忍者ブログ
20080511~ 13と7と11の倍数の論理積は13と7と11の積の倍数である。 和ァ・・・
[10] [11] [12] [13] [14] [15] [16] [17] [18] [19] [20]
×

[PR]上記の広告は3ヶ月以上新規記事投稿のないブログに表示されています。新しい記事を書く事で広告が消えます。

いやだめだろう


ホール素子で発生する電界を、向きはあってるんだけど逆に答えたことがある



行列式の掃き出し法、ちゃんと習おう。
今まではとにかく固有値問題がほとんどだったから、符号とか係数とかどうでもよかったけど
やっぱ不十分だ。実際困ってるじゃないか

だからローレンツブーストだかローレンツ変換だかで(特殊?)ユニタリじゃないとかわけわかんないこと言い出すんだ

なんでExcelに入れたときのdetと手計算のdetが一致しないのか意味が分からない
習おう

拍手[0回]

PR


上下の?が上=9、 下=14、左右の?が左=12、右=2だったら確かに解はないんだけども

青い四角の左上=a、右上=b、左下=c、右下=dとおいて行列にしたところで
逆行列が存在しない、つまり(分母となる)行列式=ゼロとなるだけでは解なしには不十分だ。

たとえば、
上下左右の?を
上=下=0、左=右とするなら、解の数はゼロどころか無数に存在することになる。(どうでも永年方程式)



つまり、逆行列が?/0(発散)ではなく、0/0(不定)になるように分母だけではなく分子の行列式もゼロに設定すればいいというわけだ。
a+c=e
ブログランキング・にほんブログ村へ
にほんブログ村

拍手[0回]

字が汚いうえに、どうも手計算のときと数式エディタのときとで、方針が違うみたい。


ジョルダン標準形の例題をやろうとしてたんだけど、
5問中5問、固有ベクトルを求める前の、固有値を求める方程式の時点でケアレスミスしてんじゃお話にならないっつうことで

Excelの数式エディタで解析計算してみた。

今更になって気づいたんだけど、
行列式は固有値の積なんだから、それをパズルのピースとしてヒントにしない手はない

ある意味、数独や因数分解のように、かけてdet足してtrになるものなーんだ!?状態じゃないか。
なーんだ。


こういうとき、数式エディタの下地がワードとかじゃなくExcelだと便利だよね。
すぐ下を計算用紙にできる。
mdeterm(てさぐれ!ラムダもの)


この行列式はね、固有値を試行錯誤すること自体が活動目的なの。
なんなん!?0w0

ナン大臣です」「あ、偉くなった
ブログランキング・にほんブログ村へ
にほんブログ村

拍手[0回]

ツェラーの公式

唯「縁・・・今日て・・・」

ゆずこ「じゃあためしにやってみるね?シャキーン」

唯「ゆずこのアホ圧が・・・消えた・・・!?」

縁「わーいメガネゆずちゃんだ~」

(めがねかけながらならわかるのか・・・どっかの完全反磁性とは違って古典的だな)

ゆずこ「まず、今日の日付を年、月、日にわけて入力するね?」
 

ゆずこ「今日は2月です!」

唯「いきなりどうした!?」

ゆずこ「1月と2月は前年の13月、14月とするのです。そこで、月その2の枠を設けて、
月が1か2だったら12を足し、それ以外ではそのまま表示するとします。
if文とor関数を使うね?」
 IF(OR(月=1,月=2),月+12,月)
縁「うんうん」

ゆずこ「ここで見落としがちですが、前年の13月、14月というのも重要です。
そこで、年その2の枠も設けて、月が1か2だったら、年その2には俊-1を表示し、
それ以外では何もしないで表示します。」

 IF(OR(B月=1,月=2),年-1,年)

唯「そうか、今日は2016年ではなく2015年の14月って設定になるんだな。」

ゆずこ「はい。(ドヤァ」

唯(うっとい)「うっとい」

ゆずこ「次に、年を上2桁と下2桁に分けます。床関数モジュロ演算を使います。
床関数っていうのは、たとえば13.5は13にするとかっていう関数なんだけどね、
マイナスの場合は注意が必要なやつなんだー」

縁「めんどうくさいさんだねー」

ゆずこ「そう。たとえば-13.4だったら、-13じゃなくて-14にしなきゃならない、
めんどくさーいお方なのです。
ただ、モジュロ演算がマイナスの数に対応してないコンピュータも多いみたいなんで、
いっそのこと常にプラスの数を扱う前提にしちゃえば、rounddown関数で済むんだよ。
rounddown(13.6,0)みたいに、0桁目で切り捨てを行えば、整数になるじゃん?」

唯「意外といいやつなのかもな。」

ゆずこ「では実際に、年その2の上2桁を計算してみるね。」
 rounddown(年その2/100,0)

ゆずこ「次はみなさんお待ちかねのモジュロ演算が出てくるよ!」

縁・唯「んぱんぱんぱんぱ

ゆずこ「年その2の下2桁”15”を表示するには、
2015を100で割ったあまりを表示すればいいわけです。午後3時のことを15時ともいうでしょ?
これは12で割ったときのあまりについてのモジュロ演算に相当するわけです。」
 mod(年その2,100)

ゆずこ「今度は、暦の調整をします。ユリウス暦かグレゴリオ暦かで変わってくるんだけど、
今はグレゴリオ暦だから、とりあえずグレゴリオ暦で話を進めます。」

ゆずこ「こーゆー式になるよ!」
 5*年2の上2桁+ROUNDDOWN(年2の上2桁/4,0)

縁「みんなの愛した?」

ゆずこ「ゆず式!」

唯「どうしてそうなるんだ?自信満々の一本か?」

ゆずこ「やめて、はずいからやめて/ω\」

唯(そこ恥ずいのか)


ゆずこ「さて、いよいよメインの曜日を求める式に入ります!\テッテレー!/」
 

縁「おおー!ちゃんと一週間7日の7で割ったあまりを使ってる~」

唯「最後に1足したのはなんでだ?」

ゆずこ「ゼロが出ないように」

唯「ゼロがでちゃダメなのか?」

ゆずこ「だめってこともないんだけど、
もし万が一曜日で割る割り算とかすることがあったらめんどくさいでしょ?
だから、0から6じゃなくて1から7にしたんだと思う。たぶん・・・
それとね、この式、wikiとちょっと違うんだー・・・

唯「あ、ほんとだ。5じゃなくて6足してる。なんで?」

ゆずこ「あとで話します・・・」

唯「おい・・・」


ゆずこ「ツェラーの公式を使わなくてもわかります!

唯「まあ、そりゃな、今日のことだもんな」

ゆずこ「ちがくて、そうじゃなくて~
Excelやいろんなコンピュータのツールには”シリアル値”みたいのがあってね、
日付と曜日が関連付けられてることが多いらしいんだ。」

ゆずこ「唯ちゃんも、22/7をエクセルで計算しようとして、
なぜか勝手に7月22日になっちゃうことってなかった?」

唯「あーあったあった。あれおせっかい機能だよなぁ」

ゆずこ「って思うじゃん?あれ、使いこなせるとすごく便利なんです」

ゆずこ「22/7をイコールなしで入力すると、
Excelが勝手に”7月22日と入力したいんだな”って勘違いして、
7月22日を表示しちゃって、それ以降普通の数値を入力しようとしても、
表示の仕方が日付のままになっちゃって困ると思うんだけど、
実は、整数が日付に直でリンクしてるのが原因なんだ。」

ゆずこ「たとえば、1って入力してから、表示を日付に変えるとするよ?そうしたら、
1900年1月1日が出るようになってるの。」

ゆずこ「1日を1として、1900年1月1日から9999年12月31日に相当する1~2958465までの数字が、
すべて対応するようにできてるんだ。
その上、この日付、シリアル値っていうんだけど、これは曜日にも対応できていて、
たとえば、9999年12月31日の曜日を知りたければ、weekday関数を使って調べることもできるし、
ユーザー定義の書式に”aaa”って入力して直接”金曜日”って知ることもできるよ」


唯「整数じゃなかったらどうなるんだ?」

ゆずこ「その日の何時何分何秒ってところまで出るよ。
1日24時間を1って整数に置き換えてるわけだからね。
たとえば1.5だったら1900/1/1の12:00:00だし、2.5だったら1900/1/2の12:00:00だし、
2.56789だったら1900/1/2の13:37:46になるね。
ホントはもっと細かくも計算してるんだけど、あんまり出したがらないみたい」



縁「アインシュタイン!」

唯「はい?」

縁「アインシュタインの生まれたときにいきたい!」

唯「これそういう機械じゃないぞ?

ゆずこ「でも・・・やってみる?0w0」

唯「だな」

ゆずこ「でも、アインシュタインは1900年より前に生まれてるから、
戻れるのは1900年の1月1日までだけどね?」

縁「やった~!」

唯「ついでにツェラーの公式の試運転もしたらいいんじゃないか?」

ゆずこ「おおー!やろうやろう!」


とべよおおおおおおお


縁「あれー?1日ずれるよ?なんでー

ゆずこ「な、なんですとー!?ちょっとバグ探してくるー!
ついてこなくていいですー!」

 date(y,m,d) year(シリアル値) month(シリアル値) day(シリアル値)

ゆずこ「見つけた!1900年の2月29日と3月1日の間に時空断層があるよ!

唯「まじでか!2/29と3/1の間か・・・なあ縁、1900年は平年だっけ?」

縁「んー、4年に一度うるう年があるでしょ?その例外が100年に一度あって、
さらにその”例外の例外”が400年に一度あるから、
2000年はうるう年だけど、1900年はうるう年じゃないはずだよ~?」

ゆずこ「え・・・なにそれ怖い話!?





ポリアネス
=========
ゆゆ式1期の本放送時にこれを書きたかったのですが、なんかだれてしまって、
再放送のこの時期まで延びてしまいました。でもチャンスがまた巡ってきてよかったです。

当時はまだ社会とつながりがあったので、
一般的にどういうものがウンチクなのかということが
今よりはまだ把握できていたんだと思います。

あれから3~5年くらい経って、ずっと一人で計算の趣味をしていたので
だんだん僕の中で当たり前の部分が増殖していき、「何をブログに書きたかったんだろう?」
と思っていた矢先に、久々に暦について人と話す機会があって
ああ、この話題、ブログ1個分あるんだ
って思い出せました。

人間はどうあがいても社会性昆虫なので、no botch good lifeです!
気づかないうちに病魔は進行していくので注意が必要です
ブログランキング・にほんブログ村へ
にほんブログ村

拍手[3回]

を得たはいいが、固有ベクトル云々以前に、固有値方程式の係数をケアレスミスしてしまう

これは問題だなぁ
まずもって重解を得る方程式にならない!なぜだ!ってくらいひどい!


この手の問題は、字が汚いのでテーブルを持たない僕には
パソコンでやれ、といってるようなものかもしれない


以前、固有値と固有ベクトルを、自動で計算してくれる(しかも複素(ただしエルミート)行列対応)
そんなアドインがあって、算出関数名にヤコビがなんとか書いてあったんだけど、
ヤコビってどこまで万能なんだろう?
ジョルダン標準形にも対応できるのだろうか

うーん、ぐぐってもなんかピンとこないなぁ
両方をサイト内で「ジョルダン標準形」と「ヤコビ法」が近い領域に掲載しているサイトが少ないみたいだ

ああ、これか。「ジョルダン標準形 アルゴリズム」でwikiが出た。

残念ながら、このアルゴリズムを理解する知識が僕にはまだない。
ヤコビ法のやり方もまだ知らないため、関係があるのかどうか、拡張なのかどうかもわからない

拍手[0回]

やっと重い腰を上げて、ジョルダン標準形に手を出してみました。
固有値が重解になる際の固有ベクトルの算出に、必要になるかもしれない数学的道具です。

直積だか直和だかややこしいのが出てきたり
なんか色々パターン数やらないといけない例題があったり
具体例が見当たらなかったり

なかなか・・・


この、ジョルダン標準形、今まで避けていたのは
苦手なのもあったのですが
これをネタにする際に、何かいい物理現象と一緒にイメージしてもらえたらな

って思っていたのもあったんです。
パウリ行列やゲルマン行列などのSU(n)の末っ子だとすでに対角化しているので
ジョルダン標準形のありがたさがいまいち伝わらないと思うんですよね


僕が「ジョルダン標準形」を最初に聞いたのは制御工学だったので
せいぜい制御工学や検索の最適化とかに出てくる、抽象的な概念にしか出てこないのかな~
とか思ってたんですが

ちょっとぐぐってみたところ

もしかしたら高次元の回転行列に拡張できるんじゃないかという疑惑がわきまして
結構今ワクワクしてます。


数か月前にあっち側から掘ってたトンネルを放置していたので
それがこっち側からも掘り進むことができるとなると、かなりありがたい

3次元の回転行列を一般化すると、ロドリゲスの公式になるのですが
4次元以上だとどうもこの任意回転軸が2本以上になるらしいのです

そこがいまいちイメージがわかなくて、いろいろあって放置している状態なのですが

これがn行n列の指数関数をただ単に機械的に式展開するだけで
任意軸が何本必要なのかわかるとなると
すごくありがたいですねえ


特殊ユニタリSU(n)で諦めていたことが特殊回転(特殊直交)SO(n)で解決するなんてなんて皮肉(?)


ああ~4次元の回転をExcelで表現するなんてアホなこと実現させたいなぁ
ブログランキング・にほんブログ村へ
にほんブログ村

拍手[0回]

内堀から埋めていくスタイル~まるでパウリ行列そのものがパウリの排他律にしたがっているようだぁ~


あら^~中の人とそっくりじゃないですかぁ^~
左下半分のσの中の人が全員純虚数でいらっしゃいますねえ
心が三角行列するんじゃあ^~



ブログランキング・にほんブログ村へ
にほんブログ村

拍手[0回]

「まざ」は無理があるだろ 
宇仁多利直交(うにたりなおまざ) 1811年 - 1832年フランス
正規直交基底 宇喜多直家
 


以前もやったんですが、肝心なところが抜けてました。
やっぱりカルノー図やベン図をやるなら、囲ってナンボよね!

つまり、特殊直交(回転)群SO、直交(回転)群O、特殊ユニタリ群SU、ユニタリ群Uのうち、一番広い集合はU、一番狭い集合はSOということになると思います。
ベン図は各自作ってみてね!

念のため調べてみましたが、
「特殊ユニタリ群はユニタリ群の部分群である」という文脈は多々見つかりましたし
「特殊直交群は直交群の部分群である」という文脈も多々見つかりました。

ただ、「直交(回転)群はユニタリ群の部分群である」という文脈は多々見つからず
替わりに知恵袋が見つかりました。

どうやら、部分集合ではあるらしいんですが、(部分)群をなしているかどうかは別問題のようです。
ただ、「ユニタリ行列は直交行列を拡大したものである」といった文脈は見られ、
どうも「行列の中身」に関しては体かもしれませんが、行列自体が体かどうかは明示されていませんでした。



それにしても、そこの知恵袋の回答者、字面だけ見ると「なんだこのおっさんぶっきらぼうな回答の仕方しやがって。これがベストアンサーサーのすることかよおおおお!」って思ったんですが
元担任をイメージしながら脳内再生したら、案外アリかなとも思えてきました。


 リーさん 胸囲の格差生徒会にっこにっこにー 三大廃校アニメ ツインテ 角谷杏 世界の矢澤 ひん
リー群はwikiが長い!
なんか強そうじゃないですかー。名前だけで挫折するタイプ。
先生、リーくんは名前だけで挫折させるタイプだと思いまーす!don't think,FeeeeeeeLした結果がこれだよ!orZ=:3

ブログランキング・にほんブログ村へ
にほんブログ村

拍手[0回]



ませまてぃっく~もっともっとつまらないもの~

S(特殊)がつかないユニタリ群Uは、生成子というものがないので具体例を作りづらいかと思いきや



U(1)にはSU(1)を作れる自由度すらなかった!
SU(1)をこの類推で作ろうとすると、生成子σが1つもない(SU(n)のσの個数はn^2-1個)という、スカラーですらないことになってしまう

でもU(1)は巡回群とかいうし
じゃあなんだ、複素数で巡回するとしたら、中身が1個で、exp(iθ)=cosθ+isinθ
ああ、確かにこれだと、行列式があるとしたら、行列式そのものは、絶対値を取らないと1にならない複素単位円だ。

U(1)ってexp(iθ)なんじゃん!
「巡回群 exp」でも出ないし、「巡回群 cos sin」でやっと出たし、苦労したんにゃで


じゃあO(1)は?

※中身が実数に限る

-1と+1しかないから、nを整数として

(-1)^n


つまんねぇー!!!

ああ、これは論値ですわ
ブログランキング・にほんブログ村へ
にほんブログ村

拍手[0回]

昨日は大変取り乱してもう仕訳ございません><

できることなら見なかったことに・・・あ、いや、でも見て?
実際消したくないし、ああどうすれば・・・そうだ概要だけ抽出して見るなんて器用なことしてみて見てみて?


SU(2)での各軸スカラー倍はですね、結局、行列の掛け算ではどうしようもなさそうな気がしてきました。

で、思ったんですが、なにかトリックが必要なのではないか
それに気づけばあっさりなのではないかと思ったのです。

これがその気づいたトリックの種明かしかどうかは疑問が残りますが
まあ、こういうことも、できるよね・・・
 

SO(3)で余計なダミー次元「1」を足してるところを
SU(2)では「1」差し引いてるあたり


なんとなく双対ってる気もしなくもないんですよね(笑)
あと、回転はSU(2)でもSO(3)でも似たようなやり方が2通りあって、平行移動がSO(3)では不得意でしたが、その分各軸のスカラー倍がSU(2)では不得意なんじゃないかなという点と
解決方法がSO(3)では掛け算、SU(2)では足し算なのが
対称的かどうかはわかりませんが、対照的ではあるかなと思ったんですよ。


まあ、パウリ行列SU(2)での表示状態からx,y,zの値を抽出したんならもういったんSO(3)で演算しちまえよっていう感じですよねwwww

抽出の仕方はいろいろありますよ
1行目1列目をそのまま抽出してzとしてもいいですし
1行目2列目の実部を取ってxとしてもいいですし
1行目2列目からに2行目1列目を引いて、-2iで割ってyとしてもいいですし
ブログランキング・にほんブログ村へ
にほんブログ村

拍手[0回]

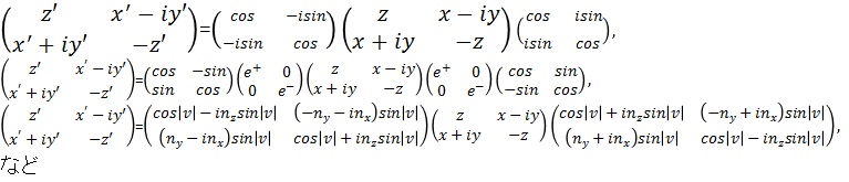
前々から疑問に思っていたことを、今ならぐぐることができます。


3次元ベクトルを、

このように表現している方式を「SO(3) 3次の特殊(S)回転(O)群」と呼び



このように表現している方式を「SU(2) 2次の特殊(S)ユニタリ(U)群」と呼ぶようなんですね。


回転、平行移動や拡大・縮小なども行列で一括に行えるんですが

SO(3)の場合、回転や拡大・縮小は
回転:


拡大・縮小:
このようにたやすいんですが

平行移動をする際に一工夫いりまして
ダミーの次元を1つ追加するという方法を取ることがあるらしいんです。




一方、SU(2)での平行移動はこのようにたやすく、

回転もこのようにふつうなのですが、


今度は拡大・縮小に一工夫いるようになりまして

回転の際に両方から回転の演算を挟んだのと同様に、
拡大・縮小のルートにあたる演算を両方から掛け算してやらないといけないようです。


また、1つのサンドイッチ演算ではx・y・z軸の3軸のうち1つの軸の縮尺しか変えることができず
その点はSO(3)より煩雑なイメージがありますね。


ちなみに、ぐぐってもあんまり出ませんでした。
それと、今日調子悪くてgdgdです。式のミス放置しました。主に符号。すみません
ブログランキング・にほんブログ村へ
にほんブログ村

拍手[0回]

マリー ハッケンジー
まるっと収まるのかもしれないけどラグランジュでもラグランジェでもねえ!ラングランズだ!

先日まで、「物理には統一理論はあるが、数学にはない」とかそういう雰囲気なんだと思い込んでいました。


少なくとも不完全性定理近辺では通用しないんじゃないかなとは思っていたし
そういってる日経サイエンスを読んだのもここ数年の話だったような気がするのです


まさかここにきて、ラングランズプログラムという統一理論めいたものが現れるとは・・・
まあ、ここにきてといっても、それはあくまで僕個人の認識であって、数学的にはもう何十年も前からの話だったみたいですけどね


数学の異なる分野同士を結び付けるばかりか、数学と物理の統一まで目指しちゃうかもしれないんだそうで


以前、リーマン予想・ポアンカレ予想の番組を見た時は
一部の批判的な記事だけを読んでしまったのか、
「ずいぶんと粗末な感じだった」
という感想が多いなぁという感じでした。

僕自身はさほど違和感はなかったのですが、ゼータ関数の零点とシンク関数がつながっているらしいというくだりで「数学の異分野」ではなく「数学と物理学」とのつながりといっていた点は少し奇妙に思えました。


数学は物理の現実世界から一歩身を引いた感じという印象がずっと残っているのです

その印象はラングランズ・プログラムについて知った今でも多少は思っていて
やはり純粋に数学的になるのは理論物理学界隈に限るのではないかなぁとは思っています



シンク関数とゼータ関数のつながりは、調和解析と数論のつながり・・・?どうだろう、どっちも調和解析のような気がしないでもないですが、素数が出てくるあたりは数論ですよね

フェルマーの最終定理(谷山・志村・ヴェイユ予想)に似たようなデジャヴュを感じます
ブログランキング・にほんブログ村へ
にほんブログ村

拍手[0回]

もっとはっきり書いてくれればいいのに。

カルノー図にまとめてみたよ!※あぽんぐではありません



n次(n行n列)のユニタリ群Uは行列式の絶対値||U||が=1で、
特殊ユニタリ群SUは行列式そのもの|SU|が=1の単位円周上で

回転群Oは中身が実数(複素共役取らずに転置しただけで逆行列になる)で、||O||が=1(つまり|O|=±1)
特殊回転群SOは中身が実数かつ|SO|が=1


だからなんだ、その

特殊回転群と回転群の違いはあまり実りのない概念なんだよな・・・
行列式が+1か-1しか選べないのと、+1だけの違いだからねえ


やっぱり僕が以前注目してた、パウリ行列やゲルマン行列が生成子となって指数関数の肩に入ったアレは、ユニタリ群ではなく特殊ユニタリ群でした。
そういえばパラメータをランダムに回している最中ずっと、行列式の絶対値ではなく、行列式そのものが1+i0のままってのが気になってましたね。


それで、じゃあユニタリ群であって特殊ユニタリ群ではない具体例を探そうと
生成子でもないかと探していたんですが
これがどうも見当たらない


ただ、2行2列を例に考えると、まあ確かにそういうやつらが存在することはわかりました。




先日、数学の番組を見ていて、SU(2)がSO(3)と対になっているっていうのをなんとなく聞いてたんです。
聞いてた最中はSUとかSOとかOとかUとかSとか、なんかアパートの部屋番号みたいで覚えづらい以前に読みづらい名前だなぁって思ってたんですが、いやそれは前からずっと思ってて、それがぐぐる妨げになっていたんですが

やっぱり受動的な授業はいいですね。すっと興味が持てました。


きっとS,O,U,nってのがアレやコレだろうって思いこむのはいいんですが
群って概念について知った際、なんだこの分類方法ふざけてんのかって思ったらガチだったので
警戒していたつもりだったんです。


ノスタルジアドライブ体操
と思って調べたら、その対って僕のブログにめっちゃ親近感あるやつらじゃないすか!!!


まさか、SU(2)がパウリ行列で作った3次元の表現形態(クォータニオン)で
SO(3)が高校とかで習う普通のベクトルのことだったとは・・・!
まあ主に回転の話なんですけどね。ロドリゲスの公式(回転行列)界隈の。


だからその、あれです
パウリ行列で回転 可視化(gifアニメ)
プログラミング恐怖症の僕はマクロなしのExcelでなんでもやりたがるんですが
抽象クラスが作れないんです
だから、クォータニオンのオブジェクトを作る代わりに、既存のエンジニアリング関数の複素関数群と複合参照で複素行列の演算を疑似構築して、パウリ行列にすることでクォータニオンもどきの3D回転システムを作った
感じのアレです


※間違えました訂正

小林益川理論を一言でいうと
8つのゲルマン行列σnを生成子とした特殊ユニタリ群SU(3)それぞれの行列式は1+i0なのに固有値は実軸対称の複素共役なのに
exp{iΣ(σnθn)}の行列式は必ずしも1+i0にならない(固有値が実軸対称の複素共役にならない)
 これ↑も違いますね、σ8の固有値が単独ですでに実軸非対称でしたねすみません
 
それでもやっぱり、σ1からσ7までを合体させたとしても、単独では対称でも合わせると非対称ってのはあるんですね
といった感じでしょうか?

SU(2)では対称だけど、SU(3)なら非対称になるよねヤッター!みたいな?

たぶんだけど。

あ、そういえばSO(3)では対称なのは調べましたが、SU(2)ではまだ調べてませんでしたね
いやでも同じなんだから対称なのかな?


不思議なのは、対称性の自発的破れが弱い相互作用で起きているのに
どうして強い相互作用であるSU(3)を相手に計算して非対称だ~とか言ってるのかってことです
テレビで、弱い相互作用はSU(2)って言ってたんですよ


電磁気はU(1)って言ってましたね。
SU(1)はやはり存在しないのですか。生成子の作りようがないですもんね
特殊ではないユニタリ群なんすね
単振り子における疑似的1次元みたいな意味ですかね。巡回群とか言ってるし

ブログランキング・にほんブログ村へ
にほんブログ村

拍手[0回]

訳:歩くの面倒くさい
双対性と聞いてふと思い出したんだけど、そういえばプラトン立体にも双対性があったね。

もしかして、双対性は入れ子になっているんじゃないだろうか。

双対性の糸口を解くのもまた、双対性だったりとか。


そういえばsu(3)とかいうやつの名前の由来が最近わかった。
sはスペシャル特殊
uはunitaryユニタリ
oはorthogonal直交

だから、ゲルマン行列のsu(3)はやっぱり「ただの」ユニタリ群ではなく「特殊」ユニタリ群らしい。

何が特殊なのかというと、どうも裏返せないとかそういうところらしい。
ゲルマン行列でぐぐると一緒に構造定数ってのが出てきて「なんだろこれ?」って思ってたんだけど、裏返せない部分の条件とかそういうことかもしれない



どうも、su(n)はu(n)の部分群らしいから、パウリ行列をn×n次に拡張した生成子だけでは、すべてのユニタリ行列をカバーでいないのかもしれない。


それから、suをsoにすることは生成子を複素数から実数に狭めることなのかなって勝手に思っているんだけど、so(2)でぐぐっても平面の回転行列は出てこないみたいに見えた。



桃太郎印の金太郎飴
su(2)が弱い相互作用に関連してて、生成子がおそらくパウリ行列そのものなのだとしたら、やはりスピンに関する物理現象とつながっているように思える。アイソスピンあたりだろうか。
スピノルとも関連あるかもしれない
 

su(1)ともso(1)とも呼ばずにu(1)と呼ぶのは、それだけの自由度がないからじゃないかな
複素数にしたり、裏返したりするだけの自由度がたぶんない。
(1次元じゃないの?というか行列ですらないような)



数学にはsu(n)やso(n)が無数にあるはずなのに物理現象に存在しないのは、まだ出番がないか、出番が終わってしまったかだと思う。
真空の相転移が起きれば出番のチャンスがあるかもしれない

 
それにしても、数学ガールのフェルマーの最終定理のクライマックスには驚いた。
ことを思い出した。




あんなやぶ蛇、「円錐曲線の切り口」の比じゃない。
いったいどうやったら任意のモジュラー関数と任意の調和解析の関数を対応できるんだ!?
何かコツがあるのか、あるいはまだないのか。
ブログランキング・にほんブログ村へ
にほんブログ村

拍手[0回]

あれ!?ゼロじゃないの!?ここは意外だったわ。


解析的なモジュロ演算と数値計算のモジュロ演算が、「割る数が小数」のときに食い違うのはなんとなく予想してたけど

ここで食い違ったのは予想外。


じゃあどんな演算してるんだ?
「69.3(割られる数)を1.1(割る数)で何回(13回)も引いて、1.1(割る数)より小さくなったらその引き算した答えを出す」
ってアルゴリズムじゃないの!?


それとも浮動小数点の二進数なところが効いてきちゃうんだろうか

ちなみにmod(69.3,1)=0.3 これは問題ない。予想通り。


ちなみにmod(6.4,0.2)とかmod(6.4,0.4)とかmod(6.4,0.8)はゼロだった。
でもちょっと待てよ
0.2って1/5だから、5の要素が入ってない二進数的には「割り切れない数」認識なんだよな


mod(6.5,0.5)=0
あ、これもうまくいった。

mod(67.5,0.5)=0
これも大丈夫。


どこが問題なんだ?とりあえず保留


あ、
mod(12.1,1.1)=1.1なんだけど
mod(11*1.1,1.1)=mod(1.1*11,1.1)=4.44e-16になる

mod(13.2,1.1)≠0
mod(12*1.1,1.1)=0
mod(1.2*11,1.1,)≠0
mod(13*1.1,1.1)≠0
mod(1.3*11,1.1)≠0
mod(14.3,1.1)≠0

なんだこれ


あ、傾向つかめてきた
mod(偶数*1.1,1.1)=0
mod(奇数*1.1,1.1)≠0

こうだ。
なんじゃこれ

ブログランキング・にほんブログ村へ
にほんブログ村

拍手[0回]



忍者ブログ [PR]
カレンダー
09 2025/10 11
S M T W T F S
1 2 3 4
5 6 7 8 9 10 11
12 13 14 15 16 17 18
19 20 21 22 23 24 25
26 27 28 29 30 31
ブログランキング
ブログランキング参戦中
にほんブログ村 アニメブログ 深夜アニメへ
にほんブログ村 漫画ブログ SF・ファンタジー漫画へ
にほんブログ村 科学ブログ 自然科学へ
よかったらポチッとお願いします^^
最新CM
[08/08 さつ香]
[12/30 buy steroids credit card]
[09/26 Rositawok]
[03/24 hydraTep]
[03/18 Thomaniveigo]
最新TB
プロフィール
HN:
量子きのこ
年齢:
44
性別:
男性
誕生日:
1981/04/04
職業:
WinDOS.N臣T
趣味:
妄想・計算・測定・アニメ
自己紹介:
日記タイトルの頭についてるアルファベットは日記の番号です
26進数を右から読みます
例:H→7番目、XP→15(P)×26+23(X)=413番目。
A=0とする仕様につき一番右の桁はAにできませんのでご了承くださいズコー
バーコード
ブログ内検索
アクセス解析