忍者ブログ
20080511~ 13と7と11の倍数の論理積は13と7と11の積の倍数である。 和ァ・・・
[1] [2] [3] [4]
×

[PR]上記の広告は3ヶ月以上新規記事投稿のないブログに表示されています。新しい記事を書く事で広告が消えます。

綾乃ちゃん、ソワソワする
数十億人の未来のためとか言われてもわからないが、明日の自分の趣味(パンツ)につながる技術なら、つなげたい。

固有値・固有ベクトル

対角化

指数行列

・・・なんだかわからないけどとりあえず紡がれていくバトン・・・


お久しぶりです。対角化シリーズです。こんにちは。


10年以上前に習ったはずの、「指数関数の中身が行列」に、ようやく自分の知識がつながってくれました。

中身が行列ってお前・・・どんな概念だよ
ということになりそうですが
中身がスカラーだったときも、指数関数を定義する際にテイラー展開を使ったじゃないですか。
exp(x)=Σ(x^n/n!)

このxを行列Aに応用すればいいだけなんです。

つまり
exp(A)=Σ(A^n/n!)

と、ここで行列Aのべき乗が出てきました。
行列の掛け算は過去日記で、掛け算に都合のいいように「対角化が可能」という話をしました。

この「対角化」には「固有値」と「固有ベクトル」を用います。

対角化された行列は対角成分しかないので、その対角成分同士の積を、まるでスカラーのように計算することができます。
もちろん、行列Aのn乗などの「べき乗」においても有効なのは言うまでもありません。


そこで、
exp(A)=Σ(A^n/n!)のAを
A=UλU-1
という、ユニタリ行列Uとその逆行列、そして対角行列λの積で表現してやれば

exp(A)=U(Σ(λ^n/n!))U-1

で表現することが可能になるのです。

とりあえず、以前対角化するときにネタに使用したフィボナッチ数列の行列表現フィボナッチ行列 を用いて検算をしてみましたが、検算以上のものは見いだせず、ちょっと萎えてしまうところでした。


なんかこう、結果が綺麗に見えるものはないかと考えていたところ
パウリ行列σ1~3なんか適任なんじゃないかと思えてきまして
じゃあもしかして、eのπパウリ行列乗ってマイナス1的な何かになるんじゃねえの!?ぐうぇっへっへ・・・

と思ってやってみたんですが、ハイパボリックの中身πなんて面白くもなんともない・・・



そこでもう少し知恵を絞って
あ、そういえばパウリ行列同士の積ってなんだろう?
という疑問を抱いたことを思い出し
クォータニオンの積と照らし合わせると、実部がスカラー積、虚部がベクトル積にほぼ相当しますよね
ってのを思い出して

あ、じゃあ
eのπパウリ行列乗ではなくて、eのiπパウリ行列乗だったらなんか面白いことになるんじゃね!?

っつうわけで計算したら
たおぱいぱい 
eのiπパウリ行列乗はなんと、マイナス単位行列だったのです!σ1~3すべてです!
exp(iπσn)=-E n:1~3   デデドン!
オイラーの等式、行列バージョンキターーー!



オイラーの等式と打った時点で、じゃあもうお前時代は「等式」じゃなくて「公式」だよな!

ってことで、πだけではなく任意の角度θで一般化しましょう。^^


パウリ行列は以下のとおりです。i,j,kはそれぞれx,y,z軸の単位ベクトルです。
(新しく図を用意するのが面倒なので、虚数単位なのか単位ベクトルなのかは文脈で判断してくださいwww)
 パウリ行列


固有値は3つとも±1で、異なるのは固有ベクトルのみです。

固有ベクトルを算出して、対角化のための行列を用意しましょう。
パウリ行列の固有ベクトル(ユニタリ行列) 
3番目のパウリ行列はすでに対角化されているので、対角化のための行列UはUの逆行列と同じ、単位行列です。
(ユニタリと言いながら2で割るのをあえて最後にいっぺんに行っています
こういうのはなんでいう名前なのかと思いましたが、もしかして対角行列対角行列は別のものなのでしょうか?)


では、それぞれのパウリ行列を指数関数にぶち込みましょう。
20131116追記:なんかおかしいと思ったらiθが浮いてますね。ちゃんとm乗しましょうね(iθ)^m
パウリ行列を指数関数にぶち込む1
20131117追記:↓ここのユニタリの逆行列U^-1も、右側のiと-iが逆ですねすんません↓><
パウリ行列を指数関数にぶち込む2

パウリ行列を指数関数にぶち込む3

すると、回転を表現する方法が、いわゆる回転行列(σ2のとき)以外にも種類があることがわかると思います。みな個性的で可愛らしいですね。^^
パウリ行列の中で、唯一中身が純虚数のものを指数関数にぶち込んだら、唯一実数の結果が得られたというのも、実に皮肉な感じで興味深いです。




少しずつ計算の分野がニッチ化してる気がするんですね
「パウリ行列」で画像検索かけると少ないんですよ。
それなのに画像を間違えたまま載せとくのもどうかと思いつつ
でもここがブログだから差し替えるのもどうかと思いつつ
でも画像検索してくれた人がブログの訂正文を読まずに式を当てにしてくれてしまったら申し訳ないなぁ
じゃあブログでやるなよなんて言わないでくださいよう
僕の日常いつもこうなんですから・・・

といいつつ、「ここだけの話はここだけで」効果を期待して文字を小さくしてみる戦略的矮小・・・

eのiπパウリ行列乗のパウリ行列=-Eが1から3なのか0から3なのか迷っていたんですが0ですね。
単位行列の指数関数は2番めの成分が逆回転しないだけで、回るっちゃ回るんですよ1番目の成分と同じ方向に。

ブログランキング・にほんブログ村へ
にほんブログ村

拍手[3回]

PR
コユーティー まずは固有値を求めて

固ベ1 

固ベ2 
次に固有ベクトルを求めて(規格化)、

固有ベクトル(ユニタリ)からなるPの逆行列は、この場合Pの中身が複素数なので転置してからさらに複素共役を取ったエルミート共役になり
対角化  
まあ固有値で構成された対角化のための行列ができますわな。

じゃあ今度はそれを逆に演算して
回転行列のn乗を計算しやすくしたら~
まあド・モアブル的なのも途中で求まるとは思いますがー
euler 
結局、三角関数の指数関数的表現が出ただけだったっていうwwwwうぇっうぇww
実りねえなwww
ブログランキング・にほんブログ村へ
にほんブログ村

拍手[4回]

先日の日記のおまけでございます。

ちょっと条件が緩めでしたので・・・
単位行列でも対角がしたい! 
P-1AP=対角行列
のAが単位行列だったらPがどんな行列でも対角化可能なのですが
Aが単位行列ではなく対角行列だったら、Pはなんでもというわけにいかず、対角行列でなければならなくなります。
対角行列を対角化したかったら対角行列とその逆行列を左右にそれぞれかけなさい
という、考えてみれば至極当たり前な話です、はいwwww

あと、今回から元ネータExcelファイルを付属してみました^^

ブログランキング・にほんブログ村へ
にほんブログ村

拍手[0回]

最初は冗談のつもりだった・・・
まさか近いうちに具体例が現れることになろうとは、当の本人も予想だにしていなかったのです・・・

ターンエーとターンイー行列

数学にある、Aを逆さまにしたような記号と、Eを裏返したみたいなヨのような記号
これらはそれぞれ、全て(all)と存在(exist)を意味した記号なのですが
上下左右裏返すと当たり前ですがAとEになるんですね。

Aは行列では任意の行列、スカラーだとxのようなポジション
Eは単位行列、何回かけてもそのままの行列をあらわすことが多いわけですが

行列の掛け算EAEが、うまい具合に対角化できたらいいな

みたいな軽い気持ちで作った絵だったのです。


そしたらこれ、存在するんですよ・・・
っていうか、EAEが対角化される条件は、「Aが元々対角行列のとき全般」と、
かなり広範囲な条件だったりしまして・・・


そこで、最も簡単な対角行列である単位行列EをAにしてみて、マトリックスアドインをぶち込んだExcelで固有ベクトルを計算させると、とりあえず単位行列が具体的に算出されるんですわ。


でもよくよく考えてみると
この両側のEに相当する行列はほぼ、なんでもいいことが固有ベクトルの要請からわかりまして

まあ当然、行列式が0のような中の人がいない行列はアウツですが

これはまさしく、全て存在するのダジャレにピッタリな現象だなぁと。


特にEが単位行列の場合は、転置しても逆行列を求めてもそのままなので
なんとなくPAP-1のときと似たような感じで上付いた気分で下付けてみましたが
アニメーションを作り終えて気づきました


上下左右反転させたときに「マイナス」と「1」の配置が逆だったということを・・・!
-1じゃねえだろ1-だろうよ、おこだよ。
しかもそれをしっかりとケータイにメモしてあったのに読まないで作って後戻りができない自分がここにいると・・・!
やっちまったなぁ

ブログランキング・にほんブログ村へ
にほんブログ村

拍手[0回]

フィボナッチ行列 の随伴行列P は規格化してみると面白いですねえ
(たぶん)解除できない二重根号がうっとおしいですけどね・・・
固有ベクトルの規格化
綺麗な形してるだろぉ~?コレ実は|右上|=|左下|、|左上|=|右下|なんだぜ?


ユニタリ:右上がマイナスのP 
エルミート:右上がプラスのP 
当たり前っちゃ当たり前なんですが、実数範囲だとどうあがいてもユニタリかエルミートwww
特にユニタリだと回転行列なんですよね。
これも当たり前、ユニタリの特性ですが、逆行列が転置行列なんですね。
(3行3列以上は知りませんけど^^;狭い!)

回転行列だったら32度だった  
回転の角度0.5536[rad]=31.7[°]が何を意味するのかわかりませんがwww
なんか黄金率とは別のアスペクト比が出てきましたよ


と、そういえば最後に告知:重大な勘違い表記をしていたかもしれません
先日の、「固有ベクトルを並べた行列P」は随伴行列とは呼ばれないみたいです・・・
固有ベクトルを横に並べたやつってなんてーの 
なんて呼ぶのでしょうか・・・ほら、規格化されてないPとか・・・
規格化されてればユニタリですけどねえ




なんか15年前のことを思い出します
ドヤ顔で提出した制御工学とかのテストがまるっきり0点とかで、なんでや!ヽ`д´ノって思った思い出・・・
ブログランキング・にほんブログ村へ
にほんブログ村

拍手[0回]

こんばんは、対角化シリーズ最終回、のつもりです。

初回は、行列表現したフィボナッチ数列を例に、行列の対角化がどんなものなのかをざっくり説明しました。行列同士の掛け算が簡易に行える裏技だと書きました。

つづいて前回は、対角化のための準備である固有値固有ベクトルについて、フィボナッチ数列の行列表現を例に具体的に計算してみました。

今回は、その対角化を使って、フィボナッチ数列の一般式を導出して締めることにします。


フィボナッチ数列を行列表現した要となる行列A=ひぽなち行列
を対角化すると、固有値φ1=(1+√5)/2とφ2=(1√-5)/2、そして固有ベクトルからなる随伴行列Pを
固有ベクトル・随伴行列
を用いて行列Aを対角化すると

対角化
こうなることはわかいましたが、だから何なの?と思う方もいるかもしれません。
僕は思ったんですけどね。^;

この式の両辺に右からP-1を、左からPをかけるとどうなるでしょうか。
Pとその逆行列が約分?されて

対角化の逆変換(応用)
このようになることがわかるかと思います。

さて、フィボナッチ数列そのものは、
フィボナッチ行列
このように書くことができました。

あとの都合のために、n+1をnに、nをn-1に置き換えて

こうしておきましょう。
この、二重コンゴー「ぐへへ・・・対称行列だからExcelのアドインで数値計算できちゃうぜえ が行列Aなので、対角化したものを代入すると

驚愕の真相!フィボナッチ行列の正体!?
このようになるはずです。

どうも、随伴行列は自分自身の逆行列と打ち消されてべき乗しても形が変わらないようなので
戦慄の事実!フィボナッチ行列の正体は対角行列だった!!1
このようにn-1乗は対角化した行列のみにかかってくるようです。

また、対角化していますので行列といえどもべき乗は簡単で、そのまま対角成分のべき乗と書くことができます。

対角行列のべき乗は中の人のべき乗 

これが対角化の威力です。

つまり、フィボナッチ数列の行列表現は
対角化をフィボナッチ行列に合体!ガシーン!!
これに帰着でき、もはや手計算で行えてしまうのです。

変形合体!フィボナッチ大王!!
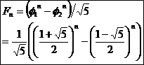
最終的に行列の上のほうだけわかればいいので、赤で囲った部分にだけ注目し
以下の様な一般式に無事、終着するわけです。^^
完成!イッパンふぃぼなっ式ー!!(バ○ダイのプラモデル)


お疲れ様でしたmm



合体ロボ同人サイト
ブログランキング・にほんブログ村へ
にほんブログ村

拍手[1回]

前回は、フィボナッチ数列の行列表記を例に、対角化の利用法を見てきました。
対角化は、行列を掛け算する際の裏技のようなもの、といいました。

固有値と固有ベクトルは、その対角化を行うための準備とも書きました。

それではフィボナッチ数列の行列を例に、具体的に固有値と固有ベクトルを計算してみましょう。

まず、固有値の定義はこうです。

Aという行列があったとき
|A-λE|=0となるλが固有値


Eは単位行列で、中身はコレ単位行列、何回かけても何回割っても変わらない です。数字でいうところの「1」のようなものです。
何回かけてもEのまま、逆数に相当する逆行列もEそのものです。EじゃなくてIと書いたりもします。

ではA-λEの両脇の||は何かと言いますと、これは囲まれた中身の行列式を計算するという記号で
行列式自体はスカラーです。デターミナントと読んで、det(A-λE)とも書きます。

行列式の説明は少し後回しにして、A-λEを実際に計算してみますと
固有値の求め方
こうなります。

この行列式を求めるのですが、2行×2列の行列式は割りと単純で

右下斜め掛け算-左下斜め掛け算

というスカラー量、つまりただの数になります。

黄金率(その他)を求める2次方程式
これが=0になるλを求めるわけですから、あとは2次方程式です。
黄金率とその仲間たち
このφ1というのは黄金率です。φ2はオマケのようなもので、2次方程式の解と係数の関係から
φ1φ2=-1(方程式3項目の係数)とか、φ1+φ2=1(方程式2項目係数の符号反転)とかいう関係があります。


固有値に関しては以上です。



==========
次に固有ベクトルの話に入ります。
固有値λ1とλ2を実際にA-λEに入れてみて
固有ベクトルの求め方
となるようなxとyの比を求めます。

この際、連立方程式のようになりますが、この2つは同じ式で、いわゆる永年方程式になるので、具体的にxがいくらいくら、yがいくらいくらとは求まらず、比しか求まりません
というか、固有値を求める作業自体が永年方程式を作ってるようなものなのです。

λ=φ1を代入してみますと、以下のような行列方程式になり
永年方程式
このような等価な2つの連立方程式(永年方程式)になるので(解と係数の関係を思い出して確認してみてください)
えーねん
xとyからなる固有ベクトル(列(縦)ベクトル)は1:-φ2から上のようになります。


また、固有値にλ=φ2を代入した際の固有ベクトルは以下のようになります。式変形はほとんど同じなので略します。
比しか求まらない

この2つの固有ベクトルを横に並べたものを随伴行列と呼んでPという記号で表します。

規格化してない随伴行列 

固有ベクトルを求める際に、xとyの比しか求まらないと言いました。
ということは片方の固有ベクトルのxとyの符号を反転して
片方の符号だけ反転 
こうしたり

両方の符号を反転
あるいは両方とも符号を反転して、こうしても問題はありません。

ですが筋は最後まで通してください
これらの随伴行列は左側にφ2がきていますが、固有値はφ1が最初(大きい方)で次がφ2(小さい方)
という約束の元で行っています。
それと同様に、勝手にルールを決められるからこそ、同じ約束事で筋を通さないと間違った結果になってしまうのです。

また、これらのベクトルはノルム(ベクトルの向きを無視した大きさや絶対値のようなもの)を1にしていません。(ノルムを1にするとルートの中にルートが入ってしまって面倒なのです><)
このノルムを1にする=規格化という作業もするかしないかも自由ですが、筋は通してください。


このあと出てくるPの逆行列P-1のところで重要になってくるのです。



=======
今後、印をつけたにしたがって進めていきます。(都合上、左上プラス、右上がマイナスのほうがいいのです)
①のPの逆行列P-1を求めるのです。

逆行列の求め方はこれを読んでいる方はもうご存知かと思いますが
2行2列の場合は
2行2列の逆行列 
・対角成分(右下がり)は入れ替え、
・そうでないもの(左下がり)は符号反転して
・全体を行列式(デターミナント)で割ります。
随伴行列の逆行列 

このPの逆行列を求める際に、①で決めたルールなのかなどというのを守っているのと守っていないのとで結果が違ってくるのです。



========
しまいに
随伴行列のPとP-1が出来上がったら、P-1・A・Pの掛け算をしてみてください。

対 角 化 !カルシウムハイドロオキサイド  
計算結果が2つの固有値で対角化されているのが確認できればOKです。
左上から右下にかけて、φ1(大きい方)→φ2の順番になっていることも確認して下さい。逆はダメです。
※PAP-1ではなくP-1APです。これも順番に気をつけてください。行列の掛け算は順番を気にします。
スカラーは順序気にしません。(√5など)



 次回はいよいよ、フィボナッチ数列の一般式を導出して、対角化の有用性を話してみたいと思います。



まとめ。たのしい!
ブログランキング・にほんブログ村へ
にほんブログ村
嬉しいです!<´皿`>

拍手[0回]

フィボナッチ数列はよく、「漸化式は単純なのに一般式を探そうとすると複雑」な、いい例として使われます。

しかしながら行列を用いれば一般式っぽく書くことが可能です。
これはただのこじつけではなく
行列という数学の道具を用いることで、スカラー(ただの数)での一般式を導き出す手順にもつながります。


n番目とn-1番目のフィボナッチ数列をFn、Fn-1とし、列ベクトルで書くとフィボナッチ数列の列ベクトル表記 
になりますが、1つ次のフィボナッチ数列1つ次のフィボナッチ数列にするには、以下のようなルールを持たせた行列を掛け算することで変換が可能です。
 フィボナッチ行列

また、これを拡張すると、最初のフィボナッチ数列つまり1番目(上)と0番目(下)のセットからn+1番目(上)とn番目(下)のセットを作り出したいときは行列A=フィボナッチなルールの行列 をn回掛け算(n乗)すればよいことがわかります。
つまりこうです。
フィボナッチ数列の行列表現 


しかし、行列の掛け算は手計算でやるにはやや複雑です。
そのため、掛け算を簡易化するために固有値固有ベクトル対角化という行列の道具を使うと便利です。


固有値や固有ベクトルというのはなんとも説明しがたい概念なのですが
とりあえず今回は対角化(掛け算の簡略化)のための準備と認識してもらえばOKかと思います。

対角化すると何が便利かといいますと
Aという行列があって、その正体が実はB=希望的観測 という対角成分だけの行列だったらn乗するとき
希望的観測のn乗 
になってさぞかし楽だろうなーという希望的観測に基づいた理論といっても過言ではないかもしれません。


これが実はできてしまうのです。
対角化でべき乗もへっちゃら
このようになる行列Pとスカラーa、bが割りとしょっちゅう存在するのです。
ここでいうaやbというスカラー(数)が固有値、行列Pを構成するベクトルが固有ベクトルと呼ばれているものです。
フィボナッチ数列の場合は2行2列の行列を扱いますが
一般にn行×n列の行列にはn個の固有値と、n列の固有ベクトルがnセットあることが多いです。


 次回は具体的に行列フィボナッチなルールの行列の固有値と固有ベクトルを計算してみます。

ブログランキング・にほんブログ村へ
にほんブログ村
シャエエー

拍手[1回]



忍者ブログ [PR]
カレンダー
09 2025/10 11
S M T W T F S
1 2 3 4
5 6 7 8 9 10 11
12 13 14 15 16 17 18
19 20 21 22 23 24 25
26 27 28 29 30 31
ブログランキング
ブログランキング参戦中
にほんブログ村 アニメブログ 深夜アニメへ
にほんブログ村 漫画ブログ SF・ファンタジー漫画へ
にほんブログ村 科学ブログ 自然科学へ
よかったらポチッとお願いします^^
最新CM
[08/08 さつ香]
[12/30 buy steroids credit card]
[09/26 Rositawok]
[03/24 hydraTep]
[03/18 Thomaniveigo]
最新TB
プロフィール
HN:
量子きのこ
年齢:
44
性別:
男性
誕生日:
1981/04/04
職業:
WinDOS.N臣T
趣味:
妄想・計算・測定・アニメ
自己紹介:
日記タイトルの頭についてるアルファベットは日記の番号です
26進数を右から読みます
例:H→7番目、XP→15(P)×26+23(X)=413番目。
A=0とする仕様につき一番右の桁はAにできませんのでご了承くださいズコー
バーコード
ブログ内検索
アクセス解析