|
20080511~
13と7と11の倍数の論理積は13と7と11の積の倍数である。
和ァ・・・
× [PR]上記の広告は3ヶ月以上新規記事投稿のないブログに表示されています。新しい記事を書く事で広告が消えます。
ブラウニアン量子、前回までは!
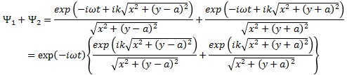
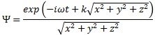
2015/11/11訂正 ・・・えーと・・・やるべきこととやりたいことが一致しなかったため、 話が飛んでしまいました。 無自覚気味な束縛をちょっとされてるMっ気自由粒子の量子力学的運動を、 ネルソンの確率力学(確率過程量子化)を用いて計算・描写してみた。 あらすじおわり ========= 今回は二重スリットに挑戦してみる。 以下の図のような2つのスリットから出る球面波の波動関数ψ1とψ2が重なった状態を考えることにする。 3次元中の球面波とし、 また、aや波の波長λ、出来上がる縞模様の間隔よりも、スリットと波の到達点との距離Lは十分大きいものとする。 ここで、Lが十分大きいため、テイラー展開を用いてルートのわずらわしさをなくす。 (Lではなくxと書いているのは、Lに至る任意の、ただし十分大きなx座標の情報を知りたいからである) 結局こうなる。 波動関数の絶対値の2乗を取って実数に可視化するとこうなる。 グラフ化するとこうだ。 つづく 由緒正しき確率波兵器~カメハメ波~@なのせいば~ ![]() にほんブログ村 PR
ブラウニアン量子、前回までは!
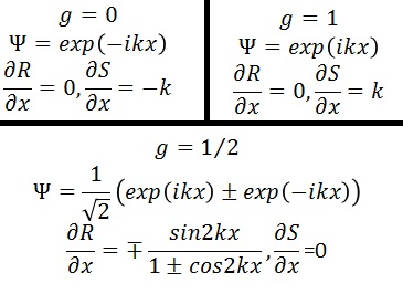
プラスkとマイナスkを任意の重みで含む自由粒子(束縛もされてるんだけども)の、ネルソンの確率力学(確率過程量子化)の解析計算をした! あらすじおわり。 =========== それではエクセルに実装してみることにしよう。 この式の、rベクトルを1次元のxとして∇を∂/∂xとし、 今回もまだ量子ゆらぎ成分A=0のままとする。 ψとΨが混在しているが、同じ波動関数を指すものとする。ごめんね! 粒子の質量mとディラック定数ħは1とする。 x=1という共通の初期値からスタートした自由粒子がどのように変位するのかを表したのが下のグラフである。プラスkとマイナスkの波数(運動量)は、√(g):√(1-g)の比で重ねあわされている。 gを0~1に動かしていくと、 ①g=1/2付近の、プラスkとマイナスkが等分配で重ねあわされているときに、運動量=0による不確定性原理から位置が離散的になっている。 ②g=0のときは完全なマイナスのkに支配されるので、古典的な粒子のように等速直線運動をする。 ③g=1のときも同様に、完全なプラスのkに支配されるので、古典的な粒子のように等速直線運動をする。 ここまでのことは前回までのシリーズで理解したところなので、復習がてらの確認となるが 0.2<g<0.8の状態がg=0.5とほとんど変わらないことがわかるだろうか。 また、g>0.8やg<0.2のときに、自由粒子と束縛状態の中間のような挙動を示すのが、おわかりいただけただろうか・・・ 等速直線運動でもなく、位置が完全に離散的になるでもなく、なんとなくフラフラと移動するのである。 断っておくが、まだ量子ゆらぎの項はゼロのままである。A=0 もしかしてこれが俗にいう、小澤の不等式の内容なのだろうか・・・?? ついでに、位置xの初期値とgの両方を動かしながらグラフを動かしてみたのがこちら。 位置xの初期値を変えてもオレンジがπの半整数倍、青が整数倍の位置をなるべく保ちながらも、時々束縛状態を離脱して等速直線運動をするのが見て取れるだろうか。 また、初期値を変えてもやはり、gの値によっては量子ゆらぎもないのに収束もせず等速もせず、フラフラと動く場合が見受けられる g=1/2に固定して、初期位置xをヌルヌル動かしたのがこちら どこぞのミオシンのような尺取り虫っぷりが笑える g=0.05 おもしろ興味ぶかいぜ! ![]() にほんブログ村
この歳になってようやく、僕は僕自身について、「ゲームを素直に好きになれないゲーム好きなのかもしれない」という認識が芽生えた。
まだプログラミングに勢いがあったころに作った、エクセルを簡易シーケンサにするマクロで いざ矩形波の和音を出した際に、「あ、これはゲームの音っぽい」という理由で気分が悪くなったことがある。 「プログラミングを素直に好きになれない元プログラマ」と「技術の積層を素直に好きになれない合体ロボ好き」については少し以前から自覚はあった。 とにかく、数学の本でもゲーム(あみだくじやトランプの神経BBA抜き、マジックトリックなど)に例えられると気分が悪くなってわけがわからなくなるほどゲームに疎いわけだが 10年くらい前の知人にテトリスが鬼のように強い人がいて 「数学とテトリスが結びつけば鬼に金棒なのではないか」 ということに、つい昨日気がついた。 人にものを説明する際に、「推論」や「論理回路」の技術を意識して駆使する人はあまりいないだろう。 だからこそ、その日そのときの気分で文面や口調が微妙に変わるのは当然なのだろうが もしここに、「推論」や「論理回路」のノウハウを生かした、いわば「工業用トーク」を使いこなせる人間がいたらどうなるだろう? より精神的ストレスのない仕事ができるのではないだろうか。 「一筆書き」という具体例を挙げてみる。 習っていないと、どこから手をつけたらいいかわからないが、 一旦、電気で言うところのキルヒホッフの電流法則めいたものを使うことで、nを整数とするn芒星はすべて一筆書きでき、そのやり方もすぐに見つけることができる。 同様に、ある定理をあらかじめ知っているかどうかによって、仕事術が格段に異なるということは往々にしてあるとおもう。 しかしながら、人間がものを覚える際には、印象というものがかなり大きなファクターになってくるので、ブロックのように定理を覚えて仕事するというのは、実はその定理たちを知らないのと同じくらい非効率なのかもしれない。 むしろ、その定理を漠然とでもいいから導出しようとする過程で親近感を持ちつつ 導出に成功あるいは、すんでのところでネタバレwikiを見るなりしたほうが身に付きやすいのかもしれない。 話をテトリスに戻そう。 その人がどうだったかはわからないが、テトリスがちょううまい人全員が数学と結び付けているとは限らないだろう。 数学とは別に、気分転換で熟練に達した人にとっては、テトリスはあくまで感覚的な遊びであって数学という本業ではないかもしれない。 しかし、昨日久しぶりに数式を解いて思ったのは 数式に「単純に記述しやすい状態」があるように、テトリスやぷよぷよなどにも、「フィーバーして泡のように全部消えるチャンス」というのがあるのではないか そしてそれは、数式のときと同様に、「あるのかどうかわからない」のではなく「あるべくしてある」のではなかろうかと、そう思ったわけだ。 必ず、1ゲームの中に1つはそんなチャンスが見いだせる それがゲーム制作者によって作られた仕様なのか、それとも数学的事実なのかはわからないが ある程度極めたゲーマーにとっては、「そのようなチャンスが訪れるかどうか」という不安は些細なことなのかもしれない。 むしろ「そういったチャンスを能動的に作り出してやる!」くらいの自信に満ち溢れていたら、それはそれはたいそうストレスフリーで楽しい遊びとなろう。 そのような発想が、34歳になるこの歳までずっと、なかったのだ。 ![]() にほんブログ村
ブラウニアン量子、前回までは!
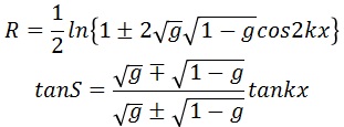
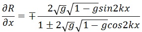
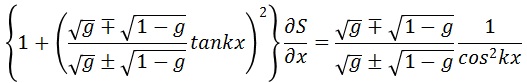
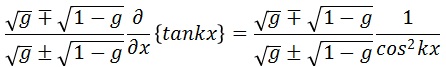
プラスkとマイナスkを同じ重みで含む自由粒子(束縛されてるんだけども)の、ネルソンの確率力学(確率過程量子化)の計算をした! あらすじおわり ======== プラスの波数kとマイナスのkを任意の割合で重ね合わせて計算してみたいという欲求が当然出てくる。 これの結果 である以下の関係を使ってみよう expR1=√g、expR2=√(1-g)、S1=kx、S2=-kxと定義すると なので、RとSはそれぞれ次のように求まる。 このRとSをxで微分する。まずRは このようになる。 問題はSの微分だが、合成関数の微分を使うと左辺は このようになる。 右辺は なので、左辺と右辺を比較するとこうなる。 ただし、左辺のSをなんとかしないとこの式は解けないので、三角関係同士の関係 を使うと、 このように、Sの微分をxの関数だけで表すことができる。 種々の変形を施すと、Sの微分は以下のように書ける。 これを、g=0、1、1/2のもとで検算してみると となって、10/21の日記ともちゃんと符合していることがわかる。 まとめ 自由粒子の波動関数を任意の重みgで重ね合わせた場合の ネルソンの確率力学(確率過程量子化)は 以下のようになる。 復号同順 ![]() にほんブログ村
ブラウニアン量子、前回までは!
ネルソンの確率力学(確率過程量子化) (rは座標のベクトル、mは粒子の質量、ψは波動関数、Δtは時間の刻み幅、∇は3次元空間による偏微分、Reは実部、Imは虚部、ベクトルAは平均値がゼロで分散が1の乱数、そしてhにバーがついたのはプランク定数である) にしたがうと 一次元の束縛状態にない自由粒子の波動関数の重ね合わせが の場合はΔx/Δt=-Atankx 次のような場合は、 Δx/Δt=Acotkx であることがわかった。 これは物理的にどのような意味合いを持つのだろうか あらすじおわり。(AやBは定数、kは波数) ========= Δx/Δt=-Atankxというのは、x=0で速度がゼロ、xがプラスだとマイナスタンジェントの割と強い復元力、バネのようなもので原点に戻されるイメージだろう どうして原点に戻されてしまうのだろうか? とりあえず雑音成分ベクトルA=0の状態で、x-tの図をグラフに取ってみると、 xが最初からゼロでなくても、時刻の経過とともに、すぐにゼロに収束する状態が描かれる。 また、Δx/Δt=cotkxの場合は、π/2に収束するようだ。 xの初期値をいろいろ変えてみても同様だった。x1がtan、x2がcot ここで、初期値の範囲を0~1から0~10に変えてみよう。 すると、収束先がゼロとπ/2以外にもあることがわかってきた。 (コ)タンジェント関数がπ周期の周期関数だからである。 図の右のほうに青めの文字で「収束先の位置/(π/2)」を表示するようにしてあるのだが 見事にどれも整数になっている。 つまり、収束先の位置がπ/2刻みに離散化されているというわけだ。 (うっかりしてた、π/2じゃなくてπみたいだ。x1は偶数、x2は奇数になっている) 波数kも変えてみた。今度は青文字にxk/(π/2)を表示してみた。するとやはり整数になった。 ということはこれは紛れもなく不確定性関係ではないか。 なぜ束縛していない量子が不確定性関係を築くようなDV環境になってしまったのだろう? と思ったが、事は単純だった。 「波数プラスkとマイナスkを同じ振幅で重ね合わせ」にしたのだから、運動量がゼロに固定されていたわけだ。これはまさしく束縛状態だ。だから不確定性関係にしたがって位置が離散化されて当然だ。 みんなも、無自覚なDVには気を付けよう! つづく ![]() にほんブログ村
8時間労働を毎日続けてたら、必ずどこかで心身ともに吹っ切れて、病院送りになるくらい虚弱なんじゃないかって気がします。ねむい
みんながみんな、8時間労働が適してる根拠なんてないですよね?? というか週休2日制と8時間労働は何を根拠にしてるんだろう まったく残業してこなかったのに過労死、なんてケースもあるんじゃないかな 僕は、僕より弱いやつに会いに行って、そいつよりさらに弱くなって帰ってきてもいいですかね? や、やさしい世界を・・・まあ冗談ですけど。 ![]() にほんブログ村 ところで、時速40キロ制限の道の時速40キロの根拠もよくわからないところってありますよね なぜ30じゃなく50じゃなく60でもなく40なのか、まあなんで10刻みなのか野暮なことは聞きませんが いうなれば似たような地層の指標を引っ張り出してきて、これに似てるから同じにしよう、って、炭素年代測定もろくに行う余裕がなかったアレに似た感じでしょうか でも雪が積もったら・氷が張ったら標識が変わる、高速のような看板に全部すげ替えもひどい話かもしれませんね 宙に浮く車が崖から転落しても事故る意味がない・・・っていうのは タイムマシンでも完成しないと議論しても無意味なんでしょうか。ヘビィな話ですが。
そういえば昔、見えるラジオとかあったよね・・・
ところで、ネットの急速な普及によって、無限大な夢のあとの何もない世の中を勝手につまらないと思っている読者のみなさまいかがお過ごしでしょうかこんにちは。 この時代に来てgdgdラジオのアドリブパートをアニメにぶっこんできた功績は大きいと思うんです! アニメがバラエティ化するのを、テレビ(芸人)ではなくラジオ(声優)という媒体で緩和したのも結構キてると思うんです! 未来のことは、誰にも分からない。だからこそ、この再会が意味するように、無限の可能性があるんだ。 これが……、これこそが、シュタインズゲートの選択だよ!!!!フゥーハハハ! オプティマスこはるんの量子ゆらぎは着地できるかどうかすらわからないスリル感がなかなか楽しいですよね 直球表題ロボットアニメの最終回にて、「笑いというものは笑わせる側の技量だけではなく、笑う側の余裕もあってこそのもの」だということがようやく確信できました。直球で言われないと気づかないタイプですこんにちは。 そしてもうすぐ13話目が届きます。 最終回のどんでん返しと感動を再度ぶち壊してでも、ハッピーエンドを切に望んでいます。 噂では13話を見たかどうかで2期があるようにも思えるしないようにも思えるらしいですからね 世界が続いてるのに世界の中の人だけ滅ぶっていう設定が嫌で嫌で仕方がないんです! バッドエンドなんて絶対認めないかんな!そんなの途中経過だ!途中にすぎないんだよォ!!!!
CKM行列の、3世代あればいいんだ!これならCP対称性の自発的破れが記述できる!
のくだりを体感できないものかと悪あがきをしてみましたが、 無謀すぎましたorz >2.ユニタリティーの制限により、対角成分は N個、それ以外の成分は N(N-1)個 の制限がある。よってユニタリー行列で独立な実数は N^2 個となる。 ここはなんとなくわかるんです。 ユニタリを生成するための、expにぶち込むエルミートの自由度を考えればたぶんそのままですから。 追記:でもそういえばおかしいですね、N×Nエルミート行列の自由度はN^2-1だったはずなのに・・・ >3.位相の1つはクォーク場へ吸収できる。全体に共通な位相は吸収できない。よって独立な数は (2N-1) 個であり、変数は (N-1)^2 個となる。 ここでお茶を濁されるんですよ!><クォーク場ってなんだよ!しらねえし! なもんだから、実際に3×3複素の生成子をexpにぶち込もうとして、手始めに固有値を求めようとしたとたんこれですよ・・・ んな3次方程式、解析的にとけるかーい!!!!骨折れるわ骨が折れる! まあ、2次の項が消えたんで、少しは解きやすいんでしょうけど このあとに固有ベクトルの算出と対角化と、指数化まで待ってるのかと思うと実にヘビィっす>< まあ要は、N=3の3×3行列にすると、複素位相が1個でてくるんだそうで、これがCP対称性の破れにつながるんだそうですよ にしてもなんなんでしょうね、クォークの周りには3行3列の複素(ユニタリ)行列がつきまとうようです。 グルーオンの内訳とクォーク混合は必然的な関係はありませんよねえ?あくまで3つのカラーと3つのフレーバー(世代)の話だし カラーの総数=世代数=3って必然性や連動性は特にないはず ![]() にほんブログ村
定性的な理解としては大したことありませんでした。ニュートリノ振動と同じ要領です。
というか、クォーク混合のほうが先らしいですね。クォーク混合をヒントにニュートリノ振動という現象を予想したようです。 質量だけが異なる、似たような3種類の粒子は、見分けがついてないかもしれないよね? ってだけの話です。 つまり、3種類のニュートリノを、我々が見ている状態はあくまで重ね合わされた結果であって もともとの状態とは違うよ? といっているのと同様に 3種類のクォークを、我々が見ている状態はあくまで重ね合わされた結果であって もともとの状態とは違うよ? といっているにすぎないようです。 ただし、クォークの場合は電荷で区別のつく アップ・チャーム・トップ のグループと ダウン・ストレンジ・ボトム のグループに分けられます。 それで、2状態系の固有状態を求めるのと同じ要領で、観測した3種類を、元来の3種類に振り分け直す という作業を行うようです。 ただなんというか、wikiは時々、説明が不親切ですよね。まあ無償なんで当然っちゃ当然なんですが。 カビボ角のところdとd'が混在してるから、何を言いたいのか最初よくわかりませんでした。 なんでVudとかVusとかが掛け算されてるのに、求める対象はdなんだ?って思いましたよ! 「崩壊」という表現もなんか違いますよね。どっちかっていうと「遷移」? 標準表記も、せめて掛け算する前の3つの3次元回転行列(オイラー角)の内訳を書いてほしいです。z→x→z軸回転みたいな まるでRSA暗号のように理解が一方通行じゃないですか!あえて書いてないんですかね?マッチョ? ただ、やはりニュートリノよりは詳しくわかってるみたいですね。 どうも標準表記の「13変化」というやつが、回転だけでなく位相変化もしていて、そこからCP対称性がほころびているようです。 ニュートリノ振動は、クォークに比べて相互作用の孤独さが素人には定性的にわかりやすい反面、きわめて人為的な実験がしづらそうな感じですね。 今回、参考にさせてもらったサイトでは 電子・ミュー粒子・タウ粒子の混合はないのかなぁ?っていう疑問を書いておられました。 全然考えもしない着眼点、さすがです。 クォークの電荷に2種類あるなら、レプトンの混合についてもニュートリノだけじゃなく荷電レプトンについて考えてしかるべきですよね。 もしかしたら、質量が全然違うから、混合を考える余地すらないのかもしれませんが・・・(あくまで憶測です) そうだ、3世代あればいいんだ! っていうのはおそらくwikiの「演算」の部分ですね。 ユニタリ行列の自由度の話をしているようです。まだ僕はよくわかってません それにしても 計算をしていて時の経過を忘れる感覚は久しぶりでした。 もともとすごく居心地のいい場面のはずなのに、社会人になるとどんどん不便になっていくんですよね。 これからももっともっと、「気が付いたらオタクになっていた」感覚を体験したいなぁと思っているのに・・・ 未知ってもともと楽しいことなんだよなぁ ![]() にほんブログ村 日向ゆかり ドラシル めんどうくさい 種田ネキ 黒羽寧子 寧丁 唯「それお前の本体だけどな?」 ゆかり「本体ってなんだろうー?」 ゆずこ「ホントだ!本体ってなんだろう?!」 ゆずこ「私の本体はどれでしょう?」 唯「少なくともメガネではないな。」 ゆかり「じゃあ本体じゃないやつ!」 唯「ひろい!」 ゆかり「あー私の心のヒロインな部分がでちゃったかー」 唯「自分で言うなよ」 なんだかわかんないけど病院行ったら抗生物質を処方されました。 風邪だったようで、気づいていませんでした。馬鹿なの? ![]() にほんブログ村
祝・ヤンマガに再出張!モ(ンスタ)ーむデミちゃんは語りたい!
見るとそこには、どこかで見たようなシーンが・・・ 実はつい先日、コミック1、2巻を買ったばかりでしてね サキュバス先生のエピソードが強く印象に残っていたようです でもよく見ると・・・あれ? 1話丸々同じじゃねーか!!!! と思ったら、 「\サッキュリーン/ここまではほんの登場人物の紹介コーナーにすぎない!次のページから新作サキュバス娘。ちゃんの日常だよ♪フゥーハハハ!」 な、なんだってー!?贅沢なことしやがって・・・ちなみに僕は量産型ヒロインの話目当てでヤンマガを読んでいます^^ ![]() にほんブログ村 クイック&トリートメント
ウチのHDDレコーダはですね旧式なのかなんなのか、「毎週録画」と「延長対応」が排他的独立してまして、両立できないんですわ。
なもんだから、結局毎週のように次週の番組表をEPGで確認して、録画時間があってるかどうか確認せにゃならんのです。 これでもEPGがあるだけはるかにマシです。ところでBS11の深夜アニメは不動の風格がありますね ある番組が「次回は30分早く放送します」って出たんですね。 それで、30分早くなった次週のEPGを確認して、予約をしたはいいんですが 不調なのも重なって、もともとの毎週録画チェックを消さなかったんですよ そしたら、30分早く放送するはずだった番組が30分以上延長に巻き込まれたみたいで どうも元々あった毎週録画のプログラムのほうが先に起動しちゃったんでしょうね。 そのせいで延長対応の1回予約が身動き取れなくなって、結局録画リストには1つしか番組が残ってないとかいうふざけた事態になりまして しばらく何が起きたのか理解できませんでした。 まあ、朝4時前に起床する仕事柄、眠くて頭が回ってなかったっていうのも大いにあります ほんともうふざけんなって感じですよ 調子がよければ、毎週録画を削除して、ケータイのスケジューラの来週のとこに「予約復活しろ」ってメモして 1回予約だけするんだったんですけどね 悔しいのう悔しいのう もうね、なんで家電買うときに中途半端に先駆者を気取ったのか・・・ ![]() にほんブログ村 せやろ?
「俺の嫁なんていねえ!」1巻
は?? 1巻・・・? いったいどうしたんだ作者・・・不祥事のぷーぴょーぴがいに屈したりしちゃったんだろうか!!! 主人公は花寺のままのようだ。 じゃあ・・・じゃあ・・・特に気にすることもないか!\^o^/ ![]() にほんブログ村 追記&訂正:いつの間にか完結してた。ちゃんと完結してたのか。よかった。なんで完結することになったのかは知らない。とりあえず最終巻をゲッツ 俺のリアル本棚がこれ以上詰まることなんてねえ! この、端末があればぬ!┗( ͡° ͜ʖ ͡° )┓(ねっとり) |
カレンダー
カテゴリー
最新CM
[08/08 さつ香]
[12/30 buy steroids credit card]
[09/26 Rositawok]
[03/24 hydraTep]
[03/18 Thomaniveigo]
最新記事
(01/01)
(03/19)
(03/18)
(03/18)
(02/23)
(02/14)
(02/12)
(01/03)
(09/23)
(09/23)
(02/11)
(05/30)
(05/28)
(05/28)
(05/27)
最新TB
プロフィール
HN:
量子きのこ
年齢:
44
HP:
性別:
男性
誕生日:
1981/04/04
職業:
WinDOS.N臣T
趣味:
妄想・計算・測定・アニメ
自己紹介:
日記タイトルの頭についてるアルファベットは日記の番号です
26進数を右から読みます 例:H→7番目、XP→15(P)×26+23(X)=413番目。 A=0とする仕様につき一番右の桁はAにできませんのでご了承くださいズコー
ブログ内検索
アーカイブ
最古記事
(05/11)
(05/11)
(05/13)
(05/13)
(05/13)
(05/13)
(05/13)
(05/13)
(05/14)
(05/14)
(05/14)
(05/14)
(05/16)
(05/16)
(05/16)
アクセス解析
|













