|
20080511~
13と7と11の倍数の論理積は13と7と11の積の倍数である。
和ァ・・・
× [PR]上記の広告は3ヶ月以上新規記事投稿のないブログに表示されています。新しい記事を書く事で広告が消えます。
有限深さ井戸型ポテンシャルは以前解いてブログに載せたのですが
そのときは力技で解いていました。 もし、偶数番目の量子数で波動関数が奇関数、奇数番目の量子数で偶関数になるとわかっているなら、どれくらい簡略化されるのか これについてまだブログには載せていませんでした。 幅2aの井戸型ポテンシャルの、中のポテンシャルはV=0、外のポテンシャルはV=V0とし、 井戸の中心をx=0とします。(-a≦x≦a) x<0の場合は、偶関数なら波動関数f(-x)=f(x)とし、奇関数ならf(-x)=-f(x)とするわけです。 境界条件はx=±aでf(±a)とその微分f'(±a)が連続であることですが x<0を考慮しなくて済むので、 4本の連立方程式が2本まで簡略化できます。 つまり、4次ではなく2次の行列方程式を解けばいいだけになるので、かなり楽です。 波数をk、積分定数をA,Bとして(iは虚数単位) f(x)=Aexp(ikx)+Bexp(-ikx) という波動関数の境界条件を解けばいいのですが、 左右対称か左右反対称どちらかの解だけになるので、波動関数fは三角関数 井戸の中はf(x)=Asinkxかf(x)=Bcoskxのどちらかだけになりますし、 井戸の外はf(x)=Cexp(-k1x)になります。 量子数が奇数の場合、波動関数は偶関数なので f(a)=Bcoska=Cexp(-k1a) f'(a)=-kBsinka=-k1Cexp(-k1a) 量子数が偶数の場合、波動関数は奇関数なので f(a)=Asinka=Cexp(-k1a) f'(a)=kAcoska=-k1Cexp(-k1a) これを解けばいいだけになります。 太線から下は、無限深さ井戸型ポテンシャルへの近似で、検算です。 k1=∞になるので n番目の量子数がそのまま量子数nとなります。 量子数nが偶数だと波動関数が奇関数になり 量子数nが奇数だと波動関数が偶関数になることが確認できました ハァイ、ジョージィー┗( ͡° ͜ʖ ͡° )┓.(福山○治がドナルドの顔で台風の中アニソンを歌う) 量子ゆらぎ荘ができたころはですね、こうやって井戸を掘っていたんですよ ところどころ温泉<波動関数>が湧き出るんで、ダウジング<固有条件>を始めたんです そしたら個性的な客が次々と住み着き始めましてね、 だいたいが霊か霊能力者関連なんで、壁や紙面にしみ込んだりするんですわ。乳首が。 ======== 井戸型ポテンシャルの深さを有限から無限に近づける様子をgif化してみました。 無限にはとうていできないので、高々無数程度の深さなんですけどね 井戸に入れる固有状態が増えていき、 エネルギー固有値の値も少しずつ上がっていくのがわかるかと思います。 これを、基底状態だけに着目したのが、下の図です 何を見ていただきたかったかというと、 深さを増していくにつれ、波動関数の染み出しが減っている点です。 深さ無限大では、この染み出しはゼロとなり、波動関数は井戸端で不連続になります。 この関数、基底状態はガウス分布の関数にも似ていますが、異なるものです。 一体どうやって描くんじゃい!って学生当時は思ったものですが これがやってみると実は初等関数だけで書けちゃうんですね。 調和振動子ポテンシャルの場合と違って 井戸型ポテンシャルは勾配が無限大なので、別々の関数を連続的につなげることで、波動関数を描くことができます。 それも、三角関数と指数関数しか用いていないのです。 この、三角関数と指数関数のつなぎ目を連続に(関数そのものと傾き)することこそが 固有値を不連続たらしめていて、どのエネルギーでも連続になるとは限らないのです 今回はすべて、解析的な計算を行いました。固有値の算出だけではなく 波動関数そのものを算出する行程まですべて、解析的に計算できました。 以前、数値計算で井戸型ポテンシャルでの波動関数を算出してから これにたどり着くまでにずいぶん時間がかかってしまいました。 特に頓挫して困っていたわけではなく、単に満足していただけです。
先日の日記の続きで、井戸型ポテンシャルの外の波動関数についてです。
有限深さの井戸型ポテンシャルにおける波動関数を 無限深に極限を取ることで、無限深さ井戸型ポテンシャルの波動関数および有限深さ井戸型ポテンシャルの波動関数がちゃんとつながってて、妥当性があるのかを検証してみる試みその2です。 今回も、全て解析解です。 距離xが-aからaまでの間にポテンシャルUがU=0で 井戸の外だとU=U0というところから始めました。 波動関数Ψは井戸の内側では、Ψ=Acos(kx)かΨ=Asin(kx)で 井戸の外側では、Ψ=Bexp(-k1|x|)でしたね。 ここで、Bは、下の図のようになります。 ±がついていますが、Ψ=Acos(kx)だったら+で Ψ=Asin(kx)だったら-になります。 また、kにディラック定数を掛け算して2乗したものは2mEで k1にディラック定数を掛け算して2乗したものは2m(U0-E)になります。 (U0>Eが条件です) mは粒子の質量、Eは粒子のエネルギー、kは波数なので波長λを用いると k=2π/λとなります。 k1は波数に似たパラメータです。 分子にexp(k1a)が掛け算されているので、B自体は場合によってはものすごく大きな値になります。k1を大きくすると、もちろん際限なく大きくなります。 しかし、波動関数全体で見てみますと 井戸の外なので、Ψ=Bexp(-k1|x|)なので、以下のように書きなおせまして この、|x|とaの大小関係に注意しますと、井戸の外側では常に|x|>aが成り立っているので 井戸の外のポテンシャルに相当するk1をいくら上げようが、波動関数Ψの分子はゼロに収束し 分母も√a(井戸の幅の半分)に収束するので Ψ自体もゼロに収束するのがわかるかと思います。 いやほんともう、これがやりたかっただけなのよ・・・なんで13日から31日まではばきかせちゃってるんでしょうかねえ・・・
先日の日記の続きで、井戸型ポテンシャル内の波動関数についてです。
有限深さの井戸型ポテンシャルにおける波動関数を 無限深に極限を取ることで、無限深さ井戸型ポテンシャルの波動関数および有限深さ井戸型ポテンシャルの波動関数がちゃんとつながってて、妥当性があるのかを検証してみる試みです。 あ、もちろん今回は、全て解析解です。 距離xが-aからaまでの間にポテンシャルUがU=0で 井戸の外だとU=U0というところから始めました。 波動関数Ψは井戸の内側では、Ψ=Acos(kx)かΨ=Asin(kx)で 井戸の外側では、Ψ=Bexp(-k1|x|)でしたね。 ここで、Bは、下の図のようになります。 ±がついていますが、Ψ=Acos(kx)だったら+で Ψ=Asin(kx)だったら-になります。 また、kにディラック定数を掛け算して2乗したものは2mEで k1にディラック定数を掛け算して2乗したものは2m(U0-E)になります。 (U0>Eが条件です) mは粒子の質量、Eは粒子のエネルギー、kは波数なので波長λを用いると k=2π/λとなります。 k1は波数に似たパラメータです。 このBの式にあるmU0をkやk1で表して物理量の次元などを整理した後 分母分子をk1で割るなどすると、上の図の最後の式になります。 さて、井戸の中身の波動関数の係数Aはどういった定義だったでしょうか 上図のように、Bを使って表すことができます。またしても整理して、分母分子をk1で割ると 図の一番下のような式になります。 ここで、U0を無限大に極限を取ってみましょう。 k1も同様に無限大になるはずなので、 分母のルートの中にある第1項目はゼロになることがわかるかと思います。 さて残りのa±sin(2ka)/(2k)ですが このうちのsin(2ka)は固有条件からゼロになります。 固有条件は 対称のcosの場合はk1=ktan(ka)でした。 変形するとcot(ka)=k/k1となりますが、k1→∞なので cot(ka)=0になります。 つまりtan(ka)=∞なので、nを奇数として、ka=nπが成り立ちます。 一方、反対称の場合の条件は、k1=kcot(ka)でしたので、変形すると tan(ka)=k/k1→0となります。 つまりnを偶数としてka=nπが成り立ちます。 しかしながら、Aの係数の中のsinは中身が2kaなので、 nが偶数だろうが奇数だろうが、sin(2πn)なので、sin(2πn)=0です。 ということは、対称でも反対称でも、無限大の極限を取ったU0では、以下の式が成り立つというわけです。(もちろんすべての量子数で) ためしに、最初から無限深さの井戸型ポテンシャルを解くと 0から2aまでのポテンシャルUがU=0で、それ以外の領域ではU=∞とすると 同様にΨ=Asin(nπx/(2a))となって、規格化すると A=1/√aとなります。 また、幅が2aではなくその半分のaしかない井戸型ポテンシャルの場合は Ψ=Asin(nπx/a) となり、規格化定数Aは A=√(2/a) となります。 つまり、「井戸の幅の半分」という量が規格化のカギになってくるわけです。 これで、有限深さ井戸型ポテンシャル内の波動関数の妥当性が、ある程度確かめられたかと思います。 今回は、規格化定数AとBがあるうちの、井戸の内側であるAについてのみ確かめさせてもらいました。
昔、こういうの↓
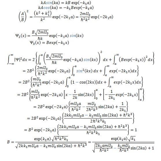
作ったことがあったんです。行列式って落ちゲーに似てるよねって思って。 そのネタ元が有限深井戸型ポテンシャルの波動関数だったんですが 結局それ以来僕は、固有条件(エネルギー固有値)は求めても、「波動関数自体」を「解析的に」解くことまではできなかったみたいで 「波動関数の求め方は数値計算で済ませていた」ことが、昨日ようやくはっきりしたんです。 記憶にはない、ブログにも残ってない、やり方もわからないまま。 小形正男さんの「量子力学」って本を借りて、パラパラ~ってめくったら 左右対称あるいは反対称だから、4行4列じゃなくて2行2列でできるんだよ~ って書かれてたのがきっかけで読んでみると 実は「解析的な波動関数そのものの導出をまだやったことがない」ことが判明したんですよ。 ※ここ肝試しに出ますので要チェックです まず、xが-aからaまでU=0で、その外側が有限値U=U0のポテンシャルUを用意します。 1次元の時間発展しないシュレディンガー方程式はこうでしたね。 井戸の中は こうで、井戸の外は こうですね。(U0>Eの場合) kとk1を以下のように定義すると 井戸の中の波動関数Ψ2と、井戸の外のΨ3はそれぞれ このように書けますが、 井戸の中の波動関数は、左右対称だったらcosですし、反対称だったらsinなので これのどちらか(XOR)になりますし 井戸の外の波動関数は、無限遠で収束してもらわないと困るので、 B1かB2どちらか(XOR)がゼロなので こう書けます。 おかわりいただけるでしょうか・・・? xに絶対値がついていることを・・・ これで、x>aのはずのΨ3が、x<-aのはずのΨ1のおかわりをしているのです・・・! いるはずのない永久欠番Ψ1<クリ|スティ|ーナ>が、ジャパリバスターズのトランクにこっそり紛れ込んでいたのです・・・!!! そうすると、残りは簡単で Ψ2(a)=Ψ3(a) と Ψ2'(a)=Ψ3'(a) のたったの2元連立方程式を解けなくすればいいだけなので 対称の偶関数の場合はコレ↓ 反対称の奇関数の場合はコレ↓ の行列式がゼロになるのが固有条件です。 4次の行列式なんか解かなくてよかったんですよくそぅ・・・! 対称と反対称では、cosとsinが入れ替わり、微分した際に符号が変わったり変わらなかったりするので、注意してください。 ここまでの条件は、4次の行列式でもまったく同じ結果にたどり着けます。 が、4次だとこのあとの展開があるのかどうか、僕にはよくわからなかったのです。 とにかく4次だと煩雑だったんですよ! 係数AとBの関係を求めるフェーズへの見通しが、2次だとなんとか見渡せたのです。 小形さんの本には結果のグラフだけ示して 導出過程はもちろん、導出した結果の数式すら出してくれなかったので自力で不安な中やり遂げましたよ・・・これ小形さんの「形にしないことであえて学生に自主的に解かせる策略」なんですかぁ!? まずは対称な偶関数から、具体的な波動関数の形を導出していきましょう。 kとk1とU0貞子ポテンシャルとの間にあるこの関係 を使います。 Ψ2(a)=Ψ3(a)の両辺にkを掛け算して2乗し、 微分した Ψ'2(a)=Ψ'3(a)の両辺2乗と足してみましょう。 先のkとk1との関係を踏まえると このような関係が見えてきます。よって、係数AとBの関係が判明しました。 しかしながら、AをBで表せても、この2元連立方程式は永年方程式なので、このままではBは定まりません。 そこで用いるのが「規格化」です。 波動関数の絶対値の2乗は存在確率を表すため 「全区間のどこかにはいる」ことから、その積分値は1になるはずです。 これを利用してBを求めます。 ここまではわかったので、あとは積分しましょう。 あとで、反対称の奇関数のときにも言えることですが 偶関数も奇関数も、実数の場合2乗するとどちらも偶関数になるため(整数の2倍に相当) マイナスの無限大からプラスの無限大までの積分は 0から無限大までの積分の2倍になります。 これで、AもBも定まりましたね。 それでは次は反対称の、奇関数をやりましょう。 読者諸君、お前らがな! ↑これカンペです。クリックすると拡大します。 cosの2乗がsinの2乗に変わるだけなんで、加法定理で1±cos2になって、 実質Bの式で異なってくるのはその符号たった1つだけなんですよ あと、違うのは固有条件(固有エネルギー)ですね ところで、 デスノートの画期的だったところってみなさん覚えてますか? あるいは僕の視野が狭いだけなのかもしれませんが いわば、呪いのビデオを死刑執行の兵器に転用させたところから 相当ぶっ飛んでたと思うんです。 そのために貞子力学を確立させたんですよ、主人公が、一人で。 追いかけろよ~(一人で) 捕まえてみろ~(一人で) 最初の自分の感想、騙されちゃってましたかねえ? L・ψ・卍=3 シュタ! これの作り方備忘録です。 図のように、x、y、z、rの列を作り、そこに一様乱数を叩き込みます。 今回は1000点ほどデータを取りました。 rの列はrand()なので、0~1の一様乱数ですが x、y、zは-1~1の一様乱数にしたかったので、2*rand()-1を使ってます。 次に、井戸型ポテンシャルにおける波動関数、パイロットウェーブのようなものを作ります。 左3列がそれぞれx、y、zによる偶関数の波動関数 同様に右3列がx、y、zによる奇関数の波動関数です。 偶関数の場合は cos(2πnx/4)を 奇関数の場合は sin(2πnx/4)を、 それぞれ使っています。y、zの波動関数(H,I,K,L列)は、xの代わりにyやzの乱数座標を入れてください。 また、ここでいうnとは、4行目にある数字のことを言いますが 1行目に入れた数が偶数ならG,H,I列をゼロに、奇数ならJ,K,L列をゼロにするように 2を法としたモジュロ演算を使っています。 波動関数そのものも、 1行目にいれたx,y,zの量子数が偶数ならG,H,I列の波動関数をゼロに、奇数ならJ,K,Lをゼロにするようにしています。 ここでは、x軸とz軸の量子数が2と4と、偶数なので G,I列がゼロになって K,L列に有限の数を入れました。 逆に、y軸の量子数が3と奇数なので H列に有限の値、I列にゼロが入っています。 次に、各軸の波動関数を完成させます。 偶関数か奇関数のどちらかが入るはずなので、 M列=G列+J列 としています。 y,z軸もそれぞれ、N列=H列+K列、O列=I列+L列としています。 それから、3次元の波動関数を完成させたいので 一旦変数分離した各軸の波動関数を掛け合わせます。 P列=M列*N列*O列といった感じです。Ψ=Ψx*Ψy*Ψzですね。 確率は、Ψの2乗にrのパイロットウェーブ的なのを掛け算したいので Q列=P列^2*F列としたいところですが、 今回の場合規格化が無理そうなので、代わりに、波動関数に定数を掛け算して、ちょうどよくなるように調整しました。 Q4に適切な値を入れて、掛け算しているので Q列=P列^2*F列*$Q$4 となります。 最後に、R列で、Q列の値が0.5未満だったら0を、0.5以上だったら1を返すようにしました。 敷居値をR4に設けつつ、if文を使用しましたが、 別に0桁でのround関数で構いません。 この1の個数が、値の個数の半分くらいになるように、Q4の値を調整しています。 結果的に40ぐらいが適切と判断しました。 このシートのすべてをコピーし、新しいシートに、数式ではなく値として貼り付けます。 x、y、z、pの値だけを使うのですが、pが1のときのデータだけがほしいので、pの列に関してデータを降順に並べ替えます。 並べ替えるには、この4列をひとまとまりのデータと機械に認識してもらうために 周りを空けて、x、y、z、pの列ラベルに2つ以上の書式変更を設定します。 今回は中央寄せと太文字を用いました。 また、降順などの操作を行う際に、数式コピペだとうまくいかないことが多いので、一旦値コピペをしました。(ほかにも理由はあります) これで、pが1の区間の行すべてを取り囲み、グラフ化することで、外村彰先生の実験のような パイロットウェーブ的な干渉縞をシミュレーションすることができます。 ただし、ここで用いるグラフは2Dグラフで、x、yのデータしか用いません。 ですので、x、y、zのデータを適切に回転させることで、3Dのように見せかけることにしました。 図のような、y軸回転のあとにx軸回転させるような回転行列を作用させます。 H8~J10の区間に、mmult(H2:J4,H5:J7)という行列の積を計算させます。 まず代表となるH8セルに行列の積を実装し、H8~J10を選択して ctrl+shift+Enterを押すことで、H8~J10全体に計算結果をいきわたらせることができます。 そしてこのH8~J10の混合された回転行列を、先ほどのC,D,E列に作用させたいので mmult(C12:E12,$H$8:$J$10)とします。 C~E列の500列くらいに作用させるのに、H8~J10の行列は固定のまま作用させたいので ここでも絶対参照を用います。 これで、G3やG6セルをいじれば、x、y平面だけでなく、見たい角度からの粒子を見ることができるようになりました。 このG3やG6セルも、自動で動かしたいため、以下のような表を作ります。 P列の値に応じて、Q列のy軸回転の角度(°)と、R列のx軸回転角度(°)をまとめてあります。 Q3とR3セルには、それぞれ、選択したP列の数字に応じたQ列とR列の値が出るように vlookup関数を用いています。 ここで、選択したP列の数字を時々刻々と動かしたいので now()-today()を計算して、シリアル値を0~1までの数値として表現します。 この値は隠れがちですが1秒以内に何度も更新されています。 これを100万倍ぐらいさせて、わずかな値の変化を増幅します。 それからround関数で整数にしてやり 先ほどの図のP列の最大値を法としたモジュロ演算を行うことで、周期をP列の値の整数にすることができます。ここでは89行あったので89周期です。 ただし、mod関数は0から88までの89個が算出されるので、1を足して、1から89までの整数に直してやります。 この結果が仮にC6セルにあったとすると Q3とR3にはそれぞれ vlookup(C6,P5:R93,2) vlookup(C6,P5:R93,3) と入力することで、C6セルがP列の値と等しい行のQ列とR列の値を算出してくれます。 (vlookupの3つ目の変数である2や3は、参照する範囲の2列目、3列目という意味です) あとは HとI列を参照して、散布図のグラフにすれば完成です Excelファイルをアップしておきます。 windowsのPCでしか動作確認してませんが、テキトーな空白セルで、delボタンを連打していただければそのたびに再計算されるので、グラフが動くと思います
まず、時間に依存しないシュレーディンガー方程式はこのようなものでした。
mは質量、Eはエネルギー、Ψは波動関数、Uはポテンシャル、 ∇は位置による偏微分iは虚数単位、πは円周率 hに横棒がついたのは、プランク定数hを2πで割ったディラック定数です。 波動関数Ψは今回、時間には依存しませんが、3次元の位置を変数とした関数なので、 Ψ(x,y,z)と明示しておきましょう。 また、∇の2乗も なので明示しますと、以下のようになります。 ここで、変数分離に移る前に、ポテンシャルUを各変数の関数に分離しておきましょう。 今回は井戸型ポテンシャルを考えればいいので U(x,y,z)=Ux(x)+Uy(y)+Uz(z) として、 Uxは-a<x<aでUx=0、それ以外では十分大きい値を持つとし Uy、Uzも同様に、それぞれ-b~b、-c~cでだけゼロ、それ以外では十分大きい値になっているとします。 ここでようやく変数分離の出番がきて、Ψ(x,y,z)=Ψx(x)Ψyz(y,z)を適用できます。 なお、一度の変数分離で分離できる変数は1つだけなので、いっぺんにΨx、Ψy、Ψz とはできず、ΨxとΨyzにまず分離させます。 そうすると このようになるので、 両辺をΨxとΨyzで割り算します。 すると、関係ない変数を含んだ偏微分の関数を消すことができます。 ここで、左辺を変数xに関係する項、右辺をxに関係しない項と分離しておくと 左辺=定数=右辺 という 形にできますが、式をx,y,zの変数について揃えたいため エネルギーを3軸に等しく分配してやります。Eの項を3等分するのです。 一旦、両辺に-2mを掛け算して、ディラック定数で割ってやりますと 左辺(x)=定数=右辺(y,z)の形に整理しますと さらに、エネルギーを3等分して各軸に分けますと これを、xに関する式と、xに関係ない式の2本に分けますと このような2本の式に分かれます。 しかし、元々Eというのはなんだったのか。 エネルギーのように見えますが、 元々は時間に依存するシュレーディンガー方程式を時間と位置の方程式に変数分離する際に出てきた定数だったはずです。 ですから、EとE2を、係数もひっくるめてまとめて、Exのようにしても構わないはずですね ということで、1本目の式は このように簡潔になるはずです。 では、変数yとzも分離していきましょう。 さきほど分離したこの方程式から始まるわけですが ここではじめて、Ψ(y,z)=Ψ(y)Ψ(z) と、単独の変数に分離することができます。 偏微分に関係ない変数や関数を約分し終えることができました。 これを整理して、エネルギーをまた等分配しますと このようになります。 またしても定数が生成されたのでまとめてしまいますと 3軸とも同じ形にできました。 解析解を求める際は、ポテンシャルUx=Uy=Uz=0として、考慮する必要はありませんが、境界値問題を考える必要がでてきます。 逆に、数値解を求める際は、境界値問題は考えなくていいですが、それぞれのポテンシャルUが井戸の外で十分大きい場合、符号を考慮に入れる必要が出てきます。 境界値問題は、1次元の井戸型ポテンシャルと同じように求めることができます。 振り子の微分方程式の、求めるべき関数の変数が、時間tではなく位置x,y,zに変わっただけなのですが 時間の場合は初期条件として、t=0における関数Ψとその時間微分Ψ'を求めることになるのに対し、 位置の場合はΨ'ではなく、位置xが-aやaのときの値を考慮するところが異なります。 また、無限の深さの井戸型ポテンシャルなので、井戸の淵の波動関数そのものをゼロと仮定できますが、 有限の深さの井戸型ポテンシャルの波動関数の場合、Ψ=0と単純におくことができず、 井戸端でΨ(ディリクレ:節)とその微分Ψ'(ノイマン:腹)が連続であることが求められます。このように、ディリクレ条件(節)とノイマン条件(腹)両方を満たすような境界条件を、コーシー境界条件と呼ぶらしいです。 波動関数の場合はほかの波を求めるのと少し異なっており、 最後に規格化することで完成するため、数値解を求める際は 規格化するまで、波動関数の形は決めることができても、大きさを決定することはできません。 そのため、偶関数の場合は腹、奇関数の場合は節となるような境界条件が必要になります。 左右対称な井戸型ポテンシャルの場合は、x=0つまりど真ん中に境界条件を設置することになります。 過去日記の中くらいの図を参照ください。 + + || コレ!! ExcelDLファイルは コチラ!!! ジバヤシ貞子にゃんのときは直線偏光っぽい波動関数だったのが 溢れ出る貞子になるにつれて円偏光っぽい波動関数になっていくあたりが描きたかったんですよね。 それで「偶関数+i奇関数」だったのです それと、あとから思ったんですが、 螺旋になったあたりの規格化が不完全のような気がしました。 元々は実数の規格化と純虚数の規格化を独立して実数^2と純虚数^2で評価していたのですが 螺旋になった時は実数^2+純虚数^2で評価しなきゃいかんですよね でもそれだと逆に、直線偏光っぽいときにバグってしまうんですよね どちらか片方しか収束しないので。 それでいて束縛状態と自由粒子の状態は連続してるからどうしたもんだろうと思いまして。 リング らせん オイラー ![]() にほんブログ村
昨日のKindleからの投稿、一番やっかいだったのが、最後のブログ村へのリンク貼り付けだったとかいう・・・
コピペーとカッペーが慣れねー! ていっても昨日ほぼ初めて切り貼りしてみたんですが。 あーctrlボタンが恋しいよー! つーかなんかこう、エルダーテイルじゃないですけど PC内の空間のドット数がどんどん量子化から離れていってる感じがして 不器用な僕としてはなんかこういい部分が減っていってる気がしてならないんですよね ところで、 今考えている視覚化はですね 井戸型ポテンシャル内の全波動関数をそっくりそのまま複素にして可視化しようというものでして + + を全部いっぺんに表示できないかなと。 どうせポテンシャルは1次元ですし、昔の平面マリオみたく、虚軸も表示しながらエネルギーを少しずつ上げてったらどうなるかなーって。 偶関数+i奇関数 みたいな感じで。 うまくすれば井戸から這い上がってきた自由貞子がちゃんと螺旋になるんじゃねーの?って企んでるんですね もちろん全部数値計算でやりたいっすよ ジバニャン束縛状態から自由粒子になる瞬間が見てみたい~ (自分で作っといて、見たことがまだないってのも変な話ですが数学ではよくあること) やーそれにしても全然意欲が出ません。どうしたもんでしょう あんまり無理せずのんびりしてたらいつの間にかやる気になってるもんなんですかねえ 同じようなことばかりやってるからかなぁ それにくわえてgif化やら連続キャプチャのツールをOSとっかえでツールまで取り替える羽目になって単に慣れてないせいなのか 冬だからちょっと疲れてるのかもしれない ======= ああそうそう、 エーレンフェストの定理みたいな、波束が進んでいく自由粒子みたいのあるじゃないですか アレの表現が時々引っかかるんです。 色んな波数が混ざって波束を作ってるんだとしたら 色んな運動量つまり色んな速度も混ざっていなきゃいかんわけですよね それをあたかも同じ速度で一斉に進んでいくように見せかけるところに 悪意とまではいきませんが違和感を覚えるんですよ やーでも、そこは量子力学だから、それこそマクロに見るとエーレンフェストの定理みたく 横軸の目盛りを巨大スケールにして近似したら問題ないのかもしれませんし あるいは量子力学だからこそ、表現しきれないので初心者向けにあえてごまかすしかない なんてこともあるかもしれませんし。 まあとにかく、今はだれてるだけじゃなくて 毎日コンスタントに何かしらブログを書きましょう 抽象化したまま考えているつもりでも、何も考えずただ頭を鈍らせてるだけかもしれないじゃないですか それこそ絞り尽くしても何も思いつかないなら 落書き帳(紙媒体)にぐちゃぐちゃ~って殴り描きしてインスピレーションが舞い降りるのを能動的に待ってみましょうか ![]() にほんブログ村 |
カレンダー
カテゴリー
最新CM
[08/08 さつ香]
[12/30 buy steroids credit card]
[09/26 Rositawok]
[03/24 hydraTep]
[03/18 Thomaniveigo]
最新記事
(01/01)
(03/19)
(03/18)
(03/18)
(02/23)
(02/14)
(02/12)
(01/03)
(09/23)
(09/23)
(02/11)
(05/30)
(05/28)
(05/28)
(05/27)
最新TB
プロフィール
HN:
量子きのこ
年齢:
44
HP:
性別:
男性
誕生日:
1981/04/04
職業:
WinDOS.N臣T
趣味:
妄想・計算・測定・アニメ
自己紹介:
日記タイトルの頭についてるアルファベットは日記の番号です
26進数を右から読みます 例:H→7番目、XP→15(P)×26+23(X)=413番目。 A=0とする仕様につき一番右の桁はAにできませんのでご了承くださいズコー
ブログ内検索
アーカイブ
最古記事
(05/11)
(05/11)
(05/13)
(05/13)
(05/13)
(05/13)
(05/13)
(05/13)
(05/14)
(05/14)
(05/14)
(05/14)
(05/16)
(05/16)
(05/16)
アクセス解析
|



