|
20080511~
13と7と11の倍数の論理積は13と7と11の積の倍数である。
和ァ・・・
× [PR]上記の広告は3ヶ月以上新規記事投稿のないブログに表示されています。新しい記事を書く事で広告が消えます。
昔、こういうの↓
作ったことがあったんです。行列式って落ちゲーに似てるよねって思って。 そのネタ元が有限深井戸型ポテンシャルの波動関数だったんですが 結局それ以来僕は、固有条件(エネルギー固有値)は求めても、「波動関数自体」を「解析的に」解くことまではできなかったみたいで 「波動関数の求め方は数値計算で済ませていた」ことが、昨日ようやくはっきりしたんです。 記憶にはない、ブログにも残ってない、やり方もわからないまま。 小形正男さんの「量子力学」って本を借りて、パラパラ~ってめくったら 左右対称あるいは反対称だから、4行4列じゃなくて2行2列でできるんだよ~ って書かれてたのがきっかけで読んでみると 実は「解析的な波動関数そのものの導出をまだやったことがない」ことが判明したんですよ。 ※ここ肝試しに出ますので要チェックです まず、xが-aからaまでU=0で、その外側が有限値U=U0のポテンシャルUを用意します。 1次元の時間発展しないシュレディンガー方程式はこうでしたね。 井戸の中は こうで、井戸の外は こうですね。(U0>Eの場合) kとk1を以下のように定義すると 井戸の中の波動関数Ψ2と、井戸の外のΨ3はそれぞれ このように書けますが、 井戸の中の波動関数は、左右対称だったらcosですし、反対称だったらsinなので これのどちらか(XOR)になりますし 井戸の外の波動関数は、無限遠で収束してもらわないと困るので、 B1かB2どちらか(XOR)がゼロなので こう書けます。 おかわりいただけるでしょうか・・・? xに絶対値がついていることを・・・ これで、x>aのはずのΨ3が、x<-aのはずのΨ1のおかわりをしているのです・・・! いるはずのない永久欠番Ψ1<クリ|スティ|ーナ>が、ジャパリバスターズのトランクにこっそり紛れ込んでいたのです・・・!!! そうすると、残りは簡単で Ψ2(a)=Ψ3(a) と Ψ2'(a)=Ψ3'(a) のたったの2元連立方程式を解けなくすればいいだけなので 対称の偶関数の場合はコレ↓ 反対称の奇関数の場合はコレ↓ の行列式がゼロになるのが固有条件です。 4次の行列式なんか解かなくてよかったんですよくそぅ・・・! 対称と反対称では、cosとsinが入れ替わり、微分した際に符号が変わったり変わらなかったりするので、注意してください。 ここまでの条件は、4次の行列式でもまったく同じ結果にたどり着けます。 が、4次だとこのあとの展開があるのかどうか、僕にはよくわからなかったのです。 とにかく4次だと煩雑だったんですよ! 係数AとBの関係を求めるフェーズへの見通しが、2次だとなんとか見渡せたのです。 小形さんの本には結果のグラフだけ示して 導出過程はもちろん、導出した結果の数式すら出してくれなかったので自力で不安な中やり遂げましたよ・・・これ小形さんの「形にしないことであえて学生に自主的に解かせる策略」なんですかぁ!? まずは対称な偶関数から、具体的な波動関数の形を導出していきましょう。 kとk1とU0貞子ポテンシャルとの間にあるこの関係 を使います。 Ψ2(a)=Ψ3(a)の両辺にkを掛け算して2乗し、 微分した Ψ'2(a)=Ψ'3(a)の両辺2乗と足してみましょう。 先のkとk1との関係を踏まえると このような関係が見えてきます。よって、係数AとBの関係が判明しました。 しかしながら、AをBで表せても、この2元連立方程式は永年方程式なので、このままではBは定まりません。 そこで用いるのが「規格化」です。 波動関数の絶対値の2乗は存在確率を表すため 「全区間のどこかにはいる」ことから、その積分値は1になるはずです。 これを利用してBを求めます。 ここまではわかったので、あとは積分しましょう。 あとで、反対称の奇関数のときにも言えることですが 偶関数も奇関数も、実数の場合2乗するとどちらも偶関数になるため(整数の2倍に相当) マイナスの無限大からプラスの無限大までの積分は 0から無限大までの積分の2倍になります。 これで、AもBも定まりましたね。 それでは次は反対称の、奇関数をやりましょう。 読者諸君、お前らがな! ↑これカンペです。クリックすると拡大します。 cosの2乗がsinの2乗に変わるだけなんで、加法定理で1±cos2になって、 実質Bの式で異なってくるのはその符号たった1つだけなんですよ あと、違うのは固有条件(固有エネルギー)ですね ところで、 デスノートの画期的だったところってみなさん覚えてますか? あるいは僕の視野が狭いだけなのかもしれませんが いわば、呪いのビデオを死刑執行の兵器に転用させたところから 相当ぶっ飛んでたと思うんです。 そのために貞子力学を確立させたんですよ、主人公が、一人で。 追いかけろよ~(一人で) 捕まえてみろ~(一人で) 最初の自分の感想、騙されちゃってましたかねえ? L・ψ・卍=3 シュタ! PR
まず、xが0以上a以下でゼロ、それ以外では無限大の、1次元無限深さ井戸型ポテンシャルV(x)における波動関数Ψ(x)を考えます。
時間発展のないシュレディンガー方程式を解きます。 一般解はこうなりますが、境界条件 x=0とx=aでΨ=0を与えると、波動関数はΨ(x)=Asin(kx)となり なおかつ、nを1以上の整数として、ka=nπでなければならないことになるので こうなります。また、規格化条件も考慮すると、ブラ・ケットを用いて以下のようになります。 A=√(2/a)なので、波動関数は以下のように定まりました。 Aという物理量の演算子 Aの演算子をブラとケットで囲めばよいので 例えば位置xの期待値を知りたい場合は以下のように記述し、計算できます。 ちゃんと、どの量子数nでも「aの半分」と算出できましたね。 次に、xの2乗の期待値も調べてみましょう。 このようになります。 位置xの演算子はxそのものでしたが、 運動量pの演算子は異なってきて のようなベクトル微分演算子、特に一次元では ベクトル関係ない微分演算子になるので 特に井戸型ポテンシャルにおける運動量の期待値は 次に、またpの2乗の期待値について考えてみましょう。 こちらの値はちゃんと有限です。 特に井戸型ポテンシャルの場合は2階微分しているため、同じ関数同士の積の積分になって、値を持ちます。 それでは、先の<x^2>と<x>^2との間にはどのような関係があるのでしょうか。 一般の物理量Aには、平均値<>について 誤差の理論なのかRMS(実効値)なのかよくわかりませんが(サンプル数が多すぎて?)、とにかくこういう関係があるそうです。 後日勉強したいと思います。 そうすると、位置についてのΔxは、以下のように算出されました。 座標軸の中央をあえて井戸の中心から外しているのは、(Δx)^2=<A^2>ではないことを意識させるためです。 もう一つの理由は、量子数の偶奇によって、sinとcosが交互にこないように、sinだけで一括表現するためでもありました。 それでは、運動量についてのΔpも見てみますと 運動量の1乗の平均値がゼロなので、こうなります。 両者を掛け算すると こうなります。 量子数nが、1以上の整数の場合、ルートの中身は常に1以上です。 これの意味するところが、(ハイゼンベルクの)不確定性原理です。 具体的に井戸型ポテンシャルでやってみました。 やーそれにしても、こんないい例題をずっと見逃していたなんて。 井戸型ポテンシャルの、波動関数のだいたいの広がりが「(簡単に)計算できる」っていう発想がそもそもなぜかなかったんですよ。まったく貧相な想像力ですねえ。 無限深さだから、積分範囲も有限で、例題にはうってつけです。
今日は仕事帰りにファミマで買いGUI(食いで変換しなおしてもCUIが出るのやめろ草)をして
井戸型ポテンシャルにおける不確定性原理の確認をするなどした。 なぜこんな僕に最適な例題を初めて見たような顔をするのか そんな顔してるだろ? なぜマジで初見なのか それは・・・ (ニャメローン) (アロワナノー) (ピロピロピロピロピロ) (ッヘーイ) よくわからないのだーーーーヴェーハハハハ!!!! 期待値って言葉に苦手意識でもあったとかだろうか。 まあ確かに苦手意識はあった。確かあったはずだ <Ψ|p|Ψ> <Ψ|p^2|Ψ> <Ψ|x|Ψ> <Ψ|x^2|Ψ> 井戸型ポテンシャルの波動関数は実数なので、複素共役は同じもの 距離xの2乗はどこから掛け算しても構わないが 運動量pの演算子は2つの波動関数同士の間に挟めるように作用させなければいけない そして、たとえ運動量やほかの演算子だろうと、距離xで積分することには変わりはなく 無限深さの井戸型ポテンシャルでは、-aからaまでなどと、有限の範囲で積分することが可能 ただし、xやpそのものの期待値を改めて求めるために 演習では-aからaまでではなく、0からaまでの井戸型ポテンシャルにしたほうが面白いかもしれないし Δxと<x^2>、<x>^2との関係や<x^2>と<x>^2の違い 平均値や残差などもからめると、おそらくより有意義な問題となるような気がする上 そうしないと<x>^2=0になって理屈を間違って覚えかねない。 また、おそらくだが、 0からaまでだと、sinだけで表現可能で、cosと交代交代しなくていいんじゃないだろうか というのを、矩形波のフーリエ級数展開を思い出しながら考えていた しかしながら、毎日のことながらゲームやネットに夢中で今日も力尽きてしまった。 定性的なことしか書けなくてすまん
毎年海の日あたりに、一年で2日間だけ一般公開される、岐阜県飛騨市主催のスーパーカミオカンデに、行ってきました。
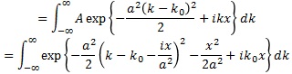
ここんとこ暑くて今更になってしまいました。 行きは新幹線、帰りは飛行機で往復しました。 ガンガンズダンダン もともと、暗い坑道を歩くツアーだったのもあって、パンフレットが充実してました。 というのもですね、旅行にスマホを持っていくのがほぼ初めてだったので 外出用充電器は念のため持ったのですが、これに関するノウハウがほとんどなく まあ下の図を見てくださいよ。外出用の充電器です。 僕はよく旅の荷物とかを省略する、あるいはシンプルにする癖がありまして 下の図の、コンセントからの充電ケーブルに、USBを介してライトニングケーブルがつながってるじゃないですか これをホテルでの充電に使って、ケーブルを共用にして、外出する際はケーブルを外してから外出用の充電器につなごうとしてたんですよ。 つまり、もともと2つあったケーブルのうち1つを省略したんです。 そしたらですね・・・疲れてホテルに到着して、寝て起きたらそういうこと忘れてしまって 外出時に充電器のみでケーブルをホテルに置いてきてしまったんです。 それで、レンタカーで1時間半くらい走った、ど田舎に向かったんですけど 暑くて仕方がないから途中、スマホで少し遊んでまして 気が付いたら充電がなく、ケーブルもなく。目の前に充電器があるのに、充電できない! という事態に・・・ まあおそらく、ちょっと前に気づいても、その町、神岡っていうんですけど スーパー1つの向かいにドラッグストアが1つって環境なんで USBケーブルやライトニングケーブルをそこで調達できたかどうかはわかりませんでした・・・ スマホが最後に見た光景は、これです 細い穴の中での生活に適応したデザインとなっていて 耳などの突起物が全部しまえるようになっている上に 目と鼻と耳が同一線上に並ぶようになっているんです カバカバ・・・サソリだよ~? そこで出てきたのが、これ!写ルンです!(活躍したとは言ってない) アナログカメラだから写ってるかどうかの確認はできないし、動画は撮れないし、明るさ補正なんてもってのほか、枚数にも制限がありますし、撮ったら消せない・・・ 写真を撮る際にダイヤルを回すのは仕方ないので我慢しましたが このときの僕は、フラッシュをたくというのが、デジカメでは絶滅したと思いこんでいまして キュィィィィィンってあの懐かしい音を出すのが恥ずかしくて躊躇しちゃったんですね その結果、使いきらない枚数の、半分くらいが何も写ってない状態で、ほぼダメでした>< もうね、帰ってから現像した数少ない写真と、パンフをスマホで撮影するとかいう虚しい作業ですよ・・・後の祭りですよ・・・よよよ・・・ なんで写ルンですなんか持っていったかと言いますとね ノイズを嫌う施設だと思ったんです・・・ まさかとは思ったんですよ。一応ギャグも兼ねてましたが、使うことになるとは。 だって、解析のためのPCとかがいっぱいある部屋が割とすぐそばにあるはずじゃないすか ぐぐってもデジカメやスマホ回収とか、そういう情報は書かれていませんでしたしね 2日に渡って一般公開してるんですけど、1日あたり8便ありまして 質問がしやすいかなと思って、最終便を希望したんです。 しかしですね、これから行きたいなーって方は、むしろ最終便以外をオススメしたいかもですね 神岡公民館集合で、そこからバスでカミオカンデのある鉱山の穴に入って行って 一通り見学が終わったら、公民館に戻ってくるんですよ。 で、ツアーの客が穴のツアーに行ってる間も、公民館には浜松ホトニクス(古来のはhpk)さんとかj-parcさんとか、鉱山を管理している神岡工業さんとかが、随時質問を受け付けたりしていて グッズも売ってますし、たとえば第1便から帰ってきたあとで第2便が穴に向かってる最中も 質問し放題、グッズ買い放題、むしろ最終便はみなさんさっさと帰っちゃうので、販売とかも早々に閉めますし・・・ その上、バスがないんです! どうも、カミオカンデのある岐阜には空港がないらしく 飛行機にしろ新幹線にしろ、富山駅界隈を拠点にしたほうがいいっぽいんですよね その富山駅から神岡まで、公共のバスはあるにはあるんですけど、本数が少ない! 途中で乗り換えするんですが、最終便終了の18時にギリギリ神岡からバスに乗れたとして そこから乗り換えた先のバスが終わっちゃってるんです レンタカー手配しててよかったー! 人生初レンタカーおよび初カーナビでした! 8便じゃないにしろ、レンタカーはバスよりお勧めです。 ほんと神岡にはなんもない、水がいっぱいあるねー状態なんで 海の日界隈は暑いですし、早く来すぎたら、暇で仕方ないんですよ。 そういうときに、涼めるのはレンタカーの中くらい スーパーやドラッグストアは空調が効きすぎて寒い! や、もしかしたら第2便とかに早めに到着して、公民館で質問したりしてもいいかもしれません すでに第1便が出た後なので、何かしらあるのかなと カミオカンデ用の、光電子増倍管ちゃんたちです。 PET検査用の小さいのもあるそうです。 これ、もらえます。 1つとして同じパターンがない、泡箱のデータたち、履いて捨てるほどもらえますw 霧箱って過程で作れるじゃないですか。でも泡箱って作れない上に、どんなものなのかググっても全体像がよくわからなかったりして 最初、どこをどう見るんだ?って戸惑うかもしれません。 下の方の図に、白い線がたくさんありますが、これが素粒子の作った飛行機雲の軌跡です。 電荷のある素粒子の場合、これの曲がり具合で質量と電荷との比がわかり、 電荷はだいたい素電荷の1か2倍くらいなので、質量がわかるかと思います。 まあ、どのくらい電界や磁界を印加してるのかわからないので、僕らには質量はわかりませんけどね もちろん、ニュートリノをはじめとして、フォトンや中性子なども泡箱・霧箱では観測できません。 フォトンだったらガイガーカウンターとかになるでしょうし それこそニュートリノだったらカミオカンデみたいな装置でないと観測自体難しいんでしょうね 加速器からカミオカンデにニュートリノを飛ばす実験もやっていて 加速器側でも、「ニュートリノが出た」くらいのことはわかるそうですが やはりカミオカンデでないと精度がまったく足りないんでしょうね j-parc(japari-parkではない)のある東海村だからT2K KEKからだったらK2Kですね。 どちらも300kmくらい飛ばすのがちょうどいいようで それくらい飛ばさないとニュートリノ振動の影響が出づらいってのもあるみたいっす 行くまで誤解してたんですが、カミオカンデとスーパーカミオカンデの場所は異なっていて カミオカンデの跡地には別の観測設備が作られたそうです。ダークマターを検出するX-MASS だったか、「ニュートリノ放出を伴わない二重ベータ崩壊」を見つけるためだったカムランド・ゼン(ニュートリノのマヨラナ性を検出したかったが失敗、ただし精度高杉で称賛) だったか。 あと、重力波観測にも意欲的ですよね、ここって。 幅40m、高さ40mの円筒形のプールの中に、超純水が満たされていて、 上下左右壁面に、およそ1満3000個の光電子増倍管が敷き詰められています。 我々お客さんはもちろん、職員も中を実際に見れるチャンスはほとんどないようで 今年はメンテのために12年ぶりに蓋を開けたそうですね。 こーんな光景は、少なくともお客さんはどの年に行っても見れないんです^ω^ 不純物が、自然界には存在しないくらい少ない水なので、透明度が化け物なんですね 40m先の床面に敷き詰められた光電子増倍管が、小さな点々として見えます。 タンクの水をちょっと抜いて、水位をちょっとだけ下げてる状態ですね。 この状態で、ボートや浮き床などを使って水面に浮いたまま、光電子増倍管のメンテなんかを行うそうですが、 工具落として光電子増倍管を傷つけたらやばいんで、全部紐でくくって作業するそうですよ あと、半数の6000個くらいの光電子増倍管が割れた事故があった際は なんであんなに被害が甚大になったかって言うと、いわばテレビの逆のような光電子増倍管、 中身が真空なので1個壊れると爆縮を起こし、高い水圧のかかってる中でそんなことが起きると 圧力の波動が伝わって、連鎖的に割れてしまったんだそうです。 今は対策済みで、カバーをすることで、連鎖的に割れるのを防いでいるそうです。 チェレンコフ光がこのように出るので、輪っかみたいに観測されるみたいです。 タオルタオルすきすき Tシャツ 小柴さんと梶田さんのスタンプです^^ 小柴さん(2002年)と梶田さん(2016年)の間に、小林さん、益川さん、南部さんの全員日本人ノーベル賞受賞(2008年)がありましたね この年は化学賞で下村さんも取ってましたね。確か光るクラゲだったかな 帰りの飛行機ではぜひ試したいことがあったんです。 乗客全員がWi-Fiを使えるとのことで、あらかじめ地上でWi-Fiを得るためのアプリをインスコしておいて 飛んでる間にWi-Fiをつなげてみたんですが この間って、GPSもちゃんと仕事してたんですよ! 道とか建物とかばったばったなぎ倒しながらすごいスピードで地図上(グーグルマップ)を飛行機が通過していくのは爽快でした~ (ただ、通信速度がめちゃくちゃ遅いので、航空写真モードは使えたものじゃありませんでした) それと、僕も見れたんですよ。たつき監督。(トランヴェール) ああそうだ、富山には何があるかなー?って思ってて、ホタルイカがいるよーとは聞いていたのですが、まさかのブラックラーメンwwwなもりさんの出身地でしたね 「しょうゆ」としか書かないってなんなんだよ店www 白エビせんべいの写真がどこかにいってしまった。 穴の中から外に噴き出してくる風がめっちゃ冷たくて、温度差で視界の一部がカゲロウみた歪みましたね 重機がこれまたものっそい騒音で、 実は腰の曲がったばあさんも僕の便にはおられて それでも歩き切ったばあさんの根性すげえや 穴掘りのためのダイナマイトを仕込む小さな穴を開ける杭のような重機の実演がすっげえうるさかった あとは幼い子連れの家族が多い印象でした。 てぇんさい物理学者にしたいんですかね~^^ 波数の違う波動関数の合成、つまり積分は 以下のように指数の肩を平方完成すると ガウス積分が行えるので このようになり、 規格化定数Aを定めるために、さらにガウス積分を行うと 以下のように定まる。 と、小形正男先生の「量子力学」には書いてある。 まったくエキセントリックな・・・。 平方完成慣れてないんだよなー・・・ 自分のこれまでの人生、 たとえば2階の定数係数非斉次微分方程式だったら 定数変化法と未定係数法の2通りのやり方があるじゃないですか そこを片方ばっかりひたすらやるタチだったんで もう片方のやり方を根こそぎ忘れていたりして。 同様に、平方完成しなきゃならない問題も全部 平方完成しなくても解ける問題にすり替えてしまったから 平方完成の方法をそもそもほとんど覚えていないっていうことがあってねえ いうなれば、インダクタンスをなるべく使わずに、抵抗とキャパシタンスだけで微分回路も積分回路も作ってしまおう的な。 たった1項加わるだけでこんなめんどくさくなるのか。 kに関するガウス積分から、kに関係しない項目を積分の外に追いやりたいとこまではわかるんだが どういう方針で平方完成してるのかわからないから応用がきかねえ 恒等式であることしかわからんorz困ったwwww ガウス積分もあんまわかってねえしなー まあ、これからやるフーリエ級数にはそんな知識いらないんだろうけどさぁー わかっときたいじゃんか このメガネのおっさんのバージョンはないのか・・・。 どの定理?だったか忘れたけど、紹介してもらったやつがすげえ面白かったんだよ 数学は世界共通語だなって思った。 どうも最近、誰かが言ってたんだけど、数学とは確実に別に、プログラミング言語というのが存在し、どのプログラミング言語も、異なりはするが数学同様に世界共通語らしい とかいう話を見た気がするんだよ
大学時代、「いつもw-k特性は2乗にプロットされるんじゃないんすか!?」
って質問を先生にしたときの先生の答えが意味わからんかった覚えがうっすらとあってな こないだだよ、ついこないだ。 よく考えてみたら、E=p^2/(2m)+Vなんだから、自由粒子でもない限り、ポテンシャルに依存するじゃねーか!って。 じゃあその依存度合いをどうやってプロットすんの? って考えて、一瞬、お、おう・・・!?ってなった。 ポテンシャルVが位置xの関数なのに、エネルギーEを運動量pの関数で表そうとしてる。なんだこれ。 でもよく考えたら、束縛状態になるってことは、エネルギーは離散値を取るんだよな だからってわけでもないけど、数値計算してその結果をプロットしてから関係を見ても 結局解析的な結果とあんま変わんないんじゃね?とか思えてきて。離散値だからある程度しらみつぶしができるし。 っていうか、井戸型ポテンシャルだったらEは波の数kの2乗 調和振動子ポテンシャルだったらEは波数kの1乗に比例だよね なんだたいしたことないじゃん って思えてきたりした。 じゃあ逆に、トンネル障壁とかだったらエネルギーは離散値にならないわけだよなー ガウスな波束ぶっこんでみてえ。 ああ、そういやトンネル障壁といえば 1次元だったらトンネルの自由度は0 2次元だったら自由度は1以下 じゃあn次元空間だったらトンネル障壁の自由度ってn-1個以下になるのかな? たとえば平面に平面波ぶっこんで、まな板なトンネル障壁だったら実質1次元と同じだよね 2次元空間にまな板なトンネル障壁おいても、波源が線じゃなくて点だったら、そりゃぁ2次元的なトンネル効果になりますわなあ 逆に、波源が点の2次元トンネル障壁も、波源から距離が一定の円だったらこれも1次元と同じで 円状のトンネル障壁でも、波源が点じゃなくて有限の直線状だったり、あるいは円の中心じゃないところから波が出てたりしたら、いわゆる線形独立になるわけだよな じゃあ3次元空間のトンネル障壁ってなんだ 球殻で囲った内部の、中心じゃないところが波源のトンネル障壁か? α崩壊の中心が、障壁(原子核殻)のど真ん中じゃなかったら?みたいな感じ? 位相までは無理でも、可視化できたら面白いだろうなあ 立方体状のトンネル障壁から始めてもいいよね 波動関数の絶対値が可視化される感じかなあ 立方体の中で共振みたいのが起きてる最中に、少しずつ漏れ出すイメージ? |
カレンダー
カテゴリー
最新CM
[08/08 さつ香]
[12/30 buy steroids credit card]
[09/26 Rositawok]
[03/24 hydraTep]
[03/18 Thomaniveigo]
最新記事
(01/01)
(03/19)
(03/18)
(03/18)
(02/23)
(02/14)
(02/12)
(01/03)
(09/23)
(09/23)
(02/11)
(05/30)
(05/28)
(05/28)
(05/27)
最新TB
プロフィール
HN:
量子きのこ
年齢:
44
HP:
性別:
男性
誕生日:
1981/04/04
職業:
WinDOS.N臣T
趣味:
妄想・計算・測定・アニメ
自己紹介:
日記タイトルの頭についてるアルファベットは日記の番号です
26進数を右から読みます 例:H→7番目、XP→15(P)×26+23(X)=413番目。 A=0とする仕様につき一番右の桁はAにできませんのでご了承くださいズコー
ブログ内検索
アーカイブ
最古記事
(05/11)
(05/11)
(05/13)
(05/13)
(05/13)
(05/13)
(05/13)
(05/13)
(05/14)
(05/14)
(05/14)
(05/14)
(05/16)
(05/16)
(05/16)
アクセス解析
|

