忍者ブログ
20080511~ 13と7と11の倍数の論理積は13と7と11の積の倍数である。 和ァ・・・
[3251] [3250] [3249] [3248] [3247] [3246] [3245] [3244] [3243] [3242] [3241]
×

[PR]上記の広告は3ヶ月以上新規記事投稿のないブログに表示されています。新しい記事を書く事で広告が消えます。


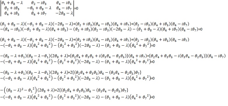
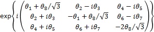
小林・益川理論を理解するにはゲルマン行列の指数関数を解くことが必要なような気がするが、生成子の固有値を出す3次方程式の時点(λ2乗の項がない素直なカルダノの解の公式で解けないこともない)で多大な労力を必要としそうなため、

むしゃくしゃして力技で数値計算してやった。
このあとむりやりテイラー展開した。ソースは俺
ちなみに、たかだか8項程度では(?)θ1~θ8の値を-1~1の範囲にしないと収束しない
πなんてとんでもない。これなんとかなるんだろうか
ブログランキング・にほんブログ村へ
にほんブログ村
永年方程式を解くアルゴリズムってどうすれば永年方程式


3次元の回転行列はこいつの部分群だぜ expの中の虚部θ1=θ2=θ4=θ6=θ8=0で交代行列にしてやればイインダヨ。ロドリゲスの回転公式になるよ!


ホントにこれ解析計算しただけでCP対称性の破れが導出できんのかなぁ・・・?
期待21%不安75%その他4%は物質

拍手[0回]

PR

コメント


コメントフォーム
お名前
タイトル
文字色
メールアドレス
URL
コメント
パスワード
  Vodafone絵文字 i-mode絵文字 Ezweb絵文字


忍者ブログ [PR]
カレンダー
09 2025/10 11
S M T W T F S
1 2 3 4
5 6 7 8 9 10 11
12 13 14 15 16 17 18
19 20 21 22 23 24 25
26 27 28 29 30 31
ブログランキング
ブログランキング参戦中
にほんブログ村 アニメブログ 深夜アニメへ
にほんブログ村 漫画ブログ SF・ファンタジー漫画へ
にほんブログ村 科学ブログ 自然科学へ
よかったらポチッとお願いします^^
最新CM
[08/08 さつ香]
[12/30 buy steroids credit card]
[09/26 Rositawok]
[03/24 hydraTep]
[03/18 Thomaniveigo]
最新TB
プロフィール
HN:
量子きのこ
年齢:
44
性別:
男性
誕生日:
1981/04/04
職業:
WinDOS.N臣T
趣味:
妄想・計算・測定・アニメ
自己紹介:
日記タイトルの頭についてるアルファベットは日記の番号です
26進数を右から読みます
例:H→7番目、XP→15(P)×26+23(X)=413番目。
A=0とする仕様につき一番右の桁はAにできませんのでご了承くださいズコー
バーコード
ブログ内検索
アクセス解析