ではkey作品のトップはリトバスなのです。 ただ、kanonをコメつきで見て「リトバスはkeyの中でも一番”俗っぽい”」って誰かが言ってた意味が分かった気がします kanonもなかなか全俺ランキグンの上位に食い込んできやがりました ふらいんぐうぃっち最終12話を、たまたまvitaではなくPCで見たおかげで タグの「そっ飛び」タグで勘違いをすることができました。 てっきり11話と12話同時に配信されてるよー って意味の「そっ飛び」だと思っていたのです。 |
カレンダー
カテゴリー
最新CM
[08/08 さつ香]
[12/30 buy steroids credit card]
[09/26 Rositawok]
[03/24 hydraTep]
[03/18 Thomaniveigo]
最新記事
(01/01)
(03/19)
(03/18)
(03/18)
(02/23)
(02/14)
(02/12)
(01/03)
(09/23)
(09/23)
(02/11)
(05/30)
(05/28)
(05/28)
(05/27)
最新TB
プロフィール
HN:
量子きのこ
年齢:
44
HP:
性別:
男性
誕生日:
1981/04/04
職業:
WinDOS.N臣T
趣味:
妄想・計算・測定・アニメ
自己紹介:
日記タイトルの頭についてるアルファベットは日記の番号です
26進数を右から読みます 例:H→7番目、XP→15(P)×26+23(X)=413番目。 A=0とする仕様につき一番右の桁はAにできませんのでご了承くださいズコー
ブログ内検索
アーカイブ
最古記事
(05/11)
(05/11)
(05/13)
(05/13)
(05/13)
(05/13)
(05/13)
(05/13)
(05/14)
(05/14)
(05/14)
(05/14)
(05/16)
(05/16)
(05/16)
アクセス解析
|



