|
20080511~
13と7と11の倍数の論理積は13と7と11の積の倍数である。
和ァ・・・
× [PR]上記の広告は3ヶ月以上新規記事投稿のないブログに表示されています。新しい記事を書く事で広告が消えます。
さきほどの続きです。
絶対値、位相ともにフィッティングが無事終わりました。 もう気づいている方がいるかもしれませんが、実はですね、数値解と解析解の比較のために、波動関数の代表値を決める必要は特にないんですよ。 初めてか久々で、手探りで計算しているからこそ、絶対値と位相差を別々に解析していたのですが もし仮に、何度も同じ計算をやっていて、ものすごく自信があるのでしたら(それ研究なのか?) 数値解・解析解の波動関数が、向きや大きさは別として、同じ形をしている(相似形)のは明らかなので もういっそのこと、複素数のまま 解析解/数値解のデータをX=imdiv(解析解,数値解)なんかで取ってしまって Xがほとんど同じ値の複素数であることを確認したら、そのXの平均値を数値解の複素数に掛け算してやれば、絶対値・位相差ともいっぺんにフィッティングができてしまうのです。 上のような計算をしています。 下にずっと長く続くのですが、Ψ解析/Ψ数値では、 波動関数の解析解を、波動関数の数値解で、複素数のまま割り算をしています。 そうすると、だいたい同じ値の複素数になることが期待できるので、平均値を取ります。 複素数の平均値なので、関数が用意されていませんでした。 平均値=imsum(比)/counta(比) で計算しました。文字列扱いになるので、カウントするのにcount関数ではだめで、数値以外もカウントするcounta関数が必要となります。 また、分散も計算しました。 |平均値-サンプル値|^2 (平均値に絶対参照) をやったので、分散の値は実数です。 それから、分散について sqrt(sum(分散)/(count(分散)-1)) (countaじゃなくていい) を行い、標準偏差を出してみました。もちろん標準偏差も、今回の定義では実数になります。 もし、2018年4月25日のブログ の、この図の下から2番目をΨ1={1-i(E-U)dx}Ψ0ではなくΨ1={1+i(E-U)dx}Ψ0 とやってしまって、逆巻きになっていたとしたら、標準偏差の値が大きくなるので、間違いに気が付きやすいです。 この代表の平均値を、フィッティング前の数値解に掛け算して、フィッティングを済ませています。 もし、分散や標準偏差を実数で定義するのでしたら 平均値=平均値実部+i平均値虚部 なので、 平均値実部±|標準偏差実部|+i(平均値虚部±|標準偏差虚部|) 相対誤差=標準偏差/平均値=|相対誤差実部|+i|相対誤差虚部| のようになるのでしょうか。 でも、平均値/平均値の実部と虚部が1とゼロというなんか変な格差を生んでしまって気持ち悪いですね そもそも複素数の誤差の理論が今のところ存在しないのでなんとも言えません。 量子力学からの要請で、少しは需要が出たりするでしょうか。(でも実験結果は実数しかないからなあ) PR
日が空いてしまいました。25日のブログの続きです。
トンネル効果の数値解と解析解、振幅はフィッティングできたのですが、 位相がまだ合っていませんでした。 そこで、トンネルの出口における解析解と数値解の位相差を利用して、位相のフィッティングを行いましょう。 というのが前回のラストでしたね。 前回同様、トンネル出口のbの値は14未満に設定しているので とりあえずx=20での位相を比較してみます。 複素数で算出された解に対して x=20における 位相差=imargument(解析)-imargument(数値) を計算し、位相フィッティング前(絶対値フィッティング直後)の数値解(複素数)にexp(i位相差)を掛け算してみることにしましょう だいたい合うようになったかと思います つづく
前回の続きです
数値解が求まりました。しかし大きさが定まっていません。 あらすじおわり。 透過波の絶対値が距離に依存しないんだから、そこの解析解との比を使おう。 今のところ、トンネルの出口の位置bは14未満になるようにしているので とりあえずxが20~150の間の絶対値の、数値解と解析解との比の平均値を使って、合わせてみましょう。 解析解のデータを並べ 比を取って 20≦x≦150の間で比の平均値を取り、数値解に掛け算しますと ちょっとずれますが、だいたい合ってますよね しかし、実部と虚部で見るように、振幅は合っているのですが、位相がまだ合っていません。 そこで、波動関数の実部を横軸、虚部を縦軸にした、以下のような図を用いて解析することにします。 電気や制御工学でいう、伝達関数のボード線図が波動関数の絶対値に相当するなら 波動関数の位相からのアプローチは、ナイキスト線図やニコルス線図に相当するような感じでしょうか とりあえず、トンネルから出たところの波動関数の位相を揃えたほうがよさそうな気はしますね つづく
トンネル効果では、解析解より数値解のほうが簡単に取り扱えます。
微分方程式 Ψ''+(E-U)Ψ=0 について解くだけです。 ここで、数値解を求める際に、微分を差分に直しておきましょう。 1階微分 と表現できるため、それをさらにxで微分したものは と、表現できます。 そうすると、微分方程式は差分方程式 となり Ψ(n+1)の式 のような数列の漸化式に書き変えることができます。 ここで大事になってくるのが、初期値(境界値)です。 僕が知らないだけかもしれませんが、波動方程式の数値解では、進行波と後退波を分けて計算することができないようです。 そこで、僕の場合は、あらかじめ進行波しかないと解析解でわかっていた透過波のほうから計算してみました。 いうなれば、 ではなく これを計算したわけです。どこが違うのかおわかりでしょうか。 Ψの添え字n+1とn-1が逆転しているわけです。 ここで透過波は進行波しかないため、自由粒子のように、波動関数の絶対値の2乗が常に一定になることが条件となります。 この条件を満たす初期値というのがありまして 4月19日の日記を参考にします。 Ψ0を一番端、Ψ1を端から2番目の波動関数として Ψ1/Ψ0=1±i(E-U)dx 一番端のΨはなんでもいいのですが、(E-U)Δx^2に条件が加わり、2番目のΨがなんでもいいわけではなくなるのです。 そうしないと楕円偏光や直線偏光のようになって、波動関数の絶対値の2乗が安定してくれないのです。 実際の計算を見てみましょう xの行数が多すぎるので、中略して表示しました。 Uが全部ゼロのように見えるのですが 中間のxに、U0の値を逐次入れてます。 一番下のΨ数値はとりあえず1として 下から2番目は Ψ1={1±i(E-U)dx}Ψ0 を当てはめています。 波動関数の値が複素数に広がっているため、複素数アドインを用いています。 四則演算も関数として記述されるので、最初は慣れないかと思います COMPLEX(Ψ0,-(E-U)*dx) (dxとEに絶対参照を忘れずに) このように書いています。 COMPLEX(Ψ0,(E-U)*dx) なぜこれではいけないのでしょうか? (E-U)の符号が反転しています。絶対値が安定するためには、どちらでもいいはずです。 しかし、解析解のほうをexp(ikx)としているので、それに合わせないといけないわけです。 後ろから逆算しているので、螺旋を逆に巻いているのです。 下から3番目以降(以上)では を用いています。 複素数アドインの関数で書くと IMSUB(IMPRODUCT(IMSUB(2,(E-U)*(dx^2)),Ψ(n)),Ψ(n+1)) (Eとdxの絶対参照を忘れずに) 計算していくと、波動関数の絶対値|Ψ|は、このようになります。 ちゃんと透過波が安定しているのを確認できますが、透過波だけが安定しすぎていて 全体の大きさが定まっていませんね。 実は、トンネル効果では、解析解でも規格化ができないとされています。 なので仕方なく、トンネルに入る前の進行波を基準にしたりするのですが 先述した通り、数値解では進行波と後退波を区別して計算することができません。 それで透過波を基準に計算を始めたわけですが 本来ならこの図では、透過波が大きくなったり小さくなったりするはずなのに、 まるで透過波を基準に、入射波や反射波などが大きくなったり小さくなったりしています。 次回は、解析解を使って数値解をフィッティングする方法を書きます。 つづく
・おっぱいの有無:ある、ない、わからない
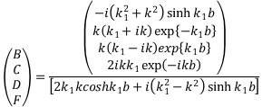
・男性器の有無:ある、ない、わからない ・女性器の有無:ある、ない、わからない ・男性としての生殖機能:ある、ない、わからない ・女性としての生殖機能:ある、ない、わからない しかしこのすべての選択肢が単純な組み合わせとして存在するわけではない たとえば 男性器がなければ男性としての生殖機能は選択肢がなくなるし おっぱいがあって男性器がなくて、女性器があって、女性としての生殖機能があれば、 それはただのもう女の子だ。 もちろん、ただの男子にも興味はない。(だからといって男の娘に興味があるかと言われると、ないほうだと思う・・・) Excelでドロップダウンリストの例題にでもしようか、どうしようか というのもですね、先日、ハッカドール3号のイラストを目撃した時 めっちゃハイアングルで、乳首のようなものと乳の発達のようなものを見たのですが それが太っているからなのかどうかわからず しかも、ちょっとおかしな服装を元からしているため 本来あるはずのない場所にあるはずのない乳首があるように見えて これはもしかして心霊おっぱいなのではないかと、興奮していいのかどうか迷っていたのです 係数が出たので、この係数を波動関数Ψにまとめていきます。 と、その前に、kとk1が、それぞれ なので、これを当てはめていきますが、律儀にプランク定数や電子の質量、電子の電荷(エレクトロンボルトのジュール換算)などを当てはめていかなくても大丈夫です。 というより、双曲線関数の中身にそんな桁数の数値を入れたら、途中で破たんしてしまうかもしれないので、kbやk1bの掛け算として、三角関数や双曲線関数、指数関数などに入る場合に適度な大きさの数値になるように、調整します。 物理定数は無視してすべて1にし、 k=sqrt(E)、k1=sqrt(U0-E)としています。 このくらいの数値群であれば問題ありません なお、この段階ではまだ解析解が、E>U0に対応していないので、こうならないような条件で変移させます。 そうして得られた係数と、そこまでの途中計算が、以下のようになります。 Excelでの複素数計算は、結果が文字列扱いになるので多少見栄えが悪いです。 たとえばk1+ikだったらcomplex(k1,k)のように、 k1-ikだったらcomplex(k1,-k)のように打ち込みまして 分母のように複雑な数式になる場合は 実部と虚部を実数としてあらかじめ計算しておいてから、分母=complex(実部,虚部)などとすればいいかと思います。 また、B,C,D,Fは先に分子を計算しておくとよいでしょう。 B分子=COMPLEX(0,-(k1^2+k^2)*SINH(k1*b)) C分子=IMPRODUCT((k1+ik),k*EXP(-k1*b)) D分子=IMPRODUCT((k1-ik),k*EXP(k1*b)) F分子=IMPRODUCT(exp(-ikb),2*k*k1) を計算しますが exp(-ikb)もあらかじめ、IMEXP(COMPLEX(0,-k*b)) として計算しておけばよいでしょう。 検算用に、imabs(B)^2+imabs(F)^2=1となるのを確認してみるといいでしょう。 極限で自由粒子や、完全反射なども検算のネタになるかと思いますので U0>>Eにしたり、b=0にしてみたりするのもアリです bを大きくして、透過波がほぼゼロになるのを確認するのもいいですね。 そうしてから、B,C,D,Fそれぞれを、imdiv(B,C,D,F分子,分母)といった風に計算するとミスも減るかと思います。 そのようにして得たB,C,D,Fを、いよいよ波動関数として実装させます。 exp(ikx)では、imexp(complex(0,kx))といった計算をやっています。 隣の列の、Bexp(-ikx)ではimproduct(B,imexp(complex(0,-kx)))といった計算を行っています。 ここで、Bとkに絶対参照を施すのを忘れずに Cexpk1xのC以外は実数なので improduct(C,exp(k1*x)) (Cとk1に絶対参照) とやっていて、imexpの代わりに実数のみのexpを用いて、計算を簡略化してます Dexp(-k1x)も同様にimproduct(D,exp(-k1*x))とやっています。 Fexp(ikx)=improduct(F,imexp(complex(0,k*x)))です。 Ψ1=imsum(1列目,Bの列) Ψ2=imsum(Cの列,Dの列) Ψ3=Fの列 とやっています。 x=0でΨ1=Ψ2 x=bでΨ2=Ψ3となっていることを確認して ΨではIF(x<0,Ψ1,IF(x<b,Ψ2,Ψ3)) とやっています。(bの絶対参照) これで、解析解を得ることができました。 横軸がxで縦軸がReΨとImΨのグラフを描いて確認すると、ちゃんと連続性が保たれていることがわかるかと思います。 実部・虚部ともに、0階微分も1階微分も連続になっていますね。 ちなみに、文字列として出力された複素数の実部と虚部を取りだすには imreal(複素数)とimaginary(複素数)を用います。 この一連の複素数用の関数群は、アドオンで追加できるんだったかと思います ユーザー定義関数で作っているわけではありません。 つづく まず訂正があります。 Fの分子に2ikk1と書いてありますが、正しくは2kk1でした。 それでですね、入社粒子のエネルギーがポテンシャルの高さよりも高かった場合の解析解なんですけどね 思い出したんですよ。 k1をik1に置き換えて最初の行列方程式から計算することなくて この結果のk1をik1に置き換えるだけでよかったんです。 昨日はびっくりドンキーで、散々計算してました。 無駄時間を過ごした気分ですが、とても居心地がよかったのでまんざらでもありませんでした。^^ 正しくはこういうことなんですが、 ここで、k1をik1に置き換えてみますと、以下のようになります。 よく見ると、双曲線関数が全部三角関数に置き換えられていることが分かるかと思います。 こうすることでk1<kの状態にも拡張することができるようになりましたので ようやくk1→0の極限を計算することができます。 しかし、k1=0にすると、分母がゼロになってしまうため 不要な項を消して整理してから、分母分子をk1で割ってみましょう。 するとこのようになります。 ここで、sink1b/k1のk1をゼロにしてしまうと、一見不定のように見えるのですが これはsinc関数と言ってsincx=sinx/xのx→0で、sincx=1になることが知られています。 ためしにロピタルの定理を使ってみるとわかるかと思います。 結果、以下のようになります 昨日もびっくりドンキーの中で計算していて、奇妙に思っていたのですが この式が自由粒子の解になるにはk1=0(k1<<k)の条件だけではなく 2>>kbの条件も必要なようで そうすると晴れて 反射波0、透過波1の自由粒子の解が得られるようです。
拡大縮小だろうが回転だろうが、一括で複素数割る複素数でやってしまって、
その算出された複素数の平均値を取り、 ボード線図やナイキスト線図の代わりとする。 自信があればな!!! 誤差の理論を複素数に拡張したい需要なんてほとんどないだろうけど あるとしたら、平均値は複素数で、標準偏差や残差なんかは実数なんじゃないかとふと思った まあ、Excelには案の定imaverageないんですけどね IMSUM(A1:A100)がちゃんと動いてよかった |平均値-サンプル値|^2を全部足す。これは実数でいい。たぶん Ψ:算出した波動関数 An=imdiv(Ψ解析(複素数),Ψ数値(複素数)) こいつらを avg=imsum(An)/counta(An) Bn=abs(imsub(avg,An))^2 sqrt(sum(Bn))/count(Bn)とかそんなんで標準偏差を求める (この式は二乗和平均だから少し間違ってる) どうも順向き螺旋よりも逆向き螺旋の標準偏差?のほうが大きく出せたっぽい まだテスト
y''+k^2y=0を解くと
exp(ikt)とexp(-ikt)の線形結合であるという予想ができるので y=Aexp(ikt)+B(-ikt) とするだろう。 このうちの、AかBどちらかだけに残っていてもらってもう片方にお亡くなりになってもらえばいいのだから たとえばBにお亡くなりになってもらうとして y=Aexp(ikt) にすれば立派なオイラーの公式となる。 B=0にしたいので t=0におけるAを満たすには y=A および y'=ikA つまりy'/y=ik これが条件だ! A=1なら、よりシンプルだ。 数値計算したければ y'=ikyなので、差分法を用いて (y1-y0)/dt=iky0 つまり y1=y0(1+ikdt) (y0=A) こうだ。 また、Aにお亡くなりになってもらうとするなら y'=-iky 数値計算においては y1=y0(1-ikdt) (y0=B) まとめると y'=±iky y1=y0(1±ikdt) (y0はAxorB) この初期条件を使えば、真円偏光なオイラーの公式が解として出せるはず! これでkやdtについても一般化できたぜ!フヒヒwwwwww
実はこの初期値、ただ複素数にするだけではオイラーの公式((真)円偏光)っぽいものは出ない。
初期値に実数を入れると、三角関数そのものになる(直線偏光)が、その絶対値の2乗を取ると 当然、全波整流に似たものになるだろう。 厳密には全波整流ではなく、角ばってはいない。 c^2+s^2=1 から c^2-s^2=c2 を引くと 2s^2=1-c2が得られるので s^2=(1-c2)/2 つまり、周期を半分にしてバイアスがかかった余弦波そのものである。 では、ノルムが直流なのと、全波整流っぽいやつの間には何があるのだろうか それが、楕円である。 たとえば (x/2)^2+y^2=1 という楕円の式があったとして cos=x/2 sin=y とすると x^2+y^2=(2cos)^2+sin^2=4cos^2+sin^2=3cos^2+1となって、脈流する。(楕円偏光) これは全波整流でも直流でもない。ちょうどその中間に相当する。 ということを、トンネル効果の数値計算をやっていて今更思い知らされたので、メモしておく |
カレンダー
カテゴリー
最新CM
[08/08 さつ香]
[12/30 buy steroids credit card]
[09/26 Rositawok]
[03/24 hydraTep]
[03/18 Thomaniveigo]
最新記事
(01/01)
(03/19)
(03/18)
(03/18)
(02/23)
(02/14)
(02/12)
(01/03)
(09/23)
(09/23)
(02/11)
(05/30)
(05/28)
(05/28)
(05/27)
最新TB
プロフィール
HN:
量子きのこ
年齢:
44
HP:
性別:
男性
誕生日:
1981/04/04
職業:
WinDOS.N臣T
趣味:
妄想・計算・測定・アニメ
自己紹介:
日記タイトルの頭についてるアルファベットは日記の番号です
26進数を右から読みます 例:H→7番目、XP→15(P)×26+23(X)=413番目。 A=0とする仕様につき一番右の桁はAにできませんのでご了承くださいズコー
ブログ内検索
アーカイブ
最古記事
(05/11)
(05/11)
(05/13)
(05/13)
(05/13)
(05/13)
(05/13)
(05/13)
(05/14)
(05/14)
(05/14)
(05/14)
(05/16)
(05/16)
(05/16)
アクセス解析
|

