|
20080511~
13と7と11の倍数の論理積は13と7と11の積の倍数である。
和ァ・・・
× [PR]上記の広告は3ヶ月以上新規記事投稿のないブログに表示されています。新しい記事を書く事で広告が消えます。
前回のあらすじ
状態が3つある角運動量の代数(行列力学?)の上昇演算子?についてる√2のルーツを探りました。 =========== 今回は状態を5つにしてみます。つまり、5行5列の行列が計算対象になります。 上昇演算子?は以下のように 下降演算子?も以下のように定義されます。 A,Bはあとで定まる未定の定数です。 L+=Lx+iLy L-=Lx-iLy の式から、LxとLyを求めると、以下のようになるので [Lx,Ly]=iLzからLzを求めます。 LxLyとLyLxはそれぞれ このようになりますが、あとで引き算すると、非対角成分はどうせゼロになるので、計算は省きます。 この対角成分が固有値、つまり2,1,0,-1,-2になってほしいので、そうなるようにAとBを定めます。 A^2=2*2=4 -A^2+B^2=2*1=2 A=±2なので -4+B^2=2 B^2=2+4=6 B=±√6 と定まりました。 つまり、 が本当の姿だったのだ! これの便利なところは、同じ種類に属するLx,Ly,Lzは固有値が共通ということです。 つまり、Lzで固有値が0,±1、±2とわかっているので、 LxとLyの固有値も、0、±1、±2と、わざわざ5次の行列式を展開して、 5次方程式を解かなくてもわかってしまうのです。 なんなら5次方程式も、λ(λ^2-1)(λ^2-4)=0と、因数分解した状態で逆算できてしまうので 展開してやれば方程式が算出できます。 Lxの固有値方程式にいきなり固有値をぶち込んでExcelに計算させたのがこちら (あ、λの符号が…アッ…アッ…マアイイヤ!) 同様にLyもExcelで計算可能です。 ただ行列の中身に虚数単位を掛け算してるだけなんで、それを抜かせば実数行列として計算できますよ PR
前回までのあらすじ
状態が3つある行列力学?で、角運動量の上昇演算子?L+と下降演算子?L-を定義しました。 ========== さて、この2つの演算子から、角運動量のx成分Lxとy成分Lyが求められるらしいです。 どういう原理なのか今なお僕自身理解できてないのですが、なんか計算できるらしいです。 という式があるらしいので、exp(±)からsinとcosを導出するノリで式変形するとLxとLyは以下のようになります。 本当は初めから係数をつけるべきだったのですが、ここからいきなり係数Aを付けさせてもらいました。 それから、角運動量Lのz成分であるLzとは、このような関係があります。 [Lx,Ly]=iLz これは、x,y,zをy,z,xやz,x,yに置き換えても言えるので [Ly,Lz]=iLx [Lz,Lx]=iLy となります。 ただ、x,y,zの順番で成立するのであって、逆回りつまりx,z,yやz,y,x、y,x,zでは符号が逆になって [Lx,Lz]=-iLy [Ly,Ly]=-iLx [Ly,Lx]=-iLz となります。詳しくは、レビチビタ記号を参照ください。 また、[,]は交換関係と呼び、たとえばAとBという行列であれば [A,B]=AB-BA と定義されます。 普通の数では交換法則があるので一般に交換関係はゼロに保たれるのですが 行列の積あるいは微分演算子が絡む場合などでは交換関係は一般に成立しません。 特に、AとBが物理量の場合、量子力学において交換関係がゼロでない際は不確定性原理が効いてきて、物理量A,B両方の精度を一定以上上げることが原理的にできなくなります。 (※将来的に、小澤の不等式も絡んでくる可能性は低くないと思います) 話を元に戻して、LxとLyの交換関係を実際に計算してみますと 実は Lzというのは量子化された数で対角化されるはずなので A^2/2=1であるべきで、A=√2であることが求められます。 つまり が本当の姿だったのだ!
なんか2年ぶりくらいになるような気がするこの計算。
前回もろくに途中経過書けてなかった気がするので、一旦初心に戻ったつもりで この知識が当たり前になる前に書き上げたい。 色々デジャヴると思いますが堪忍な。 まず、そうですね、放送大学で初めて、具体的な行列力学っぽい計算例を見た気がするんですけどね 最初は状態が3つある角運動量の話だったかと思います。 こんな感じの列ベクトルで、この3つの数字の枠どれか1つに1があるんですが、 ある状態の角運動量を1つ分だけ持ちあげる角運動量演算子をL+と書き 一番下の底辺だったら真ん中に、 真ん中にいたら一番上に、 一番上にいたら空の状態にする(この空の状態は存在しない) このような演算子をL+と定義します。 カッコの中、1列に数字が並んだものを列ベクトル 行と列に渡って2次元に配列されているものを行列と呼び、 (1行のものを行ベクトルまたは単にベクトルと呼びます) ベクトルや行列は掛け算ができます。詳しくは行列の積を参照してもらうとわかりますが、 行列同士の積は一般に交換法則が効かず、列・行ベクトルと行列との積は、場合によっては定義できないこともあります 演算子は、状態の左から掛け算することが多いです。 ここで、3つの状態を横に並べてみると、単位行列Eになることが分かります。 単位行列Eにある行列Aを掛け算すると、左から右から掛け算どちらでも、結果がAそのものになるので 一番上以外、1つずつ上に状態を上げる演算子をL+と考えれば、 L+は、変化させたい行列そのものであると考えることができ、導出が簡単です。 それでは、状態を1つずつ下げる演算子L-を考えてみてください。 コレの、1を1つずつ下げて、一番下の行(一番右の列)はすべてゼロにする演算子です。 そうですね、この感じで「ゆっくり説明するブログ」の方針で行ってみましょうか。 最近はあまり体力がなく、ご飯を食べるとすぐ眠くなってしまうので、あまり記事に力を入れられそうにないので、一度に膨大な量書くのは避けようと思います。 係数の話はおいおい。
まだアニメ化される前にちらちら視界に入っていたころ
「こいつらいつまで遭難してんだ?」 と思っていた。あまりよく知らなかった。 アニメ化すると聞いて、 「あ!もしかしてこれ実はコナン方式じゃね!?」 と思った。つまり 「父子ともに遭難体質が故によく遭難し、脈々とサバイバル知識を現地調達した主人公は1人だけ」 「残り3人はそれぞれ別世界線で主人公に巻き込まれる生贄」 なのでは? という説。 コナンで時々見かける「実は1年しかたっていなかった」というのも、別世界線説を用いれば辻褄は合う。 「人生でもっとも長く、もっとも大切な3週間の世界線漂流」というアレだ。 しかしながら、よく考えてみると、遭難というのは長く遭難してこそ遭難であり だんだん体力がえぐられ、メンタルも削られて行ってからが遭難ビジネスの本領発揮であり 別世界線説もアニメの観測結果と著しく異なるため、却下された。 最近、一般人に知識を付けさせてオタク化させるいわゆる「知育アニメ」が増えて 局の垣根を超えて日本のアニメの半分が教育テレビor放送大学になりかけているようだが 遭難をビジネス化させるにはどうしたらいいか考えていたところ、 ゾンビビジネスと相性がいいことが分かってきた。 遭難→生物としての死→ゾンビ化→ゾンビとしての死→生存 この一連のサイクルを取ると仮定すると、異世界転生ではなく同相世界転生モノということになる あの世とこの世はまったくの同じものであった。 よくいうデジタルワールドとかコンピュータワールド、フーリエ変換やラプラス変換のようなものである
今日の散歩中に思いついた妄想を思い出したのでメモ。
「人の記憶こそが時間なんだ」的な理屈を拡張すると たとえば、国単位の人数で認識違いを起こすと、集団幻覚が現実になりはしないかという実験 ロボティクスノーツとシュタインズゲートの合わせ技のようなものなんだけど 人の脳が直接作り上げられるARを、実は国がのっとっていて 1億人規模くらいで、少なくとも日本国内では無矛盾な過去をねつ造する そうすると、外国人にとっては人工的なリーディングシュタイナーが発動したように見えないだろうか それも、「あの国とその国民の言動おかしい」という形で、実験している日本以外の外人全員から白い目で見られるが、自覚がない。 ========== 脆弱すぎる人類がなぜここまでしぶとく繁栄しているのか。 原子が存在できないくらいの短時間で、古典的には知的生命は繁栄できないのではないか。 それを可能にしているのは、もしかしたら並列世界なのかもしれないとかいう妄想。 たとえばヒヤリハットだけど、ヒヤっとしたということは、そのヒヤッが実現して死んでしまった世界線が存在するからそう思えるとか そういう自由度を並列世界から得ないと、生物は生物として活動できず、無機物的なふるまいしかできないのではないかというもの。 ========== ここまでは昨日までの妄想。 ここからが今日の妄想で、それを人類や宇宙人に拡張してみる。 宇宙人とのコンタクトが成立しない理由 そもそも、太陽系がずいぶん個性的で、なおかつご都合主義のように思えはしないだろうか。 もしさっきの、「過去をねつ造する国を外部から見る」というのを、そのまま 「過去をねつ造する生命にあふれた惑星を外部から見る」 に置き換えてみると何が起きるだろう 規模がもはや「おかしな挙動をする人たち」レベルではなく 「生き物の挙動に見えない」とかにならないだろうか だとすると、実はそこら中にいる宇宙人に、本質的にコンタクトできないのもうなづけそうなきがする しらんけど
分離するわけなくねーか???
3d軌道の一部がトーラスになっていることを解析的に確かめる?
たぶんここの、d3z^2-r^2ってやつだな 3d軌道の「3かどうか」は関係ないのか。「dであること」だけ気にすればいいわけね 1s、2p、3dとかの、数字部分が主量子数nでエネルギー、アルファベット部分が縮退されてるやつ電子雲の形を表していると考えてよさそう、かな n,l,m,sって4つの量子数があるうち、スピンsは除くとして n以外縮退して機能してないのを「2重」って呼べばいいのか、「3重」って呼べばいいのか。 3つが1つになってんだからええと…わからん 次元と縮退の関係もわからんし、なんでwikiで「水素原子とかの縮退」と「中性子星の縮退圧」が水先案内されてんのかも全然わからん 量子数が増えるから次元を高く考えるのか??だとしたら学ぶ突破口が開けそうな気がしないでもない なんで11次元とか26次元とかやってんのかさっぱりだもんな
備蓄はとりあえず使い切るスタイル
小ネタしかないので今日のブログはブツブツしています 係数を無視して、球面調和関数の Y=sinθcosφ と Y=sinθsinφ 先日はpzをやったので、今回どちらがpxでどちらがpyなのか。 球面座標系の定義から見ていきましょう。 pzはz方向にタマタマが2つあったので、pyはy方向、pxはx方向にタマタマが2つ並んでいると予想できます。 ですので、φ=0で|Y|=1になるほうがpxで、もう一方がpyなのだと仮定し、計算を進めていきましょう。 Y=sinθcosφがpxだとすると、これを x=|Y|sinθcosφ y=|Y|sinθsinφ z=|Y|cosθ に代入して x=|sinθcosφ|sinθcosφ y=|sinθcosφ|sinθsinφ z=|sinθcosφ|cosθ sinθcosφ>0のとき (x-0.5)^2+y^2+z^2=0.5^2 sinθcosφ<0のとき (-x+0.5)^2+y^2+z^2=0.5^2 となることを証明すればよい どちらにしても (x-0.5)^2+y^2+z^2=0.5^2 こうなるので、x,y,zを代入すると (|sinθcosφ|sinθcosφ-0.5)^2+(|sinθcosφ|sinθsinφ)^2+(|sinθcosφ|cosθ)^2=0.5^2 (sinθcosφsinθcosφ-0.5)^2+(sinθcosφsinθsinφ)^2+(sinθcosφcosθ)^2=0.5^2 sinθcosφの2乗でまとめると さらにカッコの中をsinθの2乗でまとめると おわり =========== はい次py Y=sinθsinφがpyだとすると、これを x=|Y|sinθcosφ y=|Y|sinθsinφ z=|Y|cosθ に代入して x=|sinθsinφ|sinθcosφ y=|sinθsinφ|sinθsinφ z=|sinθsinφ|cosθ sinθsinφ>0のとき x^2+(y-0.5)^2+z^2=0.5^2 sinθsinφ<0のとき x^2+(-y+0.5)^2+z^2=0.5^2 となることを証明すればよい どちらにしても x^2+(y-0.5)^2+z^2=0.5^2 こうなるので、x,y,zを代入すると x^2+(y-0.5)^2+z^2=0.5^2 (|sinθsinφ|sinθcosφ)^2+(|sinθsinφ|sinθsinφ-0.5)^2+(|sinθsinφ|cosθ)^2=0.5^2 (sinθsinφsinθcosφ)^2+(sinθsinφsinθsinφ-0.5)^2+(sinθsinφcosθ)^2=0.5^2 sinθsinφの2乗でまとめると さらにカッコの中をsinθの2乗でまとめると おわり
小ネタしかないので今日のブログはブツブツしています
係数を除けば、Y=cosθなので、これを x=|Y|sinθcosφ y=|Y|sinθsinφ z=|Y|cosθ に代入すると x=|cosθ|sinθcosφ y=|cosθ|sinθsinφ z=|cosθ|cosθ cosθ>0のとき x^2+y^2+(z-0.5)^2=0.5^2 cosθ<0のとき x^2+y^2+(-z+0.5)^2=0.5^2 となることを証明すればよい どちらにしても x^2+y^2+(z-0.5)^2=0.5^2 こうなるので、x,y,zを代入すると (|cosθ|sinθcosφ)^2+(|cosθ|sinθsinφ)^2+(|cosθ|cosθ-0.5)^2=0.5^2 (cosθsinθcosφ)^2+(cosθsinθsinφ)^2+(cosθcosθ-0.5)^2=0.5^2 cosθの2乗でまとめると さらにカッコの中をsinθの2乗でまとめると おわり
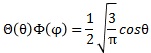
2018年3月26日の、3次元井戸型ポテンシャルについてのブログを参考に、水素原子様の電子殻の、2p軌道の電子雲を描いてみました。
今回異なるのは、直交座標ではなく球面座標になったところです。 妥当な計算かどうかもよくわからないので、結果だけ表示するのではなく 途中の計算過程も公開しようと思います。 wikipediaの、水素原子様の波動関数のページを見てみると、長ったらしいページの途中に 具体的な波動関数が記述されているので、それを使います。 今回は2p、とりわけ2pzについて描画したので 動径方向の波動関数RはR2pを (r:距離、a0:ボーア半径、Z:原子番号で、今回Z=a0=1とします) 球面調和関数Θ(θ)Φ(φ)は、表の2段目(l=1、m=0)の (θとφはそれぞれ、wikiの「球面座標系」を参照してください なので、φとθの範囲は0°≦φ<360°、0°≦θ≦180°となります。 φとθの取り違えと、θの範囲にご注意ください。θの範囲は分野によっては-90°~90°のときもあります) をそれぞれ用います。 さっそくExcelでの実装に移ってみましょう。 r=5*rand() φ°=360*rand() θ°=180*rand() (rand()は0~1の一様乱数を返す関数です) とそれぞれ入力し、1000行ほど繰り返します。 (rのrandに掛け算した5は、なんとなくです) 次に、φとθの単位を°からradに変換するために、pi()/180を掛け算します。 それから、これを直交座標系に変換します。 x=r*sin(θ)*cos(φ) y=r*sin(θ)*sin(φ) z=r*cos(θ) なので、これを反映させます。 それではいよいよ、波動関数を実装してみます。 (PCユーザーの方は、図をクリックすると等倍表示に拡大されます) Rrには先ほどの にrを掛け算したものを用い、 ΘΦにも先ほどの この式を入力してください それから、「確率」の列には RrとΘΦを掛け算して、さらに2乗した数値を入力します 確率=(R*r*Θ*Φ)^2 そして、図の中央付近の列の、「判定」の列には if(確率>0.5,1,0) を入力します。 この「確率」の列には0か1のどちらかしか入らないのですが 1000行ほどある確率の列全体の半分くらいが1になるように、「確率」の列に適切な定数を掛け算して、調整してください。 このままだと、再計算のたびに乱数の値がうごくので、 x,y,z,判定の列を、「値のみコピー」して別のところに貼り付けます そうして張り付けたのがこちらになります。 ここで、x,y,z,判定のラベルに、2つ以上の書式を設定してください。 今回は「中央よせ」と「太字」を設定しました。 こうすることで、並べ替えが行えるようになるので、「判定」を基準に降順で並べ替えると 以下のようになります。 この表の、判定が「1」となっている上半分くらいを範囲に、y-zをグラフ化してみると、 このようになります。(合ってんのかなあ?「2pz軌道 波動関数」とかで、特に「画像検索」の「アニメーション」を選択して検索すると、他の方の計算結果が参照できます) 回してみました1 回してみました2 合ってるかどうかについては、「一様乱数」界隈が気になりますね… pixivのほうにもスクロール用を挙げておきました
昨日から今日くらいにかけて、久々にExcelでガリガリ計算して、久しぶりに水素原子の波動関数について定量的かつ具体的に考えるなどしていました。
詳しいことは後日書きたいのですが、球面座標は本当に面倒なものですね。 直交座標系はあんなにxとyとzが対等だったのに 球面座標系だと、まずrと、θ・φの次元が違うし θとφは時々入れ替わっているかもしれないし φは範囲が360°なのに対してθの範囲は180°だし そのφの範囲も0~180だったり-90~90だったりまちまちだし それも分野ごとに平然とプロトコルが違う!!! その上、変数分離したあとのrを変数とする動径方向の波動関数Rは R単独で表記することもあれば Rにrを掛け算して表記することもあり Rにrを掛け算してから2乗して積分しないと、存在確率が規格化できない! それなのに、平然とR単独の量やグラフも重宝されている!!! ホントもう、ブランクが空くと、「水素原子 波動関数」でググったwikiを見るだけでも苦労です 部品としてのみ使いたい人の方が余計に苦労されるんじゃないすか。 教科書とかwikiとか、整備されてるはずの情報に対して片っ端から疑心暗鬼になりますね。 しかもこれ、波動関数そのものを知りたいのならいいですけど 電子運の分布を描画したいときは、確率的にしか描画できないので まず合っているかどうかを確かめるすべがないところから始めるのが苦労するところで 波動関数そのものだったらそれはそれで、3次元空間にさらに波動関数の次元を用意しなきゃならないので、一体どうなってしまうんだと途方にくれるわけですよ。 デバッグの方法すら実はよくわかっていなかったと。 動径方向の波動関数Rの規格化はまあわかるんですが 残りの球面調和関数Y=Θ(θ)Φ(φ)がまたわけわからんですよね なんでφの関数に虚数入ってんだよ!とwwwwいつから複素平面でやってたんだよとwww 実は今日初めて知った情報なのですが、球面調和関数の描画方法、僕実は知らなくて x=rsinθcosφ y=rsinθsinφ z=rcosθ のrを|Y|に置き換えるといいんだそうです。 知ってから数時間生きてたらだんだん意味が分かってきたんですが 最初「なんですか?それ」でしたよ!!!! 2p軌道も疑心暗鬼で こいつが小さな2つの球々(たまたま)なのかどうか気になって仕方がありませんでした たとえば2pzだったら係数はさておきY=cosθになるわけですけど x^2+y^2+(z±0.5)^2=0.5^2 が本当に成り立つのか、不安でしたねえ (±は、Y=cosθ>0ならマイナス、Y<0ならプラスです) 2pxと2pyはそれぞれ (x±0.5)^2+y^2+z^2=0.5^2 x^2+(y±0.5)^2+z^2=0.5^2 が成り立ちます。 以前、直交座標系で3次元の井戸型ポテンシャルみたいなのをやったときを参考に 球面座標に応用してみました。 解釈があってるのかどうかいまいちよくわかりませんが、おおむねそれっぽい図ができたみたいです。 それも後日紹介したいです。 やーまじ合ってるかわかんないんで、やり方も含めて恐る恐るの公開ですよ。 早いもので僕ももうすぐ40歳、大学を出てからの歳月も20年近くになるんですよね。 思えばずいぶんと回り道をしてきたような気がしますが、今なお考え続けることができていることには本当に感謝ですね 今回のブランクは結構重症なくらい期間が空きましたが それでも少し慣らしたら感覚が追いついてくれてよかった。 僕にとってこういう計算は、スポーツでいうスキーのようなものかもしれません。 思いっきり体に染みついてるんで、ブランクが少し空こうが体が、指が覚えてるんですよね 若いころにがむしゃらにやっといてよかった。 ただ、腰が痛い。 椅子に長時間座っていられない ブログを長々書いていると、片方の足が妙にしびれる ああ、困ったなあ。 計算したことブログに上げる体力がないです。困った ああそうだ。球面調和関数の規格化ってどうなってんの!!!! そのうち自力で突き止めてやるからなーーーー!!!!
6563というナンバーを見かけた。
64の2乗から1を引くわけだけど 65には13、63には7が素因数として含まれているので 65*63と1001=11*13*7の最大公約数は91になるはずだ。 ところで、63*65はいくつか 64は2の3乗の2乗なので2の6乗 64の2乗は2の12乗 2の10乗が1024なので、それを4倍して4096 4096から1引いて、4095 なるほどちゃんと5の倍数になっている。 また、4+5=9なので、9の倍数でもある。 5を2倍した10を409から引くと、399 9を2倍した18を39から引くと21でこれは7の倍数なので、4095も7の倍数だし 5を4倍した20を409に足したら429で 9を4倍した36を42に足すと78、 8を4倍した32を7に足すと39になってこれは13の倍数なので、4095も13の倍数 よしOKだ。 4095を1001で割ると、4あまり91 |
カレンダー
カテゴリー
最新CM
[08/08 さつ香]
[12/30 buy steroids credit card]
[09/26 Rositawok]
[03/24 hydraTep]
[03/18 Thomaniveigo]
最新記事
(01/01)
(03/19)
(03/18)
(03/18)
(02/23)
(02/14)
(02/12)
(01/03)
(09/23)
(09/23)
(02/11)
(05/30)
(05/28)
(05/28)
(05/27)
最新TB
プロフィール
HN:
量子きのこ
年齢:
44
HP:
性別:
男性
誕生日:
1981/04/04
職業:
WinDOS.N臣T
趣味:
妄想・計算・測定・アニメ
自己紹介:
日記タイトルの頭についてるアルファベットは日記の番号です
26進数を右から読みます 例:H→7番目、XP→15(P)×26+23(X)=413番目。 A=0とする仕様につき一番右の桁はAにできませんのでご了承くださいズコー
ブログ内検索
アーカイブ
最古記事
(05/11)
(05/11)
(05/13)
(05/13)
(05/13)
(05/13)
(05/13)
(05/13)
(05/14)
(05/14)
(05/14)
(05/14)
(05/16)
(05/16)
(05/16)
アクセス解析
|

