忍者ブログ
20080511~ 13と7と11の倍数の論理積は13と7と11の積の倍数である。 和ァ・・・
[2389] [2388] [2387] [2386] [2385] [2384] [2383] [2382] [2380] [2379] [2378]
×

[PR]上記の広告は3ヶ月以上新規記事投稿のないブログに表示されています。新しい記事を書く事で広告が消えます。

バイバイン乗フィボナッチ 
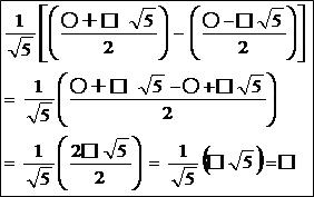
一番上、左辺が2つの黄金率(x^2-x-1=0の解2つ)なんですけど
ルート(「平方」根)だけが入った多項式なので、2乗しても2項で済むんですね
そうやって2乗をさらに2乗・・・としていくと128乗、つまり128番目のフィボナッチ数列の種までがたった6回の手計算で行えちゃいまして

しかも2乗する際のルールが、
ルート入り多項式を2乗するときのアルゴリズム例 
・1項目:元の2項目の2乗に5をかけて1項目の2乗に足して2で割る
・2項目:1項目×2項目

種からフィボナッチを取り出す 
と、至極単純であり、
この「種」からフィボナッチ数列を取り出す際も、2項目の分数やら√5やらをバッサバッサちぎっては取っ払った整数がそのまんまフィボナッチ数列というなんとも単純明快なものなので

0番目:0

1番目:1
2番目:1
4番目:3
8番目:21
16番目:987
32番目:2,178,309
64番目:10,610,209,857,723
128番目:251,728,825,683,549,488,150,424,261

と、あっさり計算できてしまうわけです。

最後のあたりでExcelの計算限界に達したので電卓の力を借りました^^
電卓の限界がいまいちよくわかりませんw
ブログランキング・にほんブログ村へ
にほんブログ村

拍手[0回]

PR

コメント


コメントフォーム
お名前
タイトル
文字色
メールアドレス
URL
コメント
パスワード
  Vodafone絵文字 i-mode絵文字 Ezweb絵文字


忍者ブログ [PR]
カレンダー
09 2025/10 11
S M T W T F S
1 2 3 4
5 6 7 8 9 10 11
12 13 14 15 16 17 18
19 20 21 22 23 24 25
26 27 28 29 30 31
ブログランキング
ブログランキング参戦中
にほんブログ村 アニメブログ 深夜アニメへ
にほんブログ村 漫画ブログ SF・ファンタジー漫画へ
にほんブログ村 科学ブログ 自然科学へ
よかったらポチッとお願いします^^
最新CM
[08/08 さつ香]
[12/30 buy steroids credit card]
[09/26 Rositawok]
[03/24 hydraTep]
[03/18 Thomaniveigo]
最新TB
プロフィール
HN:
量子きのこ
年齢:
44
性別:
男性
誕生日:
1981/04/04
職業:
WinDOS.N臣T
趣味:
妄想・計算・測定・アニメ
自己紹介:
日記タイトルの頭についてるアルファベットは日記の番号です
26進数を右から読みます
例:H→7番目、XP→15(P)×26+23(X)=413番目。
A=0とする仕様につき一番右の桁はAにできませんのでご了承くださいズコー
バーコード
ブログ内検索
アクセス解析