|
20080511~
13と7と11の倍数の論理積は13と7と11の積の倍数である。
和ァ・・・
× [PR]上記の広告は3ヶ月以上新規記事投稿のないブログに表示されています。新しい記事を書く事で広告が消えます。
先日のフレネルレンズの日記
よく考えたら凹面鏡と凸面鏡を逆にイメージしていたことが判明しました。 凸面鏡で見た自分の姿は、凸レンズで見るように大きく見えると勘違いしていたんですよ よく考えたらこれおかしいじゃないですか。 道路に突っ立ってる安全のための凸面ミラー、あれって視野を広げるためのものなんだから その分、同じ物体を映すんだとしたら、小さく見えるって考えるのが自然じゃないですか なんか、魚眼レンズとごっちゃにしてたんですよね。 やーあのレンズ型うちわがグニャグニャ曲がるやわらかタイプでよかった。 曲げてみて初めて気づいたんですよ。 こうして、量子きのこは今日もネタ切れを自分のミスのしりぬぐいで回避するのだった・・・ イイハナシダナー ![]() にほんブログ村 PR
ド・ジッター宇宙
宇宙には始まりがあるが、終わりはない・・・無限 ☆にもまた始まりはあるが、自らの力をもって滅びゆく・・・有限 永遠は無限ではない 我々宇宙の中に巣食う物質どもは、この宇宙の寿命にみな嫉妬している。 誰もが、「宇宙を殺して俺も死ぬー!」と心の淵では思っていることだろう そのような、インキュベーターに言わせれば「寂しい未来」しか待っていないこの宇宙に どうして我々は住んでしまったのか。 ドジったのは宇宙か、我々か、あるいはこの宇宙をド・ジッター宇宙と名付けるように収束させたアトラクタフィールド的ななにかなのか、それとも「どうしてもダジャレに見えてしまう」日本人なのか それでも宇宙は自分を中心に回っているのではないか 自分を中心とした、同心円の日本という中心 これではまるで、天動説ではないか!そうか、これがゲート・オブ・ガリレイの選択・・・ 逆コペルニクス的転回(縦読み)・・・ そんなものはない! ああ、そういえばですね 「素粒子論はなぜわかりにくいのか」 を、いったん返してはいるものの、図書館で借りて途中まで読んでるんです。 これが結構面白いんですね。 こういう本を待ってた!的なレビューをされることもしばしば。 この宇宙に粒子なんかこれっぽっちも存在しない!って言いきっちゃってるのが潔いです さらさらっと読んでみた時にかすかに映った「粒子なのか波なのか論争」 ・ボーア派「そんな質問は無意味だ」 ・ドブロイ派「パイロットウェーブ」 ・私派「あくまでも波」 というところで、またこの人もトンデモか~?って思いましたがそんなことはありませんでした。 ちゃんと3つの流派ともフェアに代表者1人だけ挙げてありますし。 まあ、副部長的な残りの代表者も気になるんですけどね。 「どの本も、疑って見てみることをお勧めする」なんて書いてあるので、まあ大丈夫でしょう 粒子と波は、本当に似たような振る舞いをしますね 天井に点状の蛍光灯をつるした時に思ったんですが 棒状の蛍光灯と比較する話は、ほとんど点電荷と棒状電荷からのクーロンの法則とソックリです この著者の、「物質の運行は錯覚だ」といってるあたりのたとえ話がなかなか秀逸でして ブロック崩しゲームを例に挙げてるんですが ポータブルゲーム機の液晶にある画素1つ1つにRGBの3種類の明かりがあるじゃないですか 宇宙には「場」というものがあって、それは空間と一緒に動けない仕様になっている Q.じゃあ物質はどうして動いてるの? A.我々が「動いている」ように錯覚しているんだよ まるでパラパラアニメがすべてだ!俺たちがパラパラアニメになることだ! といわんばかりのアレ! 場というのは液晶の上で光っている画素のようなもので、動いているわけじゃない 光の明滅が、ブロックやボールをさも動いているかのように錯覚させているんだ そして、その明るさは場の値に相当するが、この「場の値」というのはマクロな波でいうところの変位とかそういうものじゃない。また別の物理量だ この場にはRGBのようにいくつも種類があって、素粒子の種類だけバージョンがあり、クォーク場なんてのもある と書いてありました。面白いです。 ![]() にほんブログ村 どうして、我々は地球に住んでるんでしょうね 太陽系のメンツは個性的すぎると思うんですよ。 そのうえ、月という極めてドラマチックな存在があの過程で誕生しなければ生命が誕生しえないかもしれないかと思うと 宇宙一大浴場とか、あまんとと惑星ニッポンとか言って諸外国事情を全部宇宙に丸投げできるとかいうのも、案外普遍的なものなのかもしれないと思うんですよね。 月ナシで火星に生命や文明が存在したら、やったぁー月なんていらんかったんやー! って大喜びできるんじゃないすか。 まあただ、そういう政治と娯楽のしわ寄せのためにMIBが宇宙人の証拠を消してるんだとしたらこれほどアホ悲しいこともありませんけどね あるいは、どこの生命や文明が生じた環境にも、周囲に個性的な天体現象が10個くらいはあるのかもしれませんけどね そういう確率なのかもしれない 我々はその確率の値がどのくらい妥当なものかすら知らないわけですよたぶん
よく考えたら、可視光域って400~800nmと、1オクターブ程度しかないんですよね。
可聴域が10オクターブ(約1キビ倍)あるのと比べるとずいぶん狭いですよね なるほど、可視光で和音(和光)は無理か・・・ うーん、1.5倍はかろうじて可能すなぁ でもそういう原理で混色してるわけじゃないんだよなぁ どうでもいいけど「可視光」と「可聴」の文字数をそろえたい衝動に駆られる。 可視光って光なら聞こえるんじゃなくて見えるのが当たり前だから可聴と可光でも構わないし あえてパリティビットとして視光と聴音の冗長性を設けるなら可視光と可聴音ですよね。 可聴音域と可視光域もちゃんと現行の言葉として定着しているし、文字数も意味もぴったりだ なんてこった、今日の日記は背理法コントだったのか カトウ「あえて合理性のない事実をつきつけることによって、笑いを引き出させるロジックね」 僕はうざいくらい直球で説明してくれるナレーターの方がいないと、笑いのロジックにいつまでも気づけない 直球表題ロボットアニメ
フレネル回折の時代からあったとは・・・
てっきり、もっと最近特許を取ったような発想かと思ってました。 ATMとかにある、ギザギザで薄っぺらい防犯用凸面鏡のアレです。 これ、最近だとうちわも兼ねてるんですけど ハーフミラーとして使う場合、鏡ときどきレンズってことじゃないですか。 虫眼鏡なので凸レンズだと仮定すると 鏡としては凸面鏡、つまり自分が大きく映ることを期待したんですが まさかの「小さく映る」オチ・・・ そのうえ、反対側から見ると等身大鏡として作用するんですよ・・・ もしかして、お互いに向こう側からの反射(いったん媒質に入ってからの反射)が効いてるんでしょうか・・・?なんで光さんはそんな回りくどいルート選ぶかな・・・フェルマーの最小原理はどうしたよ!? あ、もしかしたらテレビで言うゴーストも見れるんじゃね? 職場にあって今見れないので、今度職場に行ったら試してみます!→追記&訂正(11/17日記) というかウチにも1つ買いたい。 そうだ、光を当てよう!重力波観測のためにマイケルソンモーリーの実験をするんだ!税抜き300円でなぁ! ![]() にほんブログ村 税抜きで思い出したんですが、8%の税込価格324円を税抜きにしたい場合 324/1.08=300としますが 0.08<<1なので、テイラー展開で近似すると 1/(1+0.08)≒1-0.08=0.92なので 324×0.92=298円になるんですよ。 世知辛いですよねえ 消費税率がアップすると、だんだんテイラー展開ネタが通用しなくなってくるんですよね 他の身近な例を探さないと。 税率30%とかだともう近似ってレベルじゃなくないですか。北欧(神話)かっ! まあ5%のときは3や5や7、15、21、35の倍数ネタが、8%のときは3とか9とか27の倍数ネタが使えるのでこれはこれで楽しいんですけどね (1+消費税)×100が素数にならないことを祈る 787が素数ってときは絶望しかけた。 wikiったときに何かネタがあったようで安心した覚えがあったんだけど、今wikiったら特になかった。なんだったんだろう?いや、回文とかどうでもいいし
サブタイ間違えたその8だったごめん
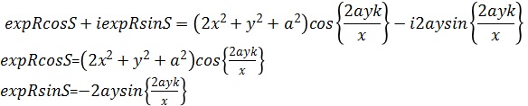
ブラウニアン量子、前回までは! ネルソンの確率力学(確率過程量子化)で 二重スリットに手を出した。 計算が合ってるのかあってないのかよくわからない あらすじおわり。 ========== どうもこの波動関数の式の、虚部がマイナスではなくプラスだった点と 三角関数の中身が2ayk/xではなく1ayk/xだったところが間違っていたようだ。これでは縞模様のシマが倍になってしまう。 素直な力技と、近似した解析計算とで、RelnΨ+ImlnΨ同士を比べてみた。 これが素直に力技で計算させた数値計算結果 r1=√{x^2+(x-a)^2} r2=√{x^2+(x+a)^2} Ψ1=exp(ikr1)/r1 imexp、improduct、imdiv Ψ2=exp(ikr2)/r2 Ψ=Ψ1+Ψ2 imsum RelnΨ+ImlnΨ imln、imaginary、imreal こっちが、√(1+x)≒1+x/2で近似して式展開した解析計算の結果 これが「数値計算」と「解析計算」の差分 ちゃんとほとんどのところでフラットになっている。 なぜかほぼ全部約1.39だけ異なるらしいことはまああまり気にしないでおく。たぶん複素数特有の多価関数の主値がなんたらってとこだろう。1.39は特にπの整数倍ということでもないが、まあいいや。1.39/π≒4/9なんだこりゃ? xとyでの偏微分は、式が煩雑になって嫌になったので、この式のまま続けるのはやめた。 「縞模様の間隔y」と、「スリット同士の間隔a」が、「スリットからスクリーンまでの距離x」に比べて十分小さい つまりa<<xかつy<<xのとき、 さっきの式 は大幅に近似でき こうなるので P=RelnΨ+ImlnΨは Pの偏微分 ∂P/∂xと∂P/∂yは以下のようになり これをネルソンの確率力学(確率過程量子化) に当てはめると このようになるようだ。 ![]() にほんブログ村
二重スリットの波動関数、途中あちこち計算間違いを発見しつつも
近似をルートの展開 √(1+x)≒1+x/2 (x<<1のとき) だけにとどめてやってたんですが xとyによる偏微分を行った時点でくっそこぎたねえ式にしか見えなくなって(僕視点) むなしくなったのでもう思いっきり近似しちゃいます>< 縞模様は小さい!スリットからスクリーンまでの距離は長い!スリット同士の間隔は短い! 太陽が昇るまたはHIGASHIsm いそがなくっちゃ!がんばらなくっちゃ!なんだかわかんないけど!! でもやっぱり明日にしとこう ![]() にほんブログ村 やらなきゃいけないことが今も山積みになってるけれどいつもギリギリに追い込まれて慌てるとわかってるのに
まずヤングの実験を1回やったことがあったかどうかってのがつらい。
スケールがわからない。わからないから、どの近似シミュレーション結果をどのスケールに適応させたらいいのかよくわからないし、果たしてあってるのかどうかもわからない あーやばいやばいダラダラと式書いてあれ全部ゴミだったら相当鬱だなぁ r1=√(x^2+(y-a)^2) r2=√(x^2+(y+a)^2) Ψ1=exp(ikr1)/r1=imdiv[imexp{improduct(i,k,r1)},r1] Ψ2=exp(ikr2)/r2=imdiv[imexp{improduct(i,k,r2)},r2] Ψ=Ψ1+Ψ2=imsum(Ψ1,Ψ2) P=RelnΨ+ImlnΨ=imreal[{imln(Ψ)}+imaginary[{imln(Ψ)} ∂P/∂x ∂P/∂y 漢は黙って素直に力技!やっちまったなぁ! 数値解析に逃げ出したくもなる ネルソンの確率力学(確率過程量子化)ってのが実質「量子の古典化」みたいなもんなんですけど 古典化した二重スリットがまず何を意味するのかわからないorz 解に近づいてるのか、遠のいてるのか、わからない いろいろアプローチをとるたびに、以前の計算テーマなら整合性が取れていくところなのに 全部バラバラの答えが出てくるから困る おまけに、参考にしてる書籍のレビューが「誤植に定評のある」だからなぁ・・・どこがどう誤植なんだよ!!!!著者の名誉とトレーサビリティどっちが大事なの!前者ですよねぇー!何が真実よ!馬鹿なの!?死ぬの!? 15年くらい前の8cmのCD-ROMを初めて開けました すごく・・・式のネストが多かったです・・・ ![]() にほんブログ村
ブラウニアン量子、前回までは!
自由粒子(とその重ね合わせ)の、雑音成分を含まない粒子の運動を、位置-時間ダイヤグラムにしてみた。 あらすじおわり ええと・・・見切り発車的に二重スリットに手を出してしまって正直すまんかった。 だって読者の意向がどうであれ、僕が今二重スリットの計算をしたかったんだもん ========= 今回はいよいよ雑音成分を含ませてみる。 ネルソンの確率力学(確率過程量子化)がいうには、このAという雑音成分は、平均値がゼロで、標準偏差(分散)が1の正規分布の(疑似)乱数で定義される。 Excelには0から1までの一様乱数関数rand()しかないため、これを正規分布にするために 簡易的に rand()+rand()+rand()+rand()+rand()+rand()+rand()+rand()+rand()+rand()+rand()+rand()-6 という計算式を使うことにする。 念のため断っておくが、標準偏差を1にするために 12*rand()では駄目である。 あくまで独立した一様乱数が12個必要なので、数式のところに12個コピペする。 ちなみに、マイナス6をすることによって、平均値がゼロになる。 どうして一様乱数ではだめなのかというと たとえば0から1までを等確率で出すrand()から0.5を引いたrand()-0.5があったとして、それが量子ゆらぎだったとしよう マイナス0.5からプラス0.5までの値がランダムに襲ってきて粒子を左遷するわけだが 0.1だけぶっ飛ばされるのと-0.4だけサーセンされるのが同じ確率で襲ってくるのはやはり不条理だろう だから、0.1だけやんわりとぶっ飛ばされるのは-0.4だけキビシーくぶっ飛ばされるよりも高確率であってしかるべきだ みたいな感じの理由である。 僕もあまり詳しいことはわからないんだすまん とにかく、正規分布を表す式というものがあって このようになっている。μが平均値でσが標準偏差(σの2乗は分散)であるが 部品の値がxになる確率をf(x)とすると どうしてか、物事の起こり方の多くはこの分布に従うらしい。 たとえば値xの部品や人間を作るとき、xの精度について3σの塩梅を心配したりするのだが この現象が正規分布に従う場合、平均値から±3σ、つまり幅6σの間に99.73%(ほぼ100%)が収まることを利用して、「3σ調べといて~」というやり取りがよく行われるようだ。 平均値μはave(rage)、標準偏差はstdevとかそんな名前の関数だったりすることが多い。 (ちなみに、再計算のたびにヒストグラムを再計算できるようにと、アドインなしの関数で計算させる方法を度忘れしたのでぐぐったら、frequency関数というものが出てきた。ヒストグラムを作る際に配列関数のctrl+shift+enterなんてした覚えはなかったので、以前使ってた2003にはfrequency関数はなかったんだろう 2007か2010あたりで加わった関数のようだ。2003ではcountifだったかcountifs関数を使っていたらしいことも判明した) この簡易に作った正規分布の乱数をAにぶち込むと、前回までの粒子のダイヤグラムはこのように変化する。 g=0 g=0.05 g=0.5 過去へと続く ![]() にほんブログ村
いつからかわかりませんが僕は昔から「技術の積層化」というよりかは「ブラックボックス」が苦手でして
中身が分からないといじる気になれない性分なんですね。 「中身がなんであれ使い方がわかればそれでおk」という立場がどうも性に合わない まあそれを言ってしまえば今PCにそれなりに慣れてるのはどうなんだ?といわれると合わせる顔もありません。 PCとかExcelとかはですね、たぶん「屋外に出て仕事をするようになって虫に慣れてきた」みたいな感じで、要は慣れなんだと思います。あと若い頭と青春の力でしょうか。 そんなスタンスでなおかつだいたいスタンドアローンな生活を長く続けてきたせいで 伝える相手の何がだいたいわからなくて何がだいたいわかって どこからどこまで説明したらもっともらしいのか がよくわからなくなってきてるんです。 無知の知が足りない、というにはしょぼすぎるんですが、まあいわゆる無知の知が足りない状態なんですわ。 でもここでもし、モジュール化のスタンスを素直に取り込めるとなると もしかしてこれはすごいことになるのではないか!? と昨晩(~22:39)トイレの中でふと気づいたんですけどね ブラックボックスについて、だいたいの人にわかりやすい取扱説明書を作るっていうのは これはまさしく無知の知を補う行為なのではないか と思ったんですよ。 もちろん完全に補うことなんてのは不可能でしょうが、努力する価値はあると思うんですね やる気と能力さえあればね・・・ 能力には「フィードバックしてもらえる人徳」も含まれます ああそういえばですよ 僕は職場でよくムッツリしてるんですが(かといってスケベというわけでもない) どうも雑談に共感できないみたいで ただ、一言会話するだけで「共感」が生まれたような体験を先日したんですよね 抵抗なくそのあとの会話に参加できたんですよ。 ![]() にほんブログ村
まだほとんど計算したことがなかった/憧れてた とはいえ、ネルソンの確率力学(確率過程量子化)でいきなり二重スリットを対象にしたのは結構な無茶ブリでしたね
自由にどうぞっといーわれてもー無ー茶ーブリーすぎーてー 対数を取るんだから、中身が実数な束縛状態から始めればよかった^^; なんでよりによって本質的に複素数な自由粒子から始めたんだろうwwww 思えば水素原子もれっきとした束縛状態だから、すべてではないにしろ波動関数が実数化されるのは当然といえば当然なんですよね 実数化しきれてないのと縮退がどう関係してくるのかはおいおい勉強することにしましょう・・・ 実数化とおブザーバブルは確か何か関係があったのだから、縮退してるということはオブザーバブルが不完全ということなのでしょうかね 今日は便器と便座の合体を手伝わされて、そのあと祖母の送迎を2回弱行ってからの仕事だったので疲れました。 ブックオフに祖母を連れて行ったのですが、フィギュア化されたあげく売れ残ったまなべのどかのメガネを見て あ!これストロボのフジーのかけてるやつだ!って思いました。 カトーは本体を概念から形而下の存在に修理してもらっていたのでしょうか さすがモリー、ハイブリッドなパラメーターを持っているだけのことはある! あ、そうだ!変数分離と対数化は相性がいいですよ! 水素様原子の電子殻の状態はかなりバリエーションがありますからね 全体の波動関数Ψが動径rのみの関数Rと緯度φのみの関数Φと経度θのみの関数Θの積になっているなら、 その対数は単純にそれぞれの対数の和になるはずだから、テンプレ素材として都合がいいですよね!たぶん lnΨ(r,φ,θ)=ln(R(r)Φ(φ)Θ(θ))=lnR(x,y,z)+lnΦ(x,y,z)+lnΘ(x,y,z)が期待できそう。いや、できるだろ当然 先日検算のために、エクセルのimln関数(入出力:複素数)を使ったうえで数値微分をしてみたんですが できることなら数値微分を活かせるといいかもですよね いちおうは水素のRとΦとΘの微分方程式をほぼ全自動で数値解析的に解くファイルは作ってありますからねえ ただ問題はもうひとつ、座標変換ががが・・・やっぱり解析的にしたくなってきた クリスタルガラスを超えたいなぁ~マクロなしで。 でも超えるからにはクリスタルガラスをどこかの3Dプリンタで作ることもしないと超えたとは言えない 3d彫刻を重粒子ビームでよりピンポイントに行うよー! ![]() にほんブログ村
(忠犬秋山殿、みほをよろしくおねがいします)→その結果がマウスかよォ!
(マウスを仕留めたらみほも自信を取り戻せるかもしれない) あくまでも本気を出して戦って負ける戦略のように見られがちだが、実はまほ殿の「速い足を注文したつもりが厚い皮膚が届いてしまった」戦車誤発注なのであった。 ご注文は速い足ですかぁー? ペチノホウガモットハヤクマワレルヨー ![]() にほんブログ村 アリクイさんチーム、残念ながらマカロニ作戦では未搭乗につきアリ食えず |
カレンダー
カテゴリー
最新CM
[08/08 さつ香]
[12/30 buy steroids credit card]
[09/26 Rositawok]
[03/24 hydraTep]
[03/18 Thomaniveigo]
最新記事
(01/01)
(03/19)
(03/18)
(03/18)
(02/23)
(02/14)
(02/12)
(01/03)
(09/23)
(09/23)
(02/11)
(05/30)
(05/28)
(05/28)
(05/27)
最新TB
プロフィール
HN:
量子きのこ
年齢:
44
HP:
性別:
男性
誕生日:
1981/04/04
職業:
WinDOS.N臣T
趣味:
妄想・計算・測定・アニメ
自己紹介:
日記タイトルの頭についてるアルファベットは日記の番号です
26進数を右から読みます 例:H→7番目、XP→15(P)×26+23(X)=413番目。 A=0とする仕様につき一番右の桁はAにできませんのでご了承くださいズコー
ブログ内検索
アーカイブ
最古記事
(05/11)
(05/11)
(05/13)
(05/13)
(05/13)
(05/13)
(05/13)
(05/13)
(05/14)
(05/14)
(05/14)
(05/14)
(05/16)
(05/16)
(05/16)
アクセス解析
|











