|
20080511~
13と7と11の倍数の論理積は13と7と11の積の倍数である。
和ァ・・・
× [PR]上記の広告は3ヶ月以上新規記事投稿のないブログに表示されています。新しい記事を書く事で広告が消えます。
1つしかなく無数の元を持つ有理数体Qの代わりに、無数にありながら有限個の元を持つ有限体Fp(pを法としたあまり:モジュロ演算)で楕円曲線をしらみつぶし的に考えることができるらしい。
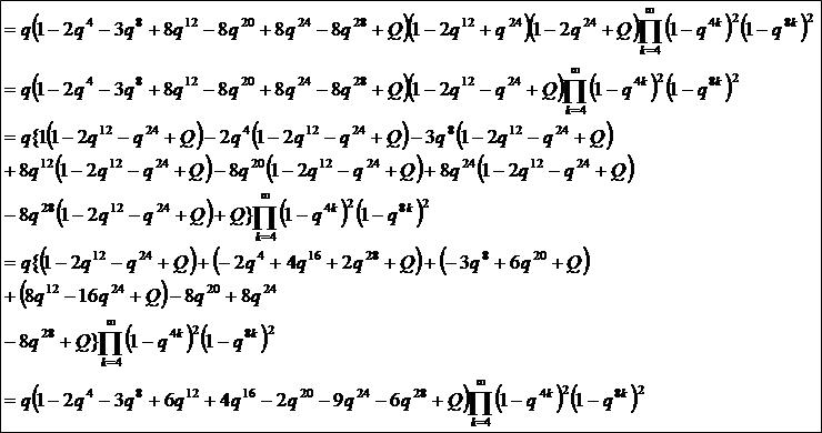
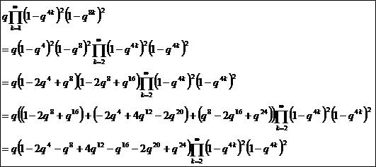
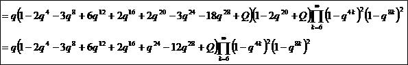
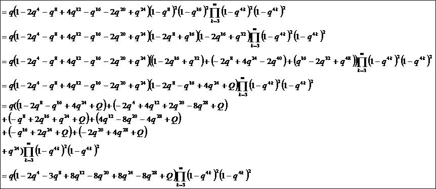
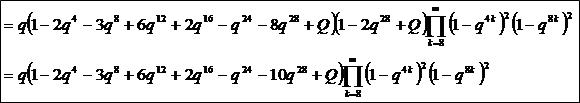
たとえば5で割ったあまりで楕円曲線y^2=x^3+xが成立するかどうかを調べるとこうなる。 5×5=25個の組み合わせの中で成立するのは7つだけ。 これは、楕円曲線の「重解を除く」という条件があるためらしい。 以下に素数p:2~29を法とした楕円曲線の表(表はimageです)へのリンクを貼る。 2, 11 pに対する成立個数s(p)を改めて表にまとめるとこうなる ところで 実に数学らしい薮蛇現象があって 保型形式 たとえばこんなん の無限積をqの30次まで展開すると qの次数について次のような級数となる。 k次の数列をa(k)とすると、以下のような表(表は図です)になる。 展開の方法としては、30次以上になるものを大文字のQでまとめて無視してしまい kを徐々に増やしていき、30次未満が出なくなるkまで進んだらストップ ということをやればいいそうだ。 PCは解析的計算においても便利だな。コピカペはできるし字がきれいだ。 qの次数を素数pに限りa(p)としてから、楕円曲線の法(素数p)ごとに成立する数s(p)と比べると (aには4の倍数次のときの係数しかないので) a+s=pが成立している。 なにやらこのような手続きを経て、フェルマーの最終定理は晴れて予想から定理になれたらしい・・・ なんだかよくわからないが、雰囲気だけは醸し出されたようだ と、僕の主観ではそう思った。 俗に言うブルーバックス現象とか、きつねにつままれたような入門書現象とかそういうやつである。 まあ、入門書ですべて理解できたら専門書なんていらないんだ。 全人類が研究者になってしまうますしおすし。 Fermata Last Teiri4 ![]() にほんブログ村 PR
|
カレンダー
カテゴリー
最新CM
[08/08 さつ香]
[12/30 buy steroids credit card]
[09/26 Rositawok]
[03/24 hydraTep]
[03/18 Thomaniveigo]
最新記事
(01/01)
(03/19)
(03/18)
(03/18)
(02/23)
(02/14)
(02/12)
(01/03)
(09/23)
(09/23)
(02/11)
(05/30)
(05/28)
(05/28)
(05/27)
最新TB
プロフィール
HN:
量子きのこ
年齢:
44
HP:
性別:
男性
誕生日:
1981/04/04
職業:
WinDOS.N臣T
趣味:
妄想・計算・測定・アニメ
自己紹介:
日記タイトルの頭についてるアルファベットは日記の番号です
26進数を右から読みます 例:H→7番目、XP→15(P)×26+23(X)=413番目。 A=0とする仕様につき一番右の桁はAにできませんのでご了承くださいズコー
ブログ内検索
アーカイブ
最古記事
(05/11)
(05/11)
(05/13)
(05/13)
(05/13)
(05/13)
(05/13)
(05/13)
(05/14)
(05/14)
(05/14)
(05/14)
(05/16)
(05/16)
(05/16)
アクセス解析
|


